Главная Случайная страница


Полезное:

Как сделать разговор полезным и приятным Как сделать объемную звезду своими руками Как сделать то, что делать не хочется? Как сделать погремушку Как сделать так чтобы женщины сами знакомились с вами Как сделать идею коммерческой Как сделать хорошую растяжку ног? Как сделать наш разум здоровым? Как сделать, чтобы люди обманывали меньше Вопрос 4. Как сделать так, чтобы вас уважали и ценили? Как сделать лучше себе и другим людям Как сделать свидание интересным?


Категории:

АрхитектураАстрономияБиологияГеографияГеологияИнформатикаИскусствоИсторияКулинарияКультураМаркетингМатематикаМедицинаМенеджментОхрана трудаПравоПроизводствоПсихологияРелигияСоциологияСпортТехникаФизикаФилософияХимияЭкологияЭкономикаЭлектроника






Эмульгаторы





В эту группу пищевых добавок (функциональный класс 9) входят вещества, которые, будучи добавленными к пищевому продукту, обеспечивают возможность образования и сохранения однородной дисперсии двух или более несмешивающихся веществ.

Строго говоря, термины "эмульгатор" или "эмульгирующий агент" подразумевают химическое вещество, способное (при растворении или диспергировании в жидкости) образовывать и стабилизировать эмульсию, что достигается благодаря его способности концентрироваться на поверхности раздела фаз и снижать межфазное поверхностное натяжение. Такая способность связана с поверхностно-активными свойствами, поэтому применительно к рассматриваемой группе пищевых добавок термины эмульгатор, эмульгирующий агент и поверхностно-активное вещество (ПАВ) могут рассматриваться как синонимы.

Хотя основными дефинициями эмульгаторов являются образование и поддержание в однородном состоянии смеси несмешиваемых фаз, таких как масло и вода, в других пищевых системах применение

этих добавок может быть связано не столько с эмульгированием, сколько с их взаимодействием с такими пищевыми ингредиентами, как белки, крахмал и др.

В качестве первых пищевых эмульгаторов использовались натуральные вещества, в частности, камеди, сапонины, лецитин и др.

Некоторые из них сохранили свою популярность, однако наиболее широко в промышленности используются сегодня синтетические эмульгаторы или продукты химической модификации природных веществ, промышленное производство которых начало развиваться в 20-е гг. XX в.

По химической природе молекулы классических эмульгаторов, являющихся поверхностно-активными веществами, имеют дифильное строение, то есть содержат полярные гидрофильные и неполярные гидрофобные группы атомов, которые, будучи связанными с неполярным соединительным звеном (основанием), отделены друг от друга и располагаются на противоположных концах молекулы. Первые (гидрофильные) обеспечивают растворимость в воде, вторые (гидрофобные) — в неполярных растворителях (см. рис. 4.2 на с. 193). Дифильное строение молекул эмульгаторов обусловливает их склонность к формированию ассоциатов в объемной фазе растворителя, называемых мицеллами.

В зависимости от особенностей строения молекулы эмульгатора, которые будут проявляться в соотношении между гидрофильными свойствами полярной группы и липофильными свойствами неполярной части молекулы ПАВ, могут образовываться как классические мицеллы в воде, так и обращенные мицеллы в неполярных растворителях (маслах и жирах), что схематично отображено на рис. 9.7 (см. также рис. 4.3).


Рис. 9.7. Схема образования мицелл

Склонность к формированию ассоциатов мицеллярного типа, равно как и другие проявления поверхностно-активных свойств, зависят от химического строения молекул ПАВ и, прежде всего, от соотношения размеров полярной и неполярной частей молекулы, которое выражается в показателе гидрофильнолипофильного баланса (ГЛБ). Чем выше гидрофильность, тем больше величина ГЛБ; при этом, в общем случае, тем ярче проявляется способность молекул ПАВ к образованию классических мицелл и стабилизации прямых эмульсий (масло/вода) и наоборот, чем ниже гидрофильность и, следовательно, меньше значение ГЛБ, тем выше способность к ассоциации в виде обращенных мицелл и стабилизации обратных эмульсий (вода/масло).

Классификация эмульгаторов

Известно несколько способов классификации эмульгаторов по различным признакам (табл. 9.11).

В анионных (анионактивных) эмульгаторах гидрофильными группами могут являться ионные формы карбоксильных и сульфонильных групп, в катионактивных — ионные формы соединений аммония с третичным или четвертичным атомом азота (третичные или четвертичные аммониевые основания и соли), в неионогенных эмульгаторах — гидроксильные и кетогруппы, эфирные группировки и др. В цвиттер-ионных эмульгаторах роль гидрофильных групп выполняют ионные группировки, имеющие одновременно и положительный, и отрицательный заряды. Например, в молекуле лецитина гидрофильная группировка состоит из отрицательно заряженного остатка фосфорной кислоты и катионной группы четвертичного аммониевого основания холина.

Основные виды пищевых эмульгаторов — неионогенные ПАВ. К исключениям относится цвиттер-ионный лецитин и анионактивные лактилаты.

По химической природе это производные одноатомных и многоатомных спиртов, моно- и дисахаридов, структурными компонентами которых являются остатки кислот различного строения.


Обычно ПАВ, применяемые в пищевой промышленности, являются не индивидуальными веществами, а многокомпонентными смесями и выпускаются под фирменными наименованиями. Химическое название препарата при этом соответствует лишь основной части продукта.

В зависимости от особенностей химической природы эмульгатора, а также специфики пищевой системы, в которую он вводится, некоторые из представителей этого функционального класса пищевых добавок могут иметь смежные технологические функции, например, функции

Таблица 9.11. Классификация эмульгаторов

Классификационный признак Основные подклассы
Заряд поверхностно-активной части  
отрицательный Анионные
положительный Катионные
нейтральный Неионогенные
положительный или отрицательный (в зависимости от рН) Амфотерные
и положительный, и отрицательный (оба) Цвитгер-ионные
Цирофильно-липофильный баланс  
4-6 Эмульгаторы вода/масло
7-9 Смачивающие агенты
8-18 Эмульгаторы масло/вода
Растворимость  
в воде Водорастворимые (гидрофильные, липофобные)
в масле Маслорастворимые (липофильные, гидрофобные)
Функциональные группы  
— COOH Кислоты
-OH Спирты
Эфиры
и т.д.  

стабилизаторов (функциональный класс 21) или антиоксидантов (функциональный класс 5).

Некоторые характеристики и общие свойства основных групп пищевых эмульгаторов представлены в табл. 9.12.

Общим свойством, объединяющим эмульгаторы и отличающим их от пищевых добавок других классов, является поверхностная активность. В зависимости от особенностей состава и свойств пищевой системы, в которую преднамеренно вводится эмульгатор, его поверхностная активность может проявляться в различных, главным образом, технологических изменениях.

Обобщенно основными технологическими функциями эмульгаторов в пищевых системах являются:

Таблица 9.12. Некоторые характеристики пищевых эмульгаторов

Эмульгаторы Код ГЛБ Растворимость Мицелло-образование
в масле в воде
Лецитин Е322 3-4 Р Д Обратные мицеллы
Модифицированный лецитин   7-12 Р Д Мицеллы
Моно- и диглицериды Е471 3-4 Р Д Обратные мицеллы
Ацетилированные моноглицериды Е472а 2-3 Р Н Тоже
Лактилированные эфиры моно- и диглицеридов Е472b 3-4 Р Н — " —
Эфиры диацетилвинной кислоты с моно- и диглицеридами Е472е 8-10 Р Д Мицеллы
Эфиры сахарозы Е473 3-16 Д Д Мицеллы, обратные мицеллы
Стеароиллактат натрия Е481 10-12 Р Д Мицеллы
Стеароиллактат кальция Е482 5-6 Р Д Обратные мицеллы
Сорбитан моностеарат Е491 3-6 Р Д Тоже
Полисорбат 60 Е435 14-15 Р Р Мицеллы
Полисорбат 65 Е436 10-11 Р д Тоже
Полисорбат 80 Е433 14-15 Р Р — " —

Примечания: Р — растворимо,Д — диспергируемо, Н — нерастворимо.

— диспергирование, в частности эмульгирование и пенообразование;

— солюбилизация;

— комплексообразование с крахмалом;

— взаимодействие с белками;

— изменение вязкости;

— модификация кристаллов;

— смачивание и смазывание.

Липофильная (гидрофобная) часть дифильных молекул всех перечисленных в таблице добавок имеет одинаковую химическую природу и сформирована ацилами высших жирных кислот. Основные структурные отличия, обусловливающие различия поверхностно-активных свойств, связаны с особенностями химического строения гидрофильной (липофобной) части молекул представленных ПАВ, которые отражаются в значениях гидрофильнолипофильного баланса.


Основные группы пищевых ПАВ

Моно-, диацилглицерины и их производные (Е471, Е472а—g). Они являются наиболее известной группой эмульгаторов, промышленное производство которых началось в 20-е гг. XX в. Сегодня их доля в общем потреблении пищевых эмульгаторов составляет около 60%.

В группу пищевых добавок глицеридной природы входят неполные ацилглицерины (глицериды), получаемые в промышленности глицеролизом жиров и масел или этерификацией глицерина высокомолекулярными жирными кислотами, а также продукты их этерификации по первичной гидроксильной группе пищевыми низкомолекулярными кислотами — уксусной, молочной, винной, диацетилвинной, лимонной.

Известны различные типы моноглицеридов, которые, в зависимости от вида исходного жирового сырья и технологии получения, могут содержать от 40 до 60% фракции моноэфира в смеси с ди- (34—50%) и триглицеридами (3,5—10%) со значениями йодного числа от 1 до 100% иода и температурой плавления от 40 до 70°С.

При молекулярной дистилляции продуктов глицеролиза получают дистиллированные моноглицериды, содержащие не менее 90% моноэфира, представляющего собой смесь α- и β-кристаллических форм, из которых наиболее активной с позиций функциональности является а-фор-ма. Содержание а-формы может изменяться в интервале 40—90%.

Общая формула, объединяющая эту группу добавок, может быть представлена следующим образом:

В качестве пищевых добавок разрешены 7 сложноэфирных модификаций неполных ацилглицеринов, представленных в табл. 9.13.

Три из них, как и исходные моно- (МГ) и диглицериды (ДГ), относятся к группе безопасных добавок, применяемых без ограничений. Для остальных допустимая суточная доза составляет 30 мг/кг, а для добавки Е472е даже 50 мг/кг массы тела человека.

Все добавки этой подгруппы являются липофильными неионогенными эмульгаторами.

Модификация моно- и диацилглицеринов пищевыми кислотами (табл. 9.13) позволяет направленно изменять ГЛБ молекул (см. табл. 9.12)

Таблица 9.13. Пищевые добавки глицеридной природы (R" — общей формулы ацилглицеринов — см. стр. 404)

Код Название R'' ДСД
Е471 Моно- и диглицериды жирных кислот *
Е472а Эфиры уксусной кислоты и моно-, диглицеридов жирных кислот *
Е472b Эфиры молочной кислоты и моно-, диглицеридов жирных кислот *
Е472с Эфиры лимонной кислоты и моно-, диглицеридов жирных кислот *
E472d Эфиры винной кислоты и моно-, диглицеридов жирных кислот 0-30
Е472е Эфиры диацетилвинной кислоты и моно-, диглицеридов жирных кислот 0-50
Е472Г Смешанные эфиры винной и уксусной кислот и моно-, диглицеридов см. Е472а и E472d 0-30
E472g Эфиры янтарной кислоты и моноглицеридов 0-30

* совершенно безвредны, применяются без ограничений


и, следовательно, их поверхностную активность на границах раздела различных фаз.

Фосфолипиды. Наиболее популярными в этой группе являются природные лецитины (Е322), имеющие синтетический аналог под названием аммониевые фосфатиды (Е442).

В соответствии с директивой Европейского Совета лецитины представляют собой смесь фракций фосфатидов, полученную из животных или растительных объектов физическими методами, включающими использование ферментов, в которой содержание веществ, нерастворимых в ацетоне (собственно фосфолипидов), составляет не менее 56—60%.

Основными фракциями коммерческих лецитинов являются фосфатидилхолины, т. е. собственно лецитины (до 25%), фосфатидилэтаноламины (до 25%), фосфатидилсерины (до 15%), фосфатидил инозиты, фосфатидовые (фосфатидные) кислоты (5—10%).

Аммониевые фосфатиды представляют собой смесь аммониевых солей различных фосфатидных кислот, являющихся продуктами взаимодействия ортофосфорной кислоты с одним, двумя или тремя остатками ацетилглицеринов.

Общая формула и основные фракции природных и синтетических фосфолипидов представлены ниже:

Основным источником промышленного получения лецитинов для пищевой промышленности являются масличные культуры (главным образом, соя, реже — подсолнечник), откуда их выделяют при гидратации масел.

Принципиально возможны два способа модификации стандартных фосфолипидов — ферментативный и химический.

Продукты ферментативной модификации фосфолипазами А1 и А2 (гидролизованные фосфолипиды) представляют собой лизоформы (лизофосфатидилхолин, лизофосфатидилэтаноламин, и т. д.), полученные направленным отщеплением.

Под действием фосфолипазы В деэтерификация идет и в первом, и во втором положении; фосфолипазы С и D, не затрагивая ацилов высших

жирных кислот, осуществляют гидролиз в фосфорнокислой группе и приводят к образованию диацилглицеринов (фосфолипаза С) или фосфатидных кислот (фосфолипаза D):

Химическая модификация возможна по двум направлениям, к которым относятся: — обработка пероксидом водорода в присутствии молочной кислоты с образованием гидроксилированных лецитинов:

где — CH=CH-R — ацил кислоты, содержащий двойную связь; R' — ацил кислоты.

— получение ацетилированных производных:

где R и R' — ацилы кислот.

Все приемы модификации фосфолипидов приводят к изменению ГЛ Б, а, следовательно, и поверхностной активности, определяющей технологические функции фосфолипидов в различных пищевых системах. Значения ГЛБ для различных модификаций лецитина приведены ниже:

Стандартный  
Ацетилированный  
Гидролизованный  
Гидооксилиоованный  

В основе получения синтетических аналогов лежит глицеролиз растительных масел и жиров с последующим фосфорилированием образовавшихся неполных ацилглицеринов фосфорным ангидридом и нейтрализацией кислотных форм газообразным аммиаком:

В отличие от своих природных аналогов аммониевые фосфатиды не имеют статуса совершенно безвредных, применение их в пищевых продуктах регламентируется соответствующими директивами.

Особенности эмульгирующих свойств фосфолипидов обусловлены способностью образовывать и поддерживать в однородном состоянии как прямые, так и обратные эмульсии, что распространяет их использование на все виды пищевых эмульсий: от майонезов и различных салатных соусов (прямые эмульсии) до маргаринов различного жирнокислотного состава и разного содержания жировой фазы (обратные эмульсии).

Другой отличительной особенностью фосфолипидов как пищевых эмульгаторов является их способность образовывать липосомы —

липидные везикулы: частицы, формируемые концентрическими замкнутыми липидными бислоями с внутренним водным слоем, изолированным от внешней среды и содержащим, в зависимости от назначения липосом, различные включения, например, пептиды или белки. Использование липосомальных систем в пищевых продуктах связано с функциями защиты отдельных пищевых ингредиентов от внешнего воздействия (защита дрожжевых клеток от охлаждения в замороженных мучных полуфабрикатах и пицце), сохранения влаги (мороженое) или органических, например, вкусовых веществ (хлеб и бисквиты).

Поверхностная активность фосфолипидов на различных межфазных границах (твердое вещество/жидкость, жидкость/газ и т. д.) обусловливает эффективность их действия в многокомпонентных дисперсных системах, включая структурированные, в которых дефиниции этих добавок сводятся к изменению реологических свойств.

В отличие от большинства других пищевых добавок препараты фосфолипидов обладают высокой физиологической эффективностью, связанной с уменьшением уровня холестерина, улучшением функции печени и состояния центральной и периферической нервной системы, торможением процессов старения организма и нормализацией иммунобиологической реактивности организма. И хотя диетологи не относят фосфолипиды к незаменимым факторам питания, они являются физиологически ценными компонентами пищи, суточная потребность в которых составляет около 5 г.

Эфиры полиглицерина (Е475) представляют собой сложные эфиры жирных кислот с полиглицерином и могут быть описаны формулой:

Технология их получения основана на полимеризации глицерина с последующей этерификацией пищевыми жирами или высшими жирными кислотами (пальмитиновой, стеариновой, олеиновой).

Эфиры полиглицерина являются неионогенными ПАВ и могут проявлять как гидрофильные, так и липофильные свойства со значениями ГЛБ от 5 до 13, что зависит, в частности, от степени полимеризации (преимущественно, п = 1, 2, 3 или 4).

Их применение в пищевой промышленности связано с технологическими функциями эмульгаторов, пеногасителей, замутнителей, смазочных материалов. Основные объекты использования — хлебопекарные и кондитерские изделия, а также маргариновая продукция. ДСД эфиров полиглицерина, в общем случае, не должна превышать 25 мг на 1 кг массы тела человека в день.

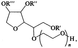
Эфиры сахарозы (Е473) представляют собой смесь преимущественно моно-, ди- и триэфиров сахарозы с природными высшими жирными кислотами:

Получение этих добавок основано на реакции между сахарозой и метиловыми или этиловыми эфирами пищевых кислот жирного ряда в среде органического растворителя (диметилсульфоксида или диметилформамида), остаточное содержание которого в пищевой добавке не должно превышать 1 и 2 мг/кг (для диметилформамида и диметилсульфоксида соответственно).

Общее содержание эфиров должно составлять не менее 80% при контролируемом уровне содержания сахарозы, составляющем не более 5%. Добавки этой группы являются неионогенными эмульгаторами и характеризуются различной гидрофильностыб, зависящей от содержания моноэфира:

Содержание моноэфира            
Значение ГЛБ            

Эфиры сорбитана (Е491—Е496) — сложные эфиры шестиатомного спирта сорбита в ангидроформе (ангидросорбит) с природными высшими жирными кислотами — лауриновой, пальмитиновой, стеариновой, олеиновой. Сложные эфиры ангидросорбита и жирных кислот (табл. 9.14) имеют название сорбитаны (спаны или спены):

где R', R'', R'''; — атомы водорода или ацилы высших жирных кислот (см. табл. 9.14).

Статус пищевых добавок имеют шесть сорбитанов. Добавки этой подгруппы являются липофильными неионогенными эмульгаторами. ГЛБ для сорбитанмоностеарата лежит в интервале 3—6.

Таблица 9.14. Пищевые сорбитаны (см. формулу на с. 410)

Код Название R' R'' и R'''
Е491 Сорбитанмоностеарат Н
Е492 Сорбитантристеарат
Е493 Сорбитанмонолаурат Н
Е494 Сорбитанмоноолеат H
Е495 Сорбитанмонопальмитат Н
Е496 Сорбитантриолеат

Основные области использования — производство мучных кондитерских изделий, сливок для кофе, сухих дрожжей. В производстве маргаринов эти добавки применяют для модификации кристаллов жира.

Эфиры полиоксиэтиленсорбитана (Е432—Е436) представляют собой оксиэтилированные сорбитаны — эфиры ангидросорбита с жирными кислотами, в молекулах которых свободные ОН-группы замещены группами О—[СН2—СН2—O]n—H полностью или частично. В добавках для пищевых продуктов п равно 20. Общая формула полиоксиэтиленсорбитанов сорбитановой части молекулы имеет вид:

где R', R'', R''' — атомы водорода или ацилы высших жирных кислот.

Коммерческие препараты добавок этой группы имеют название полисорбаты или твины.

В перечень добавок, разрешенных к применению в производстве пищевых продуктов, включены 5 полисорбатов.

Эти неионогенные эмульгаторы получают взаимодействием окиси этилена с эфирами ангидросорбита и жирных кислот в среде 1,4-диоксана. Этоксилирование молекул сорбитанов приводит к повышению гидрофильности ПАВ, которая зависит от числа ацилов высших жирных кислот в структуре сорбитана. ГЛБ для полиоксиэтиленсорбитанмоно-стеарата (полисорбата 60) составляет 14,4, а для тристеарата (полисорбата 65) соответствует 10—11.

Основные области применения — мороженое, сливки для кофе, замороженные десерты, кексы и другие кондитерские изделия.

Эфиры молочной кислоты (лактилаты, Е481 и Е482) — производные молочной кислоты с высшими жирными кислотами (стеариновой или олеиновой) в виде их натриевых или кальциевых солей.

Общая формула, описывающая структуру основного вещества:

где R — ацил стеариновой или олеиновой кислоты; Me — Na или 1/2Са.

В основе получения этих добавок лежит взаимодействие карбоксильной группы стеариновой кислоты с гидроксильной группой пищевой молочной кислоты с последующей нейтрализацией гидроксидом натрия или кальция свободных карбоксильных групп в молекулах синтезированных эфиров.

Стеароиллактаты натрия и кальция могут быть отнесены к группе анионактивных ПАВ с отрицательным зарядом на поверхностно-активной части молекулы.

Значение ГЛБ для стеароиллактата натрия составляет 10—12, для кальциевой соли — 5—6. Основные области использования — производство хлеба и хлебобулочных изделий, пудингов, взбитых сливок и других продуктов.

Допустимая суточная доза лактилатов с пищевыми продуктами должна составлять 0—20 мг на кг массы тела.

399:: 400:: 401:: 402:: 403:: 404:: 405:: 406:: 407:: 408:: 409:: 410:: 411:: Содержание

412:: 413:: 414:: Содержание







Date: 2015-05-09; view: 1794; Нарушение авторских прав



mydocx.ru - 2015-2026 year. (1.394 sec.) Все материалы представленные на сайте исключительно с целью ознакомления читателями и не преследуют коммерческих целей или нарушение авторских прав - Пожаловаться на публикацию