Главная Случайная страница


Полезное:

Как сделать разговор полезным и приятным Как сделать объемную звезду своими руками Как сделать то, что делать не хочется? Как сделать погремушку Как сделать так чтобы женщины сами знакомились с вами Как сделать идею коммерческой Как сделать хорошую растяжку ног? Как сделать наш разум здоровым? Как сделать, чтобы люди обманывали меньше Вопрос 4. Как сделать так, чтобы вас уважали и ценили? Как сделать лучше себе и другим людям Как сделать свидание интересным?


Категории:

АрхитектураАстрономияБиологияГеографияГеологияИнформатикаИскусствоИсторияКулинарияКультураМаркетингМатематикаМедицинаМенеджментОхрана трудаПравоПроизводствоПсихологияРелигияСоциологияСпортТехникаФизикаФилософияХимияЭкологияЭкономикаЭлектроника






Теория радиоактивного распада






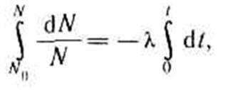
стро­ится на предположении о том, что радио­активный распад является спонтанным процессом, подчиняющимся законам ста­тистики. Поскольку отдельные радиоак­тивные ядра распадаются независимо друг от друга, можно считать, что число ядер dN распавшихся в среднем за интер­вал времени от t до t+dt, пропорциональ­но промежутку времени dt и числу N не­распавшихся ядер к моменту времени t:

dN=-lNdt,

Где l — постоянная для данного радио­активного вещества величина, называемая постоянной радиоактивного распада; знак минус указывает, что общее число радио­активных ядер в процессе распада умень­шается.

Разделив переменные и интегрируя, т. е.


где N0 — начальное число нераспавшихся ядер (в момент времени t=0), N — число нераспавшихся ядер в момент времени t. Формула (256.2) выражает закон радио­активного распада, согласно которому число нераспавшихся ядер убывает со вре­менем по экспоненте.

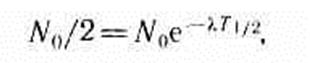
Период полураспада T1/2 — время, за которое ис­ходное число радиоактивных, ядер в среднем уменьшается вдвое. Тогда,







Date: 2015-05-04; view: 570; Нарушение авторских прав



mydocx.ru - 2015-2026 year. (1.018 sec.) Все материалы представленные на сайте исключительно с целью ознакомления читателями и не преследуют коммерческих целей или нарушение авторских прав - Пожаловаться на публикацию