Главная Случайная страница


Полезное:

Как сделать разговор полезным и приятным Как сделать объемную звезду своими руками Как сделать то, что делать не хочется? Как сделать погремушку Как сделать так чтобы женщины сами знакомились с вами Как сделать идею коммерческой Как сделать хорошую растяжку ног? Как сделать наш разум здоровым? Как сделать, чтобы люди обманывали меньше Вопрос 4. Как сделать так, чтобы вас уважали и ценили? Как сделать лучше себе и другим людям Как сделать свидание интересным?


Категории:

АрхитектураАстрономияБиологияГеографияГеологияИнформатикаИскусствоИсторияКулинарияКультураМаркетингМатематикаМедицинаМенеджментОхрана трудаПравоПроизводствоПсихологияРелигияСоциологияСпортТехникаФизикаФилософияХимияЭкологияЭкономикаЭлектроника






Метод капитализации по норме отдачи. Доходный подход к оценке стоимости объектов недвижимости. Оценка недвижимости в соответствии с международными стандартами





Метод капитализации по норме отдачи устанавливает (с использованием нормы дохода на капитал в качестве нормы дисконта) связь величин чистого операционного дохода, вычисленных для каждого года всего прогнозного периода, и стоимость реверсии на конец последнего года прогнозного периода со стоимостью объекта.

Метод включает в себя ряд техник, которые различаются между собой выбором типа капитализируемого дохода и способом капитализации:

  • техники непосредственного дисконтирования;
  • модельные техники;
  • техники ипотечно-инвестиционного анализа.


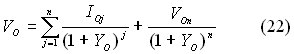
Техники непосредственного дисконтирования обеспечивают определение стоимости объекта недвижимости через дисконтирование потоков чистых операционных доходов (IO) и реверсии VOn с использованием локальных (для периодов) и средних величин общей нормы отдачи YO:



Средняя величина общей нормы отдачи определяется обработкой рыночной информации о доходности инвестиционных проектов, связанных с приобретением и доходным использованием объектов, или с использованием информации о доходности альтернативных проектов, ближайших к оцениваемому типу объектов по уровню рисков.

Для определения средней величины общей нормы отдачи YO используются следующие техники:

  • техника кумулятивного построения;
  • техника сравнения с альтернативными проектами;
  • техника сравнения продаж;
  • техника мониторинга рыночных данных.


Техника дисконтирования с суммированием рисков (техника кумулятивного построения) заключается в суммировании величин, отражающих степень риска данного проекта. Общая структура построения имеет следующий вид:



где YRF – безрисковая норма, включающая в себя безинфляционную составляющую и величину индекса инфляции; YR – премии за риск, включающая в себя премию за следующие виды рисков: физические, правовые, экономические, финансовые и социальные как внешние (страновой риск) так и внутренние, за исключением премии за риск низкой ликвидности и премии за риски, связанные с финансовым менеджментом, которые обосабливаются для того что бы подчеркнуть отличительную особенность недвижимости от других финансовых инструментов; YL – премии за риск низкой ликвидности; YFM – премии за риски, связанные с финансовым менеджментом

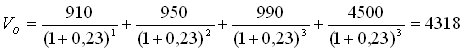
Пример 14. Определить стоимость объекта недвижимости с использованием техники дисконтирования с суммированием рисков, если известно что: собственник предполагает использовать объект оценки в своих целях 3 года, после чего перепродать его за 4500 тыс. руб.; чистый операционный доход от объекта оценки определен в размере 910 тыс. руб., 950 тыс. руб., 990 тыс. руб. соответственно за первый, второй и третий год владения объектом; безрисковая норма - 0,03; премия за страновой риск - 0,06; премия за физические риски - 0,025; премия за экономически риски - 0,015; премия за социальные риски - 0,03; премия за риск низкой ликвидности - 0,04; премия за риски, связанные с финансовым менеджментом - 0,03.

Решение:

1. Определим среднюю величину общей нормы отдачи:

2. Определим стоимость объекта недвижимости:

тыс. руб

Техника сравнения с альтернативными проектами заключается в поиске на финансовом рынке инвестиционных проектов с аналогичной степенью риска для последующей корректировки их нормы прибыли применительно к инвестициям в недвижимость.

При этом для величины общей нормы отдачи YO определяется диапазон возможных значений с границами снизу Y1 и сверху Y2:



Техника сравнения продаж заключается в анализе данных по совершенным сделкам купли-продажи с целью воссоздания предположений инвестора относительно будущих выгод от владения недвижимостью. На основе схемы денежных потоков проекта определяется внутренняя норма прибыли проекта.

Техника мониторинга рыночных данных заключается в анализе ретроспективных рыночных данных с целью определения текущих перспективных значений норм прибыли. При этом следует использовать корреляционные связи тенденций изменения прибыльности инвестиций в недвижимость с тенденциями изменения других инструментов финансового рынка.

Модельные техники обеспечивают определение рыночной стоимости всего объекта недвижимости для относительно простых частных случаев капитализации чистых операционных доходов, не меняющихся по периодам, и величины стоимости реверсии, связываемой с искомой стоимостью путем прогноза изменения ее во времени:



где dn = 1/(1+ YO)n - дисконтный множитель, an = 1/(1- dn)n - текущая стоимость единичного аннуитета.

При этом используется одинаковая для всех периодов общая норма отдачи, определяемая аналогично величине общего коэффициента капитализации:




где SFFO = 1/SOn – коэффициент фонда возмещения, SOn = 1/(1+YO)n –1 - будущая стоимость единичного аннуитета, ΔO = (VOn – VO)/ VO – величина относительного приращения стоимости объекта.

В этой группе представлены:

  • техники без учета амортизации;
  • техники полной амортизации;
  • техники линейной амортизации.


Техники без учета амортизации применяется в двух случаях: либо имеется бесконечный поток дохода (SFFO>0), либо поток дохода конечен, но цена продажи объекта равна начальной цене покупки (ΔO=0), т.е. первоначальной инвестиции.

В результате (26) приобретает следующий вид:



Стоимость такой недвижимости определяется путем деления чистого операционного дохода на подходящую норму отдачи (12).

Пример 15. Определить стоимость объекта недвижимости с использованием модельных техник без учета амортизации, если известно что: собственник предполагает использовать объект оценки в своих целях 3 года, после чего перепродать за цену приобретения; чистый операционный доход от объекта оценки определен в размере 910 тыс. руб. за каждый год владения объектом; норма отдачи на капитал определена в размере 0,203

Решение:

Определим стоимость объекта недвижимости:

тыс. руб.

Техники полной амортизации применяется в случаях, когда доходы от эксплуатации обеспечивают не только формирование дохода на капитал, но и полный возврат капитала (ΔO=-1, R0=Y0+ SFFO).

В результате (26) приобретает следующий вид:



Для расчета фактора фонда возмещения (SFFO) используют норму отдачи, характерную для оцениваемого проекта (техника Инвуда) или по безрисковой ставке (техника Хоскольда)

Пример 16. Определить стоимость объекта недвижимости с использованием модельной техники полной амортизации Инвуда и модельной техники полной амортизации Хоскольда, если известно что: собственник предполагает использовать объект оценки в своих целях 3 года, после чего перепродать за цену приобретения; чистый операционный доход от объекта оценки определен в размере 910 тыс. руб. за каждый год владения объектом; норма отдачи на капитал определена в размере 0,10; безрисковая ставка определена в размере 0,06.

Решение:

1. Техника Инвуда:

1.1 Определим общий коэффициент капитализации:

1.2 Определим стоимость объекта недвижимости:

тыс. руб.

2. Техника Хоскольда:

2.1 Определим общий коэффициент капитализации:

2.2 Определим стоимость объекта недвижимости:

тыс. руб.

Техники линейной амортизации применяют для определения настоящей стоимости в случаях, когда и доход, и стоимость недвижимости изменяются известным регулярным образом.

Для учета изменения стоимости актива применяется базовая формула Эллвуда:



где A - величина корректировки.

При этом, если стоимость объекта уменьшается, то корректировка A имеет знак «+», а если стоимость будет увеличиваться, то корректировка будет иметь знак «-«.

Численное значение корректировки определяется умножением относительного изменения стоимости (ΔO) на фактор фонда возмещения (SFFO), а общая формула для коэффициента капитализации принимает вид (26).

Пример 17. Определить стоимость объекта недвижимости с использованием модельных техник линейной амортизации, если известно что: собственник предполагает использовать объект оценки в своих целях 3 года, стоимость объекта уменьшится за период владения на 12%; чистый операционный доход от объекта оценки определен в размере 910 тыс. руб. за каждый год владения объектом; норма отдачи на капитал определена в размере 0,10.


Решение:

1. Определим величину относительного приращения стоимости объекта:

2. Определим общий коэффициент капитализации:

3. Определим стоимость объекта недвижимости:

тыс. руб.

Техники ипотечно-инвестиционного анализа обеспечивают определение стоимости недвижимости с учетом изменения ее стоимости и дохода, а также с учетом условий финансирования. Существуют две техники ипотечно-инвестиционного анализа:

  • техника ипотечно-инвестиционного анализа с дисконтированием;
  • модельная техника анализа (техника Эллвуда).


Техника ипотечно-инвестиционного анализа с дисконтированием основана на сложении основной суммы ипотечного кредита (VM) с дисконтированной текущей стоимостью будущих денежных поступлений и выручки от перепродажи актива:



где dEn = 1/(1+ YE)n - дисконтный множитель, aEn = 1/(1- dEn)n - текущая стоимость единичного аннуитета, рассчитанные для т периодов при норме отдачи на собственный капитал, YE определяется теми же техниками, что и общая норма отдачи, IE = NOI - DS - величина дохода на собственный капитал, VEn = VOn - VMn – стоимость реверсии для собственного капитала, определяемая как разность общей стоимости реверсии (VOn) и остатка платежей по кредиту (VMn).

Пример 18. Определить стоимость объекта недвижимости с использованием техники ипотечно-инвестиционного анализа с дисконтированием, если известно что: собственник на приобретение объекта оценки 2 года назад затратил 3400 тыс. руб.; на приобретение объекта недвижимости был получен кредит в размере 1 000 тыс. руб. под 13% годовых на 6 лет (годовой платёж по обслуживанию долга 250 тыс. руб.); собственник предполагает использовать объект оценки в своих целях 3 года, после чего перепродать за 4000 тыс. руб.; чистый операционный доход от объекта оценки определен в размере 910 тыс. руб. за каждый год владения объектом; норма отдачи на капитал определена в размере 0,10.

Решение:

1. Определим остатки кредита на момент оценки (3-й год кредита) и на конец периода владения (5-й год кредита):

тыс. руб.

тыс. руб.

2. Определим стоимость объекта недвижимости:

тыс. руб.

Модельная техника анализа (техника Эллвуда)

Данная техника применяется для частных случаев постоянства доходов и норм отдачи. В основе данной техники лежит формула для расчета общего коэффициента капитализации:



где rO - базовый коэффициент капитализации, который берет за основу требования инвестора по норме отдачи собственного капитала до корректировок на изменения дохода и стоимости недвижимости. Если доход и стоимость недвижимости не изменяются, базовый коэффициент капитализации будет соответствовать общему коэффициенту капитализации; P=[(l+Ym)N-1]/[(l+Ym)n-1] - доля самоамортизирующегося кредита, выплаченная к концу n-го периода, при общем сроке кредитного соглашения, равном N лет (см. выше), Ym — эффективная ставка процента по этому кредиту.


Список использованной литературы:

  1. Озеров Е. С. Экономика и менеджмент недвижимости. Спб: Издетельство «МКС», 2003 – 422 с. – ISBN 5-901-810-04-Х
  2. Виноградов Д. В. Норма дисконта: сущность, методы определения. // Энциклопедия оценки "Рыночная стоимость" - MARKETVALUE.RU, 2006

4.6 Рыночный (сравнительный) подход к оценке стоимости объектов недвижимости


Рыночный (сравнительный) подход – совокупность методов оценки стоимости объекта недвижимости, основанных на сравнении объекта оценки с аналогичными объектами недвижимости, в отношении которых имеется информация о ценах сделок с ними.

Исходной предпосылкой применения рыночного подхода к оценке недвижимости является наличие развитого рынка недвижимости. В основе данного метода лежат следующие принципы оценки недвижимости:

  • принцип спроса и предложения (существует взаимосвязь между потребностью в объекте недвижимости и ограниченностью её предложения);
  • принцип замещения (осведомленный, разумный покупатель не заплатит за объект недвижимости больше, чем цена приобретения (предложения) на том же рынке другого объекта недвижимости, имеющего аналогичную полезность.).


Сущность рыночного подхода к оценке стоимости недвижимости состоит в формировании заключения о рыночной стоимости объекта на основании обработки данных о ценах сделок (купли-продажи или аренды) с объектами, подобными (аналогичными) объекту оценки по набору ценообразующих факторов (объектами сравнения). При этом имеется в виду, что понятие рыночной стоимости по сути своей совпадает с понятием равновесной цены, которая оказывается функцией только количественных характеристик исчерпывающе полной совокупности ценообразующих факторов, определяющих спрос и предложение для объектов сравнения.

Элементы и единицы сравнения. Число элементов сравнения весьма велико, число их сочетаний – бесконечно велико, в результате приходится ограничиваться только теми объективно контролируемыми факторами, которые влияют на цены сделок наиболее существенным образом.

При исследовании рынка сделок в качестве ценообразующих факторов (объектов сравнения) рассматриваются характеристики потребительских свойств собственно объекта и среды его функционирования [1]. В сравнительном анализе сделок изучаются только те факторы, которыми объекты сравнения отличаются от объектов оценки и между собой. В процессе исследования выявляется исчерпывающий набор таких факторов и оценивается в денежных единицах изменение каждого фактора из этого набора.

Поскольку общее число ценообразующих факторов для любого объекта недвижимости весьма велико, в процессе исследования посредством анализа чувствительности исключаются из рассмотрения факторы, изменение которых оказывает пренебрежимо малое влияние на изменение цены сделки. Тем не менее число факторов, влияние которых должно учитываться, оказывается значительным. Для упрощения процедур анализа оставшиеся факторы группируются и в этом случае в качестве элементов сравнения можно рассматривать упомянутые группы. В таблице 4 приведен перечень таких групп, а также элементы сравнения из этих групп, рекомендуемые к использованию в анализе.


Таблица 4 Элементы сравнения, учитываемые при корректировке цен [2]

Группа факторов Элементы сравнения для сделок купли-продажи
1. Качество прав 1.1. Обременение объекта договорами аренды 1.2. Сервитуты и общественные обременения 1.3. Качество права на земельный участок в составе объекта
2. Условия финансирования 2.1. Льготное кредитование продавцом покупателя 2.2. Платеж эквивалентом денежных средств
3. Особые условия 3.1. Наличие финансового давления на сделку 3.2. Нерыночная связь цены продажи с арендной ставкой 3.3. Обещание субсидий или льгот на развитие
4. Условия рынка 4.1. Изменение цен во времени 4.2. Отличие цены предложения от цены сделки
5. Местоположение 5.1. Престижность района 5.2. Близость к центрам деловой активности и жизнеобеспечения 5.3. Доступность объекта (транспортная и пешеходная) 5.4. Качество окружения (рекреация и экология)
6. Физические характеристики 6.1. Характеристики земельного участка 6.2. Размеры и материалы строений 6.3. Износ и потребность в ремонте строений 6.4. Состояние окружающей застройки
7. Экономические характеристики 7.1. Возможности ресурсосбережения 7.2. Соответствие объекта принципу ННЭИ
8. Сервис и дополнительные элементы 8.1. Обеспеченность связью и коммунальными услугами 8.2. Наличие парковки и (или) гаража 8.3. Состояние системы безопасности 8.4. Наличие оборудования для бизнеса

Рассмотрим приведенные элементы сравнения подробнее [3].

1. Качество прав для объектов-аналогов и объекта оценки связывается со степенью обремененности последних частными и публичными сервитутами, приводящими к снижению ценности обремененного объекта в сравнении с объектом полного права собственности.

1.1. Обременение объекта-аналога или объекта оценки договором аренды со ставками арендной платы, не согласованными с динамикой изменения рыночных условий в период действия договора аренды, может привести к снижению дохода от эксплуатации приобретаемого объекта в сравнении с рыночным уровнем.

Если такое снижение касается объекта-аналога, то цена сделки с ним корректируется в сторону увеличения. Если объект-аналог не обременен таким договором аренды, а объект оценки сдан в аренду на невыгодных условиях, то цена сделки с объектом-аналогом корректируется в меньшую сторону.

1.2. Права владения и пользования объектом-аналогом или объектом оценки могут ограничиваться частным или публичным сервитутом, а также иными обременениями.

Любое из указанных выше ограничений может привести к уменьшению ценности объекта. Следовательно, если обременение касается объекта-аналога, то цена последнего корректируется в сторону увеличения. Напротив, если ограничиваются возможности использования объекта-оценки, то цена объекта-аналога уменьшается па величину поправки.

1.3. Отличие качеств права на земельный участок в составе объекта-аналога или объекта оценки проявляется в случаях, когда:

  • собственник строения при сделке передает покупателю не право собственности, а право аренды или иное имущественное право на земельный участок;
  • имеется или отсутствует запрет на последующую продажу объекта без изменения (или с изменением) прав на земельный участок.


В данном случае поправка может оцениваться путем капитализации изменений платежей за пользование землей. Другие случаи осложнений или запретов можно будет учитывать только на основании сравнительного анализа сделок и экспертных оценок вклада конкретных особенностей обременении.

2. При анализе условий финансирования рассматриваются субъективные договорные условия расчетов по сделке, состоявшейся для объекта-аналога и планируемой для объекта оценки. При этом возможны варианты:

2.1. Продавец кредитует покупателя по части платежа за покупку с условиями, отличающимися от условий на рынке капитала (процент по кредиту ниже рыночного) или предоставляет ему беспроцентную отсрочку платежей.

2.2. Платеж по сделке с объектом-аналогом полностью или частично осуществляется не деньгами, а эквивалентом денежных средств (уменьшается сумма наличных денег, участвующих в сделке), в том числе путем: передачи пакета ценных бумаг, включая закладные; передачи материальных ресурсов.

В этом случае осуществляется оценка рыночной стоимости упомянутого платежного средства и именно сумма, соответствующая этой стоимости (а не сумма, указанная в договоре купли-продажи недвижимости) считается ценой (или соответствующей частью цены) сделки.

3. Группа факторов, именуемая условиями продажи, включает прочие субъективные условия до говора сделки, внешние по отношению к объекту и рассматриваемые в случае их отличия от условий, предусмотренных определением оцениваемого вида стоимости.

3.1. Финансовое давление обстоятельств, связанных с банкротством или реализацией обязательств приводит к вынужденному ускорению совершения сделки, т.е. время экспозиции объекта на рынке заведомо уменьшено по сравнению с рыночным маркетинговым периодом. В этом случае продажа совершается срочно за счет снижения цены.

Учет влияния финансового давления на сделку родственных связей, партнерских и других отношений оказывается возможным лишь на уровне экспертных оценок, опирающихся на анализ реальной ситуации. Чаще всего такие оценки сделать затруднительно и сделки с объектами-аналогами, обремененными такого типа давлением, из рассмотрения исключаются.

3.2. Учет влияния на цены сделок нерыночных соотношений между арендной платой и ценой сделки необходим в случаях, когда покупатель и продавец связаны между собою отношениями купли-продажи и аренды одновременно.

Распространенной является ситуация, когда покупатель дает разрешение продавцу арендовать продаваемые помещения (полностью или частично) в течение длительного времени после продажи. Для снижения налоговых платежей стороны договариваются об одновременном снижении (против рыночных цен) цены купли-продажи и контрактных арендных ставок. Корректировку цены сделки объекта-аналога можно выполнить, исходя из условия, что продавец кредитует покупателя.

К данным элементам сравнения относится также случай продажи объекта-аналога арендодателем арендатору на условиях, предусмотренных опционом, условия которого не соответствуют рыночным условиям на дату продажи.

3.3. Наличие или перспектива получения правительственной или иной субсидии для развития инфраструктуры или возможность льготного кредитования развития объекта могут дополнительно стимулировать покупателей, обеспечивая превышение цены сделки над рыночно обоснованной величиной. Величина поправки может быть оценена, исходя из предположения, что субсидии уменьшат в будущем вклад покупателя в развитие инфрастуктуры на эту величину. Такая оценка осуществляется сравнением конкретных данных о нормах отчисления средств на инфраструктуру в районе расположения объекта оценки и объекта-аналога. При обещании льготного кредитования поправка оценивается, исходя из текущей стоимости разницы между годовыми платежами по льготному и рыночному кредитованию.

4. Условия рынка связаны с изменениями соотношения спроса и предложения, в том числе из-за смены приоритетов по функциональному использованию объектов оцениваемого типа. Эти изменения влияют и па величину отличия цены предложения от цены сделки.

4.1. Условиями рынка определяется изменение цен на недвижимость за промежуток времени от момента совершения сделки с объектом-аналогом до даты оценки. Корректировке подлежат различия в рыночных ценах на объекты недвижимости, имеющие назначение, аналогичное объекту оценки, но переданные ранее от продавца к покупателю в момент, «отстоящий» от момента оценки более чем на один месяц. Приближенная оценка величины поправки на время сделки с объектом-аналогом осуществляется на основе анализа изменения во времени индекса инфляции, цен на строительную продукцию, а также цен сделок с недвижимостью в различных сегментах рынка.

4.2. Если для объекта-аналога известна цена предложения, она корректируется внесением поправки (как правило, в сторону уменьшения), определенной на основе экспертных оценок операторов рынка недвижимости.

5. К факторам местоположения относятся:

5.1. Престижность района расположения объекта, как социальный фактор, характеризуемый сосредоточением в микрорайоне знаменитых пользователей или объектов, в том числе исторических и архитектурных памятников, заповедных зон, других достопримечательностей.

5.2. Удаленность его от центра деловой активности и жизнеобеспечения (ситус), в том числе от административных, общественных, финансовых, торговых, складских комплексов, источников снабжения ресурсами.

5.3. Транспортная и пешеходная доступность объекта, в том числе близость его к основным и вспомогательным транспортным магистралям, к парковкам для автомобилей и к остановкам общественного транспорта.

5.4. Качество ближайшего окружения, в том числе тип застройки и архитектурные особенности строений, близость к рекреационной зоне – лесу, парку, озеру, реке, а также удаленность от источников экологического дискомфорта – свалок, химических и других вредных производств.

Влияние различий всех факторов этой группы на цены сделок с объектами-аналогами и объектами оценки учитывается при корректировке цеп сделок техниками сравнительного анализа на основе рыночных данных.

6. Физическими характеристиками обладают земельный участок и улучшения.

6.1. К характеристикам земельного участка относятся: размер, форма, топографические и геологические параметры, уровень подготовленности (избавления от растительности и неровностей) земельного участка и качество почвенного покрова. При этом из топографических параметров участка важнейшими являются неровности поверхности, наличие склонов, холмов, рвов и скальных образований.

Из геологических параметров наибольшего внимания заслуживают прочностные характеристики (несущая способность) пород земной коры под участком, наличие и режимы проявления грунтовых вод.

Полезны также сведения о возможном залегании полезных ископаемых (как источнике возможных обременении в будущем).

6.2. Из характеристик улучшений основное внимание уделяется размерам здания, включая строительный объем, этажность и номер этажа помещения. Учитываются размеры помещений, в том числе общая площадь всех помещений, площади основных, вспомогательных и технических помещений, высота потолков. Существенное влияние на цены сделок оказывают тип и качество материалов, из которых изготовлены элементы конструкций.

6.3. В состав важных факторов включены: состояние элементов конструкций, потребность в их реконструкции и ремонте, внешний вид строения (архитектурный стиль) и состояние фасада, ориентация входа (во двор или на улицу).

6.4. Кроме характеристик собственно строения, существенными оказываются и характеристики окружения: тип и архитектура окружающей застройки, состояние фасадов строений и благоустроенность территории, загрязненность почвы и воздушной среды.

Корректировки по различиям большинства факторов этой группы осуществляются на основании сравнения цен сделок. Корректировка на различие размеров помещений и строительного объема осуществляется на основе данных о рыночной стоимости единицы площади или единицы объема строения данного типа. Поправки на различия величин площади земельных участков в составе объекта-аналога и объекта оценки определяются на основе данных о рыночной стоимости единицы площади земельного участка. При оценке и внесении поправок к ценам сделок с объектами-аналогами, имеющими размеры, отличные от размеров объекта оценки, полезным будет использование техник корректировки удельных цен.

Поправки, связанные с потребностью в ремонте, рассчитываются по величине издержек на проведение ремонтных работ с добавлением прибыли предпринимателя, рассчитанной по норме отдачи на капитал, вложенный в новое строительство.

7. К экономическим относятся характеристики, которые оказывают влияние на доходность объекта.

7.1. Существенным для экономики и ценности объекта являются возможности экономии ресурсов.

От отношения полезной площади к общей площади помещений зависит характеристика доходности объекта: чем больше это отношение, тем больше отношение дохода к затратам на эксплуатацию объекта и тем меньше доля суммы, подлежащей резервированию на воспроизводство объекта (возврата капитала) в чистом доходе от сдачи объекта в аренду. Корректировка на отличие этой характеристики для объекта-аналога и объекта оценки может быть выполнена капитализацией перерасхода средств на налоги, страховку, эксплуатационные, коммунальные платежи и другие операционные расходы за «избыточные» квадратные метры вспомогательных и технических помещений.

Невозможность контроля (при отсутствии счетчиков расходов) и минимизации потерь тепла и других ресурсов (из-за конструктивных особенностей улучшений) ведет к увеличению коэффициента операционных расходов, а также к уменьшению чистого операционного дохода и стоимости. Потеря стоимости вследствие отсутствия счетчиков может быть оценена как стоимость установки последних.

Потери стоимости из-за недостатков проекта или конструкций, приводящих к различию расходов ресурсов для объекта оценки и объекта-аналога, оцениваются по разнице коэффициентов операционных расходов.

7.2. Использование объекта-аналога до и после продажи может не в полной мере соответствовать принципу наилучшего и наиболее эффективного использования (ННЭИ). Так, например, при выполнении обязательного требования о соответствии этому принципу набора функций, реализуемых на объекте, весьма часто не в полной мере реализуется потенциал объекта для извлечения скользящих или прочих доходов, не используются дополнительные меры стимулирования арендаторов для уменьшения потерь от нсдозагрузки и неплатежей. Это обстоятельство должно учитываться путем корректировки цены сделки с объектом-аналогом рыночно обоснованной поправкой к величине эффективного валового дохода.

8. Наличие или отсутствие необходимых или желательных элементов сервиса, включая дополнительные компоненты, не относящиеся к недвижимости, может оказывать существенное влияние на цену сделки.

8.1. Отсутствие или недостатки телефонных линий, центральной или местной системы отопления, системы газо-, водо- и энергоснабжения, канализационных систем приводит к снижению ценности объекта. При наличии этих недостатков у объекта-аналога цену сделки надлежит корректировать в сторону увеличения. Если эти недостатки присущи объекту оценки, то цена сделки с объектом-аналогом корректируется в сторону уменьшения. При наличии магистральных коммуникаций соответствующего профиля вблизи объекта величина корректировки определяется затратами на подключение к этим коммуникациям с учетом прибыли предпринимателя. При отсутствии магистральных коммуникаций корректировки определяются затратами на создание автономных систем обеспечения объекта ресурсами и удаления отходов (также с учетом прибыли предпринимателя).

8.2. Для реализации большинства доходных функций весьма важным условием является наличие парковки для автотранспорта. При этом эталонным считается вариант, когда минимальное число парковочных мест не меньше максимально возможного. Любое отклонение от требования «эталона» приводит к необходимости соответствующей корректировки цены сделки (как правило, путем капитализации будущих затрат покупателя на постоянную или временную аренду части прилегающих территорий).

8.3. Наличие или отсутствие на объекте технических средств систем безопасности (в достаточном количестве и должного качества), а также договорных отношений с надежной службой безопасности оказывают (за редкими исключениями в нетипичных случаях) влияние на сумму сделки. В этом случае корректировку цены сделки можно выполнить путем добавления (исключения) затрат (с прибылью предпринимателя) на установку (ремонт, замену) оборудования и поиск партнера из числа фирм, специализирующихся на обеспечении безопасности.

8.4. Нередко в цену продажи объекта-аналога включаются предметы собственности, не являющиеся элементами объекта недвижимости: торговле или офисное оборудование, личное имущество собственника или управляющего (первый вариант). Иногда такого рода элементы оказываются в составе недвижимого имущества, являющегося объектом оценки (второй вариант). В таких случаях скорректированная цена сделки (расчетная цена объекта оценки) находится путем уменьшения цены (в первом варианте) или увеличения (во втором варианте) цены сделки с объектом-аналогом на расчет.

Реализация факторов данной группы ведет к увеличению ставки арендной платы. Если эти элементы присущи только объекту-аналогу и не реализуемы для объекта оценки, то ставка арендной платы объекта-аналога подлежит корректировке в сторону уменьшения. Размеры корректировок определяются сравнительным анализом рыночных сделок по договорам аренды, а также оценками дополнительных затрат на приобретение сервисных услуг арендаторами самостоятельно, «на стороне».

Последовательность внесения корректировок осуществляется следующим образом [4]:

  • корректировки с первого по четвертый элемент сравнения осуществляются всегда в указанной очередности, после каждой корректировки цена продажи сравнимого объекта пересчитывается заново (до перехода к последующим корректировкам);
  • последующие (после четвертого элемента сравнения) корректировки могут быть выполнены в любом порядке, после каждой корректировки цена продажи сравнимого объекта заново не пересчитывается.


Единицы сравнения для объекта-аналога и объекта оценки (удельные характеристики) используют в противовес заметному дефициту надежных данных о рыночных сделках.

Выделяют следующие единицы сравнения:

1. для земельного участка без улучшений используются удельные характеристики (удельные цены):

1.1. цена за единицу площади участка:

  • квадратный метр – для участков под застройку в населенном пункте;
  • «сотка» (сотня кв. м) – для участков под садоводство или индивидуальное жилищное строительство вне населенного пункта;
  • гектар (десять тысяч кв. м) – для сельскохозяйственных и лесных угодий;


1.2. цена за единицу длины (погонный метр) границы участка вдоль «красной линии» (транспортной или пешеходной магистрали) – для объектов торгового, складского, производственного назначения, успешность бизнеса которых зависит от доступности объектов для посещения их покупателями и пользователями, для доставки и отправления грузов;

1.3. цена за участок площадью, стандартной для данного типа функционального использования;

2. для земельного участка с улучшениями в качестве удельной характеристики принимается удельная цена единицы измерения количества ценообразующего фактора для компонента собственности, вносящего наибольший вклад в стоимость всего объекта. Если стоимость строения заведомо больше стоимости земельного участка, то в качестве основной единицы сравнения для всего объекта используется удельная цена для строения:

2.1. цена за единицу полезной (арендной, общей) площади строения (кв. м);

2.2. цена за единицу объема строения;

2.3. цена за квартиру или комнату;

2.4. цена за один элемент объекта, приносящий доход (посадочное место в ресторане или театре, место или номер в гостинице);

3. для характеристики удаленности объекта от какой-либо точки «притяжения» целесообразно использовать промежуток времени, в течение которого можно доехать от объекта до этой точки общественным или индивидуальным транспортом (в зависимости от назначения объекта). В этом случае в качестве единицы сравнения можно рассматривать цену единицы измерения упомянутого промежутка времени.

МЕТОД МОДЕЛИРОВАНИЯ РЫНОЧНОГО ЦЕНООБРАЗОВАНИЯ. РЫНОЧНЫЙ (СРАВНИТЕЛЬНЫЙ) ПОДХОД К ОЦЕНКЕ СТОИМОСТИ ОБЪЕКТОВ НЕДВИЖИМОСТИ. ОЦЕНКА НЕДВИЖИМОСТИ В СООТВЕТСТВИИ С МЕЖДУНАРОДНЫМИ СТАНДАРТАМИ.

В рамках сравнительного подхода к оценке недвижимости можно выделить два метода:

  • метод моделирования рыночного ценообразования;
  • метод сравнительного анализа сделок.


Метод моделирования рыночного ценообразования, предусматривает построение линейных или мультипликативных зависимостей соответственно типа (32) или (33) путем статистической обработки достаточно большого массива данных о состоявшихся сделках с объектами сравнения:


или


где P* – рыночная стоимость (равновесная цена); fj – элемент сравнения; fj и fej – количественные характеристики j-гo фактора сравнения соответственно для любого объекта сравнения и для некоторого специально подобранного «эталонного» объекта; pj = Pfj/fj – удельная характеристика ценности фактора единицы измерения, где Pfj – цена j-гo фактора размером fj.

Указанная зависимость предназначается для длительного использования в оценке множества объектов, что требует обеспечения корректировки этой зависимости во времени на основе мониторинга рынка недвижимости. При этом упомянутый набор ценообразующих факторов (элементов сравнения) включает в себя не только факторы, характеризующие сами объекты, но также и факторы, определяющие единую для всех объектов физическую, юридическую, экономическую и социальную среду их функционирования.

Метод моделирования рыночного ценообразования требует весьма больших затрат ресурсов, применяется он лишь в массовой оценке для целей государственного управления (при определении базы налогообложения недвижимости [4] или ставок арендной платы для сдачи в аренду государственного имущества [2]).

Метод сравнительного анализа сделок опирается на анализ цен небольшого числа рыночных сделок с объектами сравнения, отобранными по признаку наибольшей близости к объекту оценки не только набором (как в методе моделирования рыночного ценообразования), но и величинами характеристик ценообразующих факторов. При этом объекты сравнения называются также объектами-аналогами и отбираются для анализа из числа объектов, имеющих функциональное назначение, аналогичное назначению объекта оценки и соответствующее принципу наилучшего и наиболее эффективного использования данного типа объектов недвижимости.

Реализация метода сравнительного анализа сделок предполагает следующую последовательность этапов:

  • анализ рыночной ситуации по объектам недвижимости рассматриваемого типа, региону и выбор информационного массива для реализации последующих этапов;
  • определение единиц сравнения и показателей (элементов сравнения), существенно влияющих на стоимость рассматриваемого объекта недвижимости;
  • разработка модели, которая связывает единицы сравнения с показателями (элементами) сравнения;
  • расчет корректировок показателей (элементов сравнения) по данным рынка;
  • применение модели к объектам сравнения для расчета скорректированных цен продаж объектов сравнения;
  • анализ скорректированных цен продаж объектов сравнения для определения стоимости оцениваемого объекта.


При реализации данного метода используют процентные и стоимостные поправки.

Процентные (относительные) поправки вносятся путем умножения цены продажи объекта-аналога или его единицы сравнения на коэффициент, отражающий степень различий в характеристиках объекта-аналога и оцениваемого объекта. Если оцениваемый объект лучше сопоставимого аналога, то к цене последнего вносится повышающий коэффициент, если хуже – понижающий.

Стоимостные (абсолютные) поправки изменяют цену проданного объекта-аналога на определенную сумму, в которую оценивается различие в характеристиках объекта-аналога и оцениваемого объекта. Положительная поправка вносится, если оцениваемый объект лучше сопоставимого аналога, отрицательная, если хуже.

Итоговые значения скорректированных цен продаж сравнимых объектов могут не совпадать. В связи с этим выбор значения скорректированной цены продажи в качестве базиса для определения рыночной стоимости оцениваемого объекта недвижимости основан на выборе итоговой скорректированной цены продажи сравнимого объекта (либо объектов), по которому абсолютное итоговое значение корректировок минимально или число корректировок минимально. Это правило исходит из теоретической предпосылки адекватности цены продажи наиболее подобного сравнимого объекта (по всем рассматриваемым характеристикам) рыночной стоимости оцениваемого объекта.

Метод сравнительного анализа продаж реализуется двумя группами техник, различающихся инструментами анализа и способами «приведения» цен сделок с объектами-аналогами к цене объекта оценки:

  • техники количественного анализа;
  • техники качественного анализа


Техники количественного анализа:

  • техники компенсационных корректировок цен;
  • техники факторного анализа.


Техники компенсационных корректировок цен предусматривают внесение поправки в цену сделки с объектом-аналогом, обладающим некоторым недостатком в сравнении с объектом оценки. При этом поправка считается равной расчетной прибавке к этой цене, обеспечивающей «компенсацию» упомянутого недостатка объекта-аналога.

Рассмотрим несколько вариантов реализации этих техник, опираясь на техники доходного подхода к оценке стоимости.

Корректировка цен в связи с обременением объекта-аналога или объекта оценки договором аренды рассчитывается на основе определения упущенной (дополнительной) выгоды от продажи объекта недвижимости в соответствии с заниженной (завышенной) контрактной арендной платой, а также при необходимости уровнем потерь от недогрузки и неплатежей.

Пример 19. Определить величину скорректированной цены проданного относительно оцениваемого склада, если известно что: юрисдикция проданного склада – полное право собственности, обремененное договором аренды (объект полностью сдан до продажи в долгосрочную аренду на 5 лет, сумма контрактов составляет 1 200 тыс. руб.; площадь проданного склада – 4000 м2; цена реализации проданного склада – 1 000 тыс. руб.; площадь оцениваемого склада – 3000 м2; юрисдикция оцениваемого склада – полное право собственности; анализ местного рынка недвижимости выявил следующие показатели: рыночную арендная плату составляет 125 руб. за 1 м2, ставка дисконтирования – 25%

Решение:

В качестве единицы сравнения объектов примем цену за 1 м2 складского помещения;

1. Определим величину контрактной арендной платы за 1 м2 складского помещения:

тыс. руб./м2,

где 0,37185 – взнос на амортизацию одной денежной единицы (см. таблицы сложных процентов)

2. Определим величину упущенной выгоды на 1 м2 складского помещения от продажи склада в соответствии с заниженной расчетной (контрактной) арендной платой:

тыс. руб. /м2,

где 2,68928 – коэффициент текущей стоимости единичного аннуитета.

Таким образом, величина корректировки цены продажи склада составляет 35 руб. на 1 м2 складского помещения.

3. Определим величину скорректированной цены проданного склада относительно оцениваемого:

тыс. руб.

Корректировка цен в связи с различными условиями финансовыхрасчетов при приобретении объекта-аналога или объекта оценки аренды рассчитывается на основе определения платы за кредит, полученным покупателем у финансовой структуры, или на основе дисконтирования денежных потоков ипотечного кредита, полученным покупателем у продавца, при рыночной норме процента.

Пример 20. Определить величину скорректированной цены проданного относительно оцениваемого объекта недвижимости, если известно что: цена реализации проданного объекта – 500 тыс. руб.; вариант финансового расчета по проданному объекту – 200 тыс. руб. покупатель выплатил продавцу на дату регистрации сделки, а остальные 300 тыс. руб. согласно договору между покупателем и продавцом оформлены как ипотечный кредит, полученный покупателем от продавца на 10 лет при ставке 10% годовых на условиях ежемесячного погашения задолженности; площадь проданного и оцениваемого объекта – 1000 м2; вариант финансового расчета по оцениваемому объекту – расчет покупателя с продавцом производится за счет собственных средств и на дату продажи; анализ финансового рынка на дату продажи показал рыночную ставку процента, равную 15.

Решение:

1. Определим ежемесячный платеж по предоставленному покупателю проданного объекта ипотечному кредиту:

тыс. руб.,

где 0,01321 – взнос на амортизацию одной денежной единицы на срок 10 лет при ставке 10% годовых при ежемесячных платежах (см. таблицы сложных процентов)

2. Определим текущую стоимость всех ежемесячных платежей при рыночной норме процента:

тыс. руб.,

где 61,9829 – коэффициент текущей стоимости единичного аннуитета при ставке 15% годовых на срок 10 лет при ежемесячных платежах (см. таблицы сложных процентов)

3. Определим величину скорректированной цены проданного объекта относительно оцениваемого:

тыс. руб.

Таким образом, величина корректировки цены продажи объекта составляет 54,3 тыс. руб.

Уровень этой корректировки цены продажи предопределяется занижением договорной ставки процента (10%) относительно рыночной ставки дисконтирования (15%).

Корректировка цен в связи с различным временем совершения сделки купли-продажи рассчитывается на основе выявления тенденции изменения стоимости недвижимости либо с помощью индексов, отражающих стоимость строительной продукции, либо с помощью хронологической статистики, показывающей прямую динамику изменения цен на недвижимость.

Пример 21. Определить величину скорректированной цены проданного относительно оцениваемого объекта недвижимости, если известно что: цена реализации проданного объекта – 700 тыс. руб.; время сделки по проданному объекту – 7 месяцев до даты оценки; площадь проданного и оцениваемого объекта – 1000 м2; анализ рынка недвижимости показал устойчивую тенденцию роста цен на данный тип недвижимости на 0.5% ежемесячно.

Решение:

1. Определим относительную величину корректировки на время продажи:

%

2. Определим величину скорректированной цены проданного объекта относительно оцениваемого:

тыс. руб.

Таким образом, величина корректировки цены продажи объекта составляет 24,6 тыс. руб.







Date: 2015-05-05; view: 1278; Нарушение авторских прав



mydocx.ru - 2015-2026 year. (0.745 sec.) Все материалы представленные на сайте исключительно с целью ознакомления читателями и не преследуют коммерческих целей или нарушение авторских прав - Пожаловаться на публикацию