Главная Случайная страница


Полезное:

Как сделать разговор полезным и приятным Как сделать объемную звезду своими руками Как сделать то, что делать не хочется? Как сделать погремушку Как сделать так чтобы женщины сами знакомились с вами Как сделать идею коммерческой Как сделать хорошую растяжку ног? Как сделать наш разум здоровым? Как сделать, чтобы люди обманывали меньше Вопрос 4. Как сделать так, чтобы вас уважали и ценили? Как сделать лучше себе и другим людям Как сделать свидание интересным?


Категории:

АрхитектураАстрономияБиологияГеографияГеологияИнформатикаИскусствоИсторияКулинарияКультураМаркетингМатематикаМедицинаМенеджментОхрана трудаПравоПроизводствоПсихологияРелигияСоциологияСпортТехникаФизикаФилософияХимияЭкологияЭкономикаЭлектроника






Дифракционная решетка. Дифракционная решетка в простейшем случае представляет собой прозрачную стеклянную пластинку, на которой нанесены на одинаковом расстоянии друг от друга





Дифракционная решетка в простейшем случае представляет собой прозрачную стеклянную пластинку, на которой нанесены на одинаковом расстоянии друг от друга штрихи равной ширины. Такая решетка может быть использована в спектральной установке обычного типа вместо призмы как «диспергирующая система». Она, как и призма, устанавливается в параллельных пусках, выходящих из коллиматора. Дифракционная картина наблюдается как и в случае призменного спектрального устройства, в фокальной плоскости выходного объектива. Следовательно, здесь имеет место дифракция Фраунерфера (дифракция в параллельных лучах).

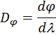
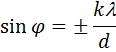
Значение угловой дисперсии

решетки можно получить из условия, которое определяет положение главных максимумов:

,

где d – постоянная решетки, k – порядок спектра.

Дифференцируя по l, имеем:

Следовательно, с точки зрения повышения дисперсии прибора выгодно работать в высшем порядке спектра. Однако порядок спектра, вообще говоря, ограничен тем, что sinφ =1 и поэтому .

Кроме того, как указывалось выше, интенсивность спектра очень быстро убывает с увеличением порядка спектра. Поэтому, чтобы иметь прибор с хорошей дисперсией в спектрах низшего порядка, стремятся изготовить решетку с малым значением её постоянной и в то же время с достаточно большим общим количеством штрихов. Хорошие решетки для видимой области спектра имеют менее 500-600 штрихов на 1 мм. Современная техника изготовления решеток позволяет получать решетки с 1200 штрихов на 1 мм и заштрихованной поверхностью 25х35 см и более.

В низшем порядке спектра дифракционной решетки работать удобно еще и потому, что здесь мы может считать линейную дисперсию с большей степенью точности величиной постоянной, так как для малых углов φ.

Спектры постоянной дисперсией, лежащие вблизи нормали к решетке, называют нормальными спектрами. В этом отношении призматический спектр, где дисперсия меняется обратно пропорционально l 2, менее удобен.

На рис.15.4 приведены два спектра испускания Солнца, полученные с помощью призмы (а) и решетки (б).

Рис.15.4 Виды призматического (а) и нормального (б) спектров Солнца

Как видно из рисунка, они очень сильно отличаются друг от друга как по форме, так и по положению максимумов.

Рис. 15.5 Сравнение шкал спектрографа с призмой (а) и дифракционной решеткой (б) для нормального спектра. Оба спектра выбраны одинаковой длины.

Поэтому, при исследовании распределения интенсивности в прерывных спектрах, необходимо всегда вносить поправку на зависимость дисперсии от длины волны.







Date: 2015-05-08; view: 783; Нарушение авторских прав



mydocx.ru - 2015-2026 year. (0.977 sec.) Все материалы представленные на сайте исключительно с целью ознакомления читателями и не преследуют коммерческих целей или нарушение авторских прав - Пожаловаться на публикацию