Главная Случайная страница


Полезное:

Как сделать разговор полезным и приятным Как сделать объемную звезду своими руками Как сделать то, что делать не хочется? Как сделать погремушку Как сделать так чтобы женщины сами знакомились с вами Как сделать идею коммерческой Как сделать хорошую растяжку ног? Как сделать наш разум здоровым? Как сделать, чтобы люди обманывали меньше Вопрос 4. Как сделать так, чтобы вас уважали и ценили? Как сделать лучше себе и другим людям Как сделать свидание интересным?


Категории:

АрхитектураАстрономияБиологияГеографияГеологияИнформатикаИскусствоИсторияКулинарияКультураМаркетингМатематикаМедицинаМенеджментОхрана трудаПравоПроизводствоПсихологияРелигияСоциологияСпортТехникаФизикаФилософияХимияЭкологияЭкономикаЭлектроника






Решение. Кафедра высшей математики





Кафедра высшей математики

 

 

РАСЧЕТНАЯ РАБОТА № 1

Дисциплина: МАТЕМАТИКА. Часть 1. Алгебра

Модуль 1: Алгебра: определители, матрицы, системы (1 зачетная единица)

 

Студент: Сарайкин М.А

Группа: ЭНЗ-140051ду

Преподаватель: Магамедова Р.С

Вариант: №3

 

Асбест

 

Вариант 3

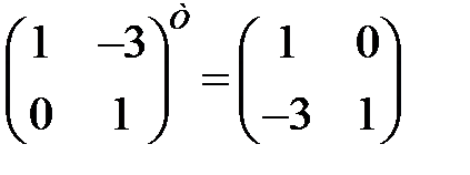
1. Вычислите:

а) .

б) .

Решение

а)

.

.

б)

.

.

.

.

2. Вычислите определитель

А) методом понижения порядка, б) методом приведения к треугольному виду.

Решение

а)

.

б)

665.

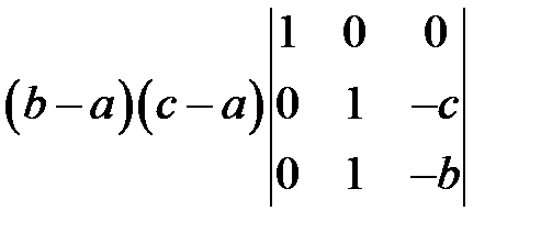
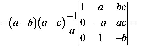
3. Используя свойства определителя, докажите тождество:

.

Решение

Умножим 2 и 3 строки на .

Заменим 2 и 3 строки их суммами с 1 – й.

Разделим 2 строку на и 3 строку на .

Умножим 2 строку на

Заменим 1 строку её суммой со 2 – й, а вторую разделим на .

1 столбец умножим на

3 столбец заменим суммой с 1 – м.

Й столбец запишем в предыдущем виде.

.

4. Найдите матрицу, обратную для матрицы

А) методом Гаусса, б) методом присоединенной матрицы

Решение







Date: 2015-06-08; view: 636; Нарушение авторских прав



mydocx.ru - 2015-2026 year. (2.504 sec.) Все материалы представленные на сайте исключительно с целью ознакомления читателями и не преследуют коммерческих целей или нарушение авторских прав - Пожаловаться на публикацию