Главная Случайная страница


Полезное:

Как сделать разговор полезным и приятным Как сделать объемную звезду своими руками Как сделать то, что делать не хочется? Как сделать погремушку Как сделать так чтобы женщины сами знакомились с вами Как сделать идею коммерческой Как сделать хорошую растяжку ног? Как сделать наш разум здоровым? Как сделать, чтобы люди обманывали меньше Вопрос 4. Как сделать так, чтобы вас уважали и ценили? Как сделать лучше себе и другим людям Как сделать свидание интересным?


Категории:

АрхитектураАстрономияБиологияГеографияГеологияИнформатикаИскусствоИсторияКулинарияКультураМаркетингМатематикаМедицинаМенеджментОхрана трудаПравоПроизводствоПсихологияРелигияСоциологияСпортТехникаФизикаФилософияХимияЭкологияЭкономикаЭлектроника






Вещества, улучшающие внешний вид пищевых продуктов





Пищевые красители

Основной группой веществ, определяющих внешний вид продуктов питания, являются пищевые красители (функциональный класс 7, табл. 9.1).

Потребитель давно привык к определенному цвету пищевых продуктов, связывая с ним их качество, поэтому красители в пищевой промышленности применяются с давних времен. В условиях современных пищевых технологий, включающих различные виды термической обработки (кипячение, стерилизацию, жарение и т. д.), а также при хранении продукты питания часто изменяют свою первоначальную, привычную для потребителя окраску, а иногда приобретают неэстетичный внешний вид, что делает их менее привлекательными, отрицательно влияет на аппетит и процесс пищеварения. Особенно сильно меняется цвет при консервировании овощей и фруктов. Как правило, это связано с превращением хлорофиллов в феофитин или с изменением цвета антоциановых красителей в результате изменения рН среды или образования комплексов с металлами. В то же время, красители иногда используются для фальсификации пищевых продуктов, например, подкрашивания их, не предусмотренного рецептурой и технологией, — для придания продукту свойств, позволяющих имитировать его высокое качество или повышенную ценность.

Для окраски пищевых продуктов используют натуральные (природные) или синтетические (органические и неорганические) красители (рис. 9.3).


Рис. 9.3. Классификация красителей

В настоящее время в Российской Федерации для применения в пищевых продуктах разрешено около 60 наименований натуральных и синтетических красителей, включая добавки, обозначенные строчными буквами и строчными римскими цифрами и входящими в одну группу соединений с единым Е-номером.

Перечень красителей, разрешенных к применению в РФ при производстве пищевых продуктов (из СанПиН 2.3.2.1078—01), приведен ниже:

Натуральные красители  
Куркумины............... Е100
Рибофлавины............. Е101
Алканет, Алканин......... Е103
Кармины, Кошениль...... Е120
Хлорофилл............... Е140
Медные комплексы хлорофиллов и хлорофиллинов...... Е141
Сахарные колеры......... Е150
Каротины................ Е160
Каротиноиды............. Е161
Красный свекольный...... Е162
Антоцианы............... Е163
Танины пищевые.......... Е181
Красный рисовый......... -
Минеральные красители  
Уголь.................... ..Е152
Уголь древесный.......... ..Е153
Углекислые соли кальция.. ..Е170
Диоксид титана........... ..Е171
Оксиды и гидроксиды железа ..Е172
Серебро.................... Е174
Золото..................... Е175
Ультрамарин................. -
Синтетические красители  
Тартразин.................. Е102
Желтый хинолиновый....... Е104
Желтый 2G................. Е107
Желтый "солнечный закат"... Е110
Азорубин, Кармуазин........ Е122
Понсо 4R, Пунцовый 4R..... Е124
Красный 2G................ Е128
Красный очаровательный АС.. Е 1 29
Синий патентованный V..... Е131
Индигокармин.............. Е132
Синий блестящий FCF...... Е133
Зеленый S.................. Е142
Зеленый прочный FCF....... E143
Черный блестящий PN....... Е151
Коричневый НТ............ Е155
Орсейл, орсин.............. Е182
Красные для карамели 1,2.... -
Красный 3................... -

Два красителя: углекислые соли кальция Е170 (поверхностный краситель, стабилизатор, добавка, препятствующая слеживанию) и танины пищевые Е181 (краситель, эмульгатор, стабилизатор) являются пищевыми добавками комплексного действия. Запрещенные в России красители перечислены в табл. 9.2.

Правилами применения отдельных красителей оговариваются вид продукта и максимальные уровни использования красителя в конкретном продукте, если эти уровни установлены.

С гигиенической точки зрения среди красителей, применяемых для окраски продуктов, особое внимание уделяется синтетическим красителям. Оценивают их токсическое, мутагенное и канцерогенное действие. При токсикологической оценке природных красителей учитывают характер объекта, из которого он был выделен, и уровни его использования. Модифицированные природные красители, а также красители,

выделенные из непищевого сырья, проходят токсикологическую оценку по той же схеме, что и синтетические.

Наиболее широко пищевые красители применяются при производстве кондитерских изделий, напитков, маргаринов, некоторых видов консервов, сухих завтраков, плавленых сыров, мороженого.


Натуральные (природные) красители

Натуральные красители обычно выделяют из природных источников в виде смеси различных по своей химической природе соединений, состав которой зависит от источника и технологии получения, в связи с чем обеспечить его постоянство часто бывает трудно. Среди натуральных красителей необходимо отметить каротиноиды, антоцианы, флавоноиды, хлорофиллы. Они, как правило, не обладают токсичностью, но для некоторых из них установлены допустимые суточные дозы. Некоторые натуральные пищевые красители или их смеси и композиции обладают биологической активностью, повышают пищевую ценность окрашиваемого продукта. Сырьем для получения натуральных пищевых красителей являются различные части дикорастущих и культурных растений, отходы их переработки на винодельческих, сокодобывающих и консервных заводах, кроме этого, некоторые из них получают химическим или микробиологическим синтезом. Природные красители, в том числе и модифицированные, чувствительны к действию кислорода воздуха (например, каротиноиды), кислот и щелочей (например, антоцианы), температуры, могут подвергаться микробиологической порче.

Каротиноиды — углеводороды изопреноидного ряда С40Н56 (каротины) и их кислородсодержащие производные. Каротиноиды — растительные красно-желтые пигменты, обеспечивающие окраску ряда овощей, фруктов, жиров, яичного желтка и других продуктов. Интенсивная окраска каротиноидов обусловлена наличием в их структуре сопряженных двойных л-связей, являющихся хромофорами. Они нерастворимы в воде и растворимы в жирах и органических растворителях. Примером таких соединений является β-каротин (название происходит от лат. carota — морковь).

β-Каротин E160a(i) получается синтетическим (в том числе микробиологическим) путем или выделяется из природных источников, в том числе из криля, в смеси с другими каротиноидами (El60a(ii) — экстракты натуральных каротиноидов) в виде водо- или жирорастворимых форм. β-Каротин является не только красителем, но и провитамином А, антиоксидантом, эффективным профилактическим средством против онкологических и сердечно-сосудистых заболеваний, защищает от

воздействия радиации. Он применяется для окрашивания и витаминизации маргаринов, майонезов, кондитерских, хлебобулочных изделий, безалкогольных напитков.

Из пигментов этой группы следует также отметить ликопин (E160d) и желто-оранжевый краситель аннато (Е160b) — водный экстракт из корней Bixaorellana L, разрешенный для окраски маргаринов, ароматизированных сыров, сухих завтраков из зерна, сливочного масла. Он обладает антиспастическими и гипотоническими свойствами. К этой же группе красителей относятся маслосмолы паприки (Е160с) — экстракты из красного перца Capsicum annuum L. Они имеют характерный острый вкус и цвет от желтого до оранжевого. Основным пигментом является каротиноид капсантин, не обладающий А-витаминной активностью. Применяется при изготовлении копченостей, кулинарных изделий, соусов, сыров. Необходимо упомянуть еще β-апокаротиналь (Е160е) — β-апокаротиновый альдегид, получаемый синтетическим путем, и метиловые или этиловые эфиры β-апо-8'-каротиновой кислоты (E160f).


Большую группу составляют производные каротиноидов: флавоксантин (Е161 а), лютеин (экстракт бархатцев, Е161b), криптоксантин (Е161 с), рубиксантин (Е16Ы), виолоксантин (Е161е),родоксантин (E161f), кантак-сантин(Е160g).

Для окраски пищевых продуктов (маргарина, сливочного масла, майонеза, рыбных изделий, искусственной икры и некоторых других продуктов) применяют каротиноиды, выделенные из моркови α-β-γ-каротины), плодов шиповника, перца, а также продукты, полученные микробиологическим или синтетическим путем. Каротиноиды устойчивы к изменению рН среды, к веществам, обладающим восстановительными свойствами, но при нагревании (выше 100°С) или под действием солнечного света легко окисляются. Наибольшее значение имеет β-каротин, экстракты натуральных каротинов и аннато.

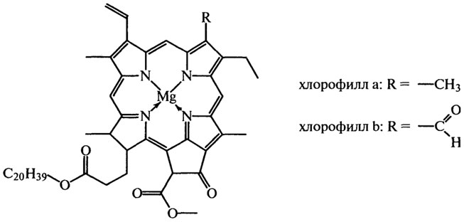
Хлорофиллы (магнийзамещенные производные порфирина) — природные пигменты, придающие зеленую окраску многим овощам и плодам (салат, зеленый лук, зеленый перец, укроп и т. д.). Хлорофилл состоит из сине-зеленого "хлорофилла а" и желто-зеленого "хлорофилла Ь", находящихся в соотношении 3:1. Для извлечения хлорофилла используют петролейный эфир со спиртом. Применение их в качестве красителя (Е140) в пищевой промышленности сдерживается их нестойкостью: при повышенной температуре в кислых средах зеленый цвет

переходит в оливковый, затем в грязно-желто-бурый вследствие образования феофитина. Большое практическое значение могут иметь медные хлорофиллоподобные комплексы (Е14Н), содержащие медь в качестве центрального атома и имеющие интенсивную зеленую окраску, и натриевые и калиевые соли медного комплекса хлорофиллина (EHlii). Хлорофилл и его производные с медью растворимы в масле, хлорофиллин и его медные производные — в воде. Для окраски продуктов питания используются зеленые пигменты, выделенные из крапивы, капусты, ботвы моркови и т. д.

Антрахиноновые красители содержат в качестве основной хромофорной группы гидроксиантрахинон, обладающий стабильной окраской.

К природным пигментам этой группы относятся ализарин, кармин, алканин. Остановимся на разрешенных в России.

Кармин Е120 — красный краситель (основной компонент карминовая кислота) — представляют собой комплексные соли карминовой кислоты с ионами металлов. Получают экстракцией из кошениля — высушенных и растертых женских особей насекомых — червецов вида Dactylopius coccus (Sacta), обитающих на кактусах, которые произрастают в Южной Америке, Африке. Наиболее богаты кармином самки кошенили, содержащие до 3% красителя. Краситель устойчив к нагреванию, действию кислорода воздуха, свету. Применяется в кондитерской, безалкогольной, мясной промышленности, при производстве джемов, желе. В последнее время кармин в значительно больших количествах получают синтетическим путем.


Алканин (алканет) Е103 — красно-бордовый краситель, производное 1,4-нафтохинона.

Известен как краситель еще с древних времен. Получают из корней растения Alkanna tinctoria, растущего на юге и в центральной части Европы. Он растворим в жирах, но не нашел широкого применения для их окраски, т. к. обладает недостаточной стабильностью и нехарактерным для жировых продуктов цветом.

Курку мин — желтый природный краситель (ElOOi), получают из многолетних травянистых растений семейства имбирных — Curcuma longa, L.

К этой группе относится и турмерик (Е100Н) — порошок корневища куркумы.

Куркумины не растворяются в воде и часто используются в пищевой промышленности в виде спиртового раствора.

Антоциановые красители. Важной группой водорастворимых природных красителей являются антоцианы (E163i). Это фенольные соединения, являющиеся моно- и дигликозидами. При гидролизе они распадаются на углеводы (галактозу, глюкозу, рамнозу и др.) и агликоны, представленные антоцианидами (пеларгонидином, цианидином, дельфини-дином и др.). Характер окраски природных антоцианов зависит от многих факторов: строения, рН среды, образования комплексов с металлами, способности адсорбироваться на полисахаридах, температуры, света. Наиболее устойчивую красную окраску антоцианы имеют в кислой среде при рН 1,5—2; при рН 3,4—5 окраска становится красно-пурпурной или пурпурной. В щелочной среде происходит изменение окраски: при рН 6,7—8 она становится синей, сине-зеленой, а при рН 9 — зеленой, переходящей в желтую при повышении рН до 10. Меняется окраска

антоцианинов и при образовании комплексов с различными металлами: соли магния и кальция имеют синюю окраску, калия — красно-пурпурную. Увеличение числа метальных групп в молекуле антоцианинов сдвигает окраску в сторону красных оттенков. Представителями этой группы красителей являются собственно антоцианы, энокраситель и экстракт из черной смородины.

Энокраситель (E163ii) получают из выжимок темных сортов винограда и ягод бузины в виде жидкости интенсивно красного цвета. Представляет собой смесь окрашенных, различных по своему строению органических соединений, в первую очередь антоцианинов и катехинов. Окраска продукта энокрасителем зависит от рН среды: красная окраска в подкисленных средах, в нейтральных и слабощелочных средах энокраситель придает продукту синий оттенок. Поэтому при использовании энокраси-теля в кондитерской промышленности одновременно применяют и органические кислоты для создания необходимой кислотности среды.

В последнее время начали использовать в качестве желтых и розово-красных красителей пигменты антоциановой природы, содержащиеся в соке черной смородины (E163iii), кизила, красной смородины, клюквы, брусники, пигменты чая, содержащие антоцианы и катехины, а также краситель темно-вишневого цвета, выделенный из свеклы — свекольный красный (Е162). Составной частью его является бетанин.

Сахарный колер (карамель, Е150) — темно-окрашенный продукт карамелизации (термического разложения) Сахаров, получаемый по различным технологиям. Его водные растворы представляют собой приятно пахнущую темно-коричневую жидкость. В зависимости от технологии получения различают сахарный колер I (Е150а, простой, карамель I);

сахарный колер II (E150b, карамель II), полученный по "щелочно-сульфитной" технологии; сахарный колер III (El50с, карамель III), полученный по "аммиачной" технологии; сахарный колер IV (E150d, карамель IV), полученный по "аммиачно-сульфитной" технологии. В результате карамелизации Сахаров образуется сложная смесь продуктов с характерной окраской. Применяется для окраски напитков, ячменного хлеба, кондитерских изделий, желе и джемов, в кулинарии.

Рибофлавины (рибофлавин ElOli) и натриевая соль рибофлавин-5'-фосфата (ЕЮШ) используются в качестве желтого пищевого красителя для окрашивания кондитерских изделий, майонезов и т. п. Максимальный уровень внесения не установлен.

Синтетические красители

Синтетические красители обладают значительными технологическими преимуществами по сравнению с большинством натуральных красителей. Они дают яркие, легко воспроизводимые цвета и менее чувствительны к различным видам воздействия, которым подвергается материал в ходе технологического потока.

Синтетические пищевые красители — представители нескольких классов органических соединений: азокрасители (тартразин — Е102; желтый "солнечный закат" — Е110; кармуазин — Е122; пунцовый 4R— Е124; черный блестящий — Е151); триарилметановые красители (синий патентованный V—Е131; синий блестящий — Е133; зеленый S — Е142); хинолиновые (желтый хинолиновый — Е104); индигоидные (индигокармин — Е132). Все эти соединения хорошо растворимы в воде, большинство образует нерастворимые комплексы с ионами металлов и применяются в этой форме для окрашивания порошкообразных продуктов.

Отметим разрешенные к применению в РФ синтетические красители.

Индигокармин (индиготин) — динатриевая соль индигодилсульфокис-лоты. При растворении в воде дает растворы интенсивно синего цвета. Применяется в кондитерской промышленности, в технологии напитков (обладает низкой устойчивостью к редуцирующим сахарам и свету, что необходимо учитывать при использовании для окраски напитков).

Тартразин хорошо растворим в воде, его растворы окрашены в оранжевато-желтый цвет. Используется в кондитерской промышленности, при производстве напитков, мороженого.

В качестве пищевых красителей применяются также хинолиновый желтый Е104, желтый 2G Е107, желтый "солнечный закат FCF" Е110, красные красители — азорубин (кармуазин) Е122, понсо 4R (пунцовый 4R) Е124, красный 2G Е128, "красный очаровательный AC" E129, "орсейл" (орсин-красный для карамели) Е182; голубые красители — "синий патентованный V" Е131, "синий блестящий FCF" E133; зеленые красители — "зеленый S" E142, "зеленый прочный FCF" E143; темно-фиолетовый краситель — "черный блестящий РН" (бриллиантовый черный) Е151; коричневый краситель "коричневый НТ" Е155.

Эритрозин — Е127 не разрешен для применения в нашей стране, но используется в других странах.

Синтетические красители в пищевой технологии применяются в виде индивидуальных продуктов и соединений с содержанием основного вещества не менее 70—85%, в смеси друг с другом, а также разбавленные наполнителями (поваренной солью, сульфатом натрия, глюкозой, сахарозой, лактозой, крахмалом, пищевыми жирами и др.), что упрощает обращение с ними. Для окрашивания пищевых продуктов используют, главным образом, водные растворы пищевых красителей. Порошкообразные красители применяют обычно лишь в сухих полуфабрикатах (концентратах напитков, сухих смесях для кексов, желе и т. д.).

Смеси красителей позволяют получить цвета и оттенки, которые не удается создать с помощью индивидуальных красителей.

При выборе красителя и его дозировки необходимо учитывать не только цвет и желаемую интенсивность окраски, но и физико-химические свойства пищевых систем, в которые он вносится, а также особенности технологии.

N Широкое применение синтетических красителей, появившихся в последнее время благодаря достижениям химии, связано с их высокой устойчивостью к изменениям рН среды и действию кислот, стабильностью к нагреванию и свету, большой окрашивающей способностью, легкостью дозирования, устойчивостью окраски при хранении продукта. В большинстве случаев они дешевле натуральных красителей.

Минеральные (неорганические) красители

В качестве красителей применяют минеральные пигменты и металлы. В Российской Федерации разрешено применение 7 минеральных красителей и пигментов (табл. 9.3), включая уголь древесный.

Таблица 9.3. Минеральные красители, разрешенные для применения в РФ

Код Наименование Цвет водных или масляных растворов
Е152 Уголь Черный
Е153 Уголь древесный Черный
Е170 Углекислые соли кальция Белый
Е171 Диоксид титана Белый
Е172 Оксиды железа  
  (i) железа (+2;+3) оксид черный Черный
  (ii) железа (+3) оксид красный Красный
  (iii) железа (+3) оксид желтый Желтый
Е174 Серебро  
Е175 Золото  

360:: 361:: 362:: 363:: 364:: 365:: 366:: 367:: 368:: 369:: 370:: 371:: 372:: Содержание

373:: Содержание







Date: 2015-05-09; view: 1131; Нарушение авторских прав



mydocx.ru - 2015-2026 year. (2.345 sec.) Все материалы представленные на сайте исключительно с целью ознакомления читателями и не преследуют коммерческих целей или нарушение авторских прав - Пожаловаться на публикацию