Главная Случайная страница


Полезное:

Как сделать разговор полезным и приятным Как сделать объемную звезду своими руками Как сделать то, что делать не хочется? Как сделать погремушку Как сделать так чтобы женщины сами знакомились с вами Как сделать идею коммерческой Как сделать хорошую растяжку ног? Как сделать наш разум здоровым? Как сделать, чтобы люди обманывали меньше Вопрос 4. Как сделать так, чтобы вас уважали и ценили? Как сделать лучше себе и другим людям Как сделать свидание интересным?


Категории:

АрхитектураАстрономияБиологияГеографияГеологияИнформатикаИскусствоИсторияКулинарияКультураМаркетингМатематикаМедицинаМенеджментОхрана трудаПравоПроизводствоПсихологияРелигияСоциологияСпортТехникаФизикаФилософияХимияЭкологияЭкономикаЭлектроника






Введение. Отчет по лабораторной работе №10





Отчет по лабораторной работе №10

 

по дисциплине «Фотометрия»

 

 

«Измерение светового потока»

 

 

Автор отчета: Сюбкаева Э.Р.

 

Обозначение отчета ЛР-02069964-210102-10-11

 

Преподаватель: Амелькина С. А.

 

Саранск 2011


Цель работы: научиться проводить измерение светового потока, изучить конструкцию светомерного шара и принцип проведения с его помощью измерений светового потока.

Изм.
Лист
№ докум.
Подпись
Дата
Лист
 
ЛР-02069964-210102-10-11  
Разраб.
Сюбкаева
Провер.
Амелькина
Реценз.
 
Н. Контр.
 
Утверд.
 
  Измерение светового потока
Лит.
Листов
 
СИС, 301 гр.
1 Теоретическая часть

 

Введение

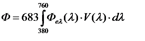
Световой поток является эффективным потоком в системе световых величин. Согласно ГОСТ 7637 он определяется как мощность лучистой энергии, оцениваемая по световому ощущению, которое она производит.

Световой поток излучения со сплошным спектром определяется уравнением

, (1)

 

где V(λ) – относительная спектральная световая эффективность излучения;

Феλ(λ) – спектральная плотность излучения источника с длиной волны λ;

683 – эквивалент 1 Вт лучистого потока однородного излучения с длиной волны λ = 0,555 мкм.

Величина светового потока в некоторой зоне пространства связана со значением силы света выражением

, (2)

 

где Iα – сила, света для направления α, кд;

– зональный телесный угол, стер., в пределах которого равномерно распределен световой поток α.

Для симметричных источников света

, (3)

где

Если имеется продольная (меридиональная) кривая силы света симметричного источника в полярной системе координат, то полный световой поток определяется суммой зональных потоков.

(4)

 

Этот расчетный метод определения световых потоков по фотометрическому телу распределения силы света называется методом зональных телесных

 

 

углов. Для симметричных источников с плавным изменением силы света I = φ(α) значения телесных углов (ω) принимаются в интервале через 10° (таблица 1).

Изм.
Лист
№ докум.
Подпись
Дата
Лист
 
ЛР-02069964-210102-10-11  
В лабораторной практике интегрирующим устройством для измерения светового потока является светомерный шар (шаровой фотометр), представляющий собой полый шар, внутренняя поверхность которого покрыта матовой красной с высоким коэффициентом отражения. Помещенный внутрь шара источник света будет создавать освещенность отдельных участков стенки шара в соответствии с характером своего светораспределения. Каждый освещенный элемент поверхности шара часть светового потока отражает на внутреннюю поверхность сферы. При этом на стенках шара кроме освещенности, создаваемой непосредственно источником света, наблюдается и освещенность от многократных отражений. Из теории известно, что освещенность, получаемая на стенках шара при многократных отражениях, одинакова для любого участка сферической поверхности, пропорциональна световому потоку источника света:

, (5)

где Ф – световой поток источников света, помещенных в шаре, лм;

R – радиус шара, м;

ρ – коэффициент отражения окраски внутренних стенок шара.

Полная освещенность на любом участке поверхности будет равна

(6)

где E0 – освещенность, создаваемая непосредственно источником света;

E1 – освещенность, создаваемая за счет многократных отражений светового потока от стенок шара

 

Таблица 1 – Значения зональных телесных углов для вычисления светового потока

Интервал меридионального угла, ° Телесный угол (ω), стер.
0-10 170-180 0,09554
10-20 160-170 0,28400
20-30 150-160 0,46300
30-40 140-150 0,62800
40-50 130-140 0,77400
50-60 120-130 0,89700
60-70 110-120 0,99200
70-80 100-110 1,05800
80-90 90-100 1,09100

 

Ввиду того, что только второй член этой суммы пропорционален световому потоку источника света, помещенного в шар, первый член при измерениях исключается.

Это осуществляется расположением непрозрачного экрана, преграждающего доступ света от прямых лучей на участок, где производятся измерения освещенности от многократных отражений светового потока стенками шара.


Для измерений через небольшое отверстие в плоскости сферы располагают приемную пластинку фотометра, фотоэлемент и пластинку из молочного стекла. Для определения численного значения светового потока источника в люменах необходимо произвести два измерения освещенности. Установив внутри шара эталонный источник, световой поток которого известен, производится первое измерение.

Измеряемая при этом освещенность

. (7)

Освещенность, измеряемая при установке в шар исследуемого источника, может быть аналогично выражен как

. (8)

Изм.
Лист
№ докум.
Подпись
Дата
Лист
 
ЛР-02069964-210102-10-11  
На основании полученных при измерениях значений освещенности Еэт и Ex определяется световой поток исследуемого источника:

 

. (9)

В некоторых случаях для упрощения изготовления прибора вместо шара применяют куб, цилиндр, двенадцатигранник и другие многогранники.

 

Теория шара для них применяется лишь с приближением, степень которого недостаточно определена. Эти приборы менее точны, чем шар. В действительности и для шара изложенная теория оказывается лишь приближенной, так как трудно сделать внутреннюю, окраску одинаковой и идеально матовой, как требуется.

Измерение светового потока производится с помощью метода совокупных фотометрических измерений различными способами. В качестве исследуемого источника света взята люминесцентная лампа. Установка для определения светового потока люминесцентной лампы по методу зональных телесных углов состоит из фотометрической скамьи с фотоэлементом или фотометрической головкой и поворотного устройства для вращения лампы.

Для непосредственного измерения светового потока люминесцентной лампы используется светомерный шар с фотоэлементом. Электрическая схема соединений обеспечивает возможность установления внутри шара лампы накаливания, эталона и люминесцентной лампы. При измерениях электрических параметров рекомендуется применять схему, указанную на рисунке 1.

1,2 - клеммы подключения к системе питания; Л – измеряемая лампа

 

Рисунок 1 – Схема для измерения электрических параметров лампы

 

Напряжение лампы следует снимать непосредственно с контактов лампового патрона.

Изм.
Лист
№ докум.
Подпись
Дата
Лист
 
ЛР-02069964-210102-10-11  
Электроизмерительные приборы при питании переменным током

 

 

должны соответствовать требованиям ГОСТ 1845-59. Класс точности применяемых электроизмерительных приборов должен быть не ниже 0,5. Ток, потребляемый подключенными параллельно лампе электроизмерительными приборами, не должен превышать 3% от номинального значения тока лампы, а падение напряжения в последовательно включенных электроизмерительных приборах не должно превышать 2% от величины напряжения лампы.

Электроизмерительные приборы должны подбираться таким образом, чтобы при измерениях их показания превышали первую половину шкалы.







Date: 2015-05-17; view: 1020; Нарушение авторских прав



mydocx.ru - 2015-2026 year. (0.672 sec.) Все материалы представленные на сайте исключительно с целью ознакомления читателями и не преследуют коммерческих целей или нарушение авторских прав - Пожаловаться на публикацию