Главная Случайная страница


Полезное:

Как сделать разговор полезным и приятным Как сделать объемную звезду своими руками Как сделать то, что делать не хочется? Как сделать погремушку Как сделать так чтобы женщины сами знакомились с вами Как сделать идею коммерческой Как сделать хорошую растяжку ног? Как сделать наш разум здоровым? Как сделать, чтобы люди обманывали меньше Вопрос 4. Как сделать так, чтобы вас уважали и ценили? Как сделать лучше себе и другим людям Как сделать свидание интересным?


Категории:

АрхитектураАстрономияБиологияГеографияГеологияИнформатикаИскусствоИсторияКулинарияКультураМаркетингМатематикаМедицинаМенеджментОхрана трудаПравоПроизводствоПсихологияРелигияСоциологияСпортТехникаФизикаФилософияХимияЭкологияЭкономикаЭлектроника






Специальная теория относительности






Все эксперименты в механике показали, что при одинаковых условиях в любых инерциальных системах отсчета все механические явления протекают одинаково. Это утверждение называется принципом относительности Галилея.

Альберт Эйнштейн в 1905 г. создал теорию, которую назвали специальной (частной) теорией относительности. В основу этой теории Эйнштейн положил два постулата, являющиеся обобщением опытных фактов.

1. Принцип относительности Эйнштейна: любые физические явления при одинаковых условиях протекают одинаково в различных инерциальных системах отсчета.

2. Принцип постоянства скорости света: величина скорости света в вакууме не зависит от скорости движения источника и наблюдателя.


Явления, описываемые теорией относительности, но противоречащие классической физике, называются релятивистскими явлениями или релятивистскими эффектами.

Следствиями СТО являются выводы о зависимости расстояния l между двумя точками и длительности интервала времени t между двумя событиями от выбора системы отсчета.

Движущиеся тела неподвижному наблюдателю кажутся сокращающимися в размере вдоль прямой, совпадающей с вектором скорости.

В движущейся системе отсчета с точки зрения неподвижного наблюдателя течение времени замедляется. Промежуток времени t между двумя событиями, измеренный в неподвижной системе отсчета, в системе отсчета, движущейся со скоростью , равен:

 

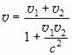
В теории относительности показано, что в случае движения тела и подвижной системы отсчета вдоль одной прямой скорость тела в неподвижной системе отсчета связана со скоростью 2 тела в движущейся системе отсчета и скоростью 1 движущейся системы отсчета релятивистским законом сложения скоростей:

 

Релятивистским импульсом тела, движующего со скоростью , называется физическая величина, которая определяется равенством:

где Е – релятивистская энергия тела.

Для тела, обладающего массой m, из общего выражения для релятивистского импульса можно получить частное выражение:

где m – масса тела, – скорость движения тела, c – скорость света в вакууме.

Одним из важнейших следствий теории относительности был вывод о существовании собственной энергии тел. Согласно этому выводу всякое тело массой m в состоянии покоя обладает собственной энергией Е 0, равной произведению массы тела на квадрат скорости света в вакууме: Е 0 = mc 2.

Квантовая физика

Фотоэффект – это явление вырывания электронов с поверхности тела под действием падающего на него электромагнитного излучения.

Законы фотоэффекта:

  1. Энергия, передаваемая электронам при фотоэффекте, не зависит от интенсивности излучения, а зависит от частоты этого излучения.
  2. Число электронов, вырываемых в единицу времени, зависит от интенсивности излучения и не зависит от его частоты (N ~ W).
  3. Фотоэффект наблюдается в том случае, если частота падающего излучения превышает значение красной границы для соответствующего материала (v>v кр).

 

Энергия кванта. Фотон.

Энергия поглощается и излучается не непрерывно, а порциями — квантами. Эти порции энергии пропорциональны частоте испускаемого или поглощаемого излучения: Е = hv,

где коэффициент h = 6,63·10–34 Дж·с – постоянная Планка.

 

Порция электромагнитного излучения получила название частицы – фотон.

Квантовая теория приписывает новой частице – фотону – следующие характеристики:

а) масса покоя фотона равна нулю;

б) энергия фотона Е ф = hv, где v – частота излучения:

в) импульс фотона совпадает с направлением распространения излучения и равен:

Уравнение (закон) Эйнштейна для фотоэффекта: энергия кванта, поглощенная электроном при фотоэффекте, расходуется на совершение работы выхода и на сообщение кинетической энергии электрону после его вылета из вещества.







Date: 2015-05-17; view: 736; Нарушение авторских прав



mydocx.ru - 2015-2026 year. (3.552 sec.) Все материалы представленные на сайте исключительно с целью ознакомления читателями и не преследуют коммерческих целей или нарушение авторских прав - Пожаловаться на публикацию