Главная Случайная страница


Полезное:

Как сделать разговор полезным и приятным Как сделать объемную звезду своими руками Как сделать то, что делать не хочется? Как сделать погремушку Как сделать так чтобы женщины сами знакомились с вами Как сделать идею коммерческой Как сделать хорошую растяжку ног? Как сделать наш разум здоровым? Как сделать, чтобы люди обманывали меньше Вопрос 4. Как сделать так, чтобы вас уважали и ценили? Как сделать лучше себе и другим людям Как сделать свидание интересным?


Категории:

АрхитектураАстрономияБиологияГеографияГеологияИнформатикаИскусствоИсторияКулинарияКультураМаркетингМатематикаМедицинаМенеджментОхрана трудаПравоПроизводствоПсихологияРелигияСоциологияСпортТехникаФизикаФилософияХимияЭкологияЭкономикаЭлектроника






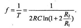
Порядок виконання роботи. Частота надходження імпульсів, генерованих MB на ОП становить





Частота надходження імпульсів, генерованих MB на ОП становить


Приймемо співвідношення


 

 

При цьому напруга на конденсаторі змінюється ще достатньо лінійно, що забезпечує чітке спрацьовування ОП як компаратора, а значить і стабільність частоти генерованих імпульсів.

Задамо величину опору резистора

R1=100 кОм

Тоді

R2=100*0,63 = 63кОм.

У якості резисторів виберемо резистори відповідної величини типу С2-33 з номінальною потужністю 0,125 Вт (оскільки очевидно, що за напруги живлення у 12 В, струм, що через них протікає, незначний).


Тоді

Звідки

 

Якщо прийняти С = 0,01 мкФ, то для частоти=5 кГц отримаємо:


 

Якщо результат розрахунку не відповідає заданим обмеженням, слід прийняти інше значення ємності конденсатора.


За табл. 2.1 — 2.3(обираємо резистор типу С2-33 потужністю 0,125 Вт з опором 12 кОм.

Таблиця 2.1 - Ряди номінальних значень

 


Таблиця 2.2 - Множники для утворення десяткових часткових







Date: 2015-05-08; view: 655; Нарушение авторских прав



mydocx.ru - 2015-2026 year. (0.331 sec.) Все материалы представленные на сайте исключительно с целью ознакомления читателями и не преследуют коммерческих целей или нарушение авторских прав - Пожаловаться на публикацию