Главная Случайная страница


Полезное:

Как сделать разговор полезным и приятным Как сделать объемную звезду своими руками Как сделать то, что делать не хочется? Как сделать погремушку Как сделать так чтобы женщины сами знакомились с вами Как сделать идею коммерческой Как сделать хорошую растяжку ног? Как сделать наш разум здоровым? Как сделать, чтобы люди обманывали меньше Вопрос 4. Как сделать так, чтобы вас уважали и ценили? Как сделать лучше себе и другим людям Как сделать свидание интересным?


Категории:

АрхитектураАстрономияБиологияГеографияГеологияИнформатикаИскусствоИсторияКулинарияКультураМаркетингМатематикаМедицинаМенеджментОхрана трудаПравоПроизводствоПсихологияРелигияСоциологияСпортТехникаФизикаФилософияХимияЭкологияЭкономикаЭлектроника






Энтальпия. Энтальпией термодинамического тела называют сумму внутренней энергии u и произ­ведения pv





Энтальпией термодинамического тела называют сумму внутренней энергии u и произ­ведения pv.

i = и + pv.

Дифференцируя данное соотношение полу­чим: di = du + pdv + vdp,

или du + pdv = di - vdp.

На основе первого закона термодинамики dq = du + pdv последнее соотношение пе­репишется в виде:

dq = di - vdp,или dq = dh + dlt,

где dlt - есть дифференциал технической работы (dlt = - vdp).

Полученное уравнение является также вто­рой формулировкой первого закона термо­динамики, используя понятия энтальпии и технической работы.

Величина i может также рассматриваться как параметр состояния термодинамиче­ского тела наряду с ранее введенными p, v, T, и. Физический смысл величины i может пояснен на основе уравнения dq = di - vdp, которое для процесса p = const запи­шется как:

dqp = di. (86)

Откуда следует, что di есть элементарное количество теплоты, подведенное к термо­динамическому телу в процессе постоян­ного давления.

Изменение энтальпии в любом процессе определяется только начальным и конеч­ным состояниями тела и не зависит от ха­рактера процесса.

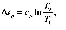
Энтропия является функцией состояния, поэтому её изменение в термодинамическом процессе опреде­ляется только начальными и конеч­ными значениями параметров состоя­ния. Изменение энтропии в основных термодинамических процессах:

в изохорном

в изобарном

в изотермическом

в адиабатном

 

в политропном







Date: 2015-05-09; view: 936; Нарушение авторских прав



mydocx.ru - 2015-2026 year. (1.329 sec.) Все материалы представленные на сайте исключительно с целью ознакомления читателями и не преследуют коммерческих целей или нарушение авторских прав - Пожаловаться на публикацию