Главная Случайная страница


Полезное:

Как сделать разговор полезным и приятным Как сделать объемную звезду своими руками Как сделать то, что делать не хочется? Как сделать погремушку Как сделать так чтобы женщины сами знакомились с вами Как сделать идею коммерческой Как сделать хорошую растяжку ног? Как сделать наш разум здоровым? Как сделать, чтобы люди обманывали меньше Вопрос 4. Как сделать так, чтобы вас уважали и ценили? Как сделать лучше себе и другим людям Как сделать свидание интересным?


Категории:

АрхитектураАстрономияБиологияГеографияГеологияИнформатикаИскусствоИсторияКулинарияКультураМаркетингМатематикаМедицинаМенеджментОхрана трудаПравоПроизводствоПсихологияРелигияСоциологияСпортТехникаФизикаФилософияХимияЭкологияЭкономикаЭлектроника






Технологические схемы строительства трубопроводов в нормальных условиях





Строительство трубопровода на равнинной местности (группа 1), сложенной плотными грунтами, осуществляется наиболее про­сто по сравнению со строительством на местности остальных групп. Особенностью линейной технологии на равнинах явля­ется то, что все виды работ по строительству трубопровода вы­полняются строительными подразделениями, перемещающимися вдоль трассы трубопровода, в определенной последовательно­сти. Для отдельных видов работ, являющихся обязательным зве­ном в цепи последовательно выполняемых работ (составляю­щих в целом процесс линейного строительства), применяются следующие наименования этих подразделений: изоляционно-укладочная колонна, землеройная колонна, сварочно-монтажная бригада, бригада (колонна) подготовки- трассы, бригада (колонна) опережающей подготовки переходов и т. д.

Технологическая последовательность и взаимосвязь отдель­ных операций линейного строительства изображена на рис. 8.1.

Рытье траншей и сварка труб в нитку могут выполняться как параллельно, так и последовательно (рытье траншеи опе­режает сварку труб в нитку, или наоборот). Остальные опера­ции выполняются последовательно вплоть до получения гото­вого к эксплуатации трубопровода с электрохимической защи­той, которая может сооружаться как в процессе основного ли­нейного строительства, так и до его начала. Часто электрохими­ческую защиту сооружают после окончания всех видов работ. Это недопустимо, так как при отсутствии электрохимической защиты в первое после сдачи в эксплуатацию время начинают интенсивно образовываться очаги коррозии, которые продол­жают действовать даже после устройства электрохимической защиты.

Рассмотрим основные элементы линейной технологии строи­тельства.

. Подготовка трассы

Под подготовкой трассы понимается приведение ее в такое со­стояние, при котором возможно осуществление всех остальных технологических операций. Подготовка проводится вдоль всей трассы в полосе, ширина которой нормируется строительными нормами СН 452—73 (табл. 8.1).

Следует иметь в виду, что данные таблицы характери­зуют предельную ширину полосы отвода земель для строи­тельства.

При подготовке трассы к работе основных строительных под­разделений наиболее важными являются три вида работ — вы­рубка леса, если он имеется в полосе отвода, создание началь­ного профиля трассы и устройство проезда вдоль трассы. Под начальным профилем трассы понимается поверхность грунта вдоль трассы, спланированная таким образом, что по ней могут безостановочно двигаться основные


строительные подразделе­ния. На рис. 8.2 показаны естественный профиль /, начальный профиль 2 и профиль трубопровода 3. Объем земляных работ при начальном профилировании на некоторых участках трассы может быть большим, чем при рытье траншей. Это наглядно можно видеть из рис. 8.2 (сечение АА), где приходится сре­зать значительно больший объем грунта, чем при рытье тран­шеи.

Рытье траншей экскаваторами

Рытье траншей производится роторными или ковшовыми экска­ваторами периодического действия. В плотных грунтах наибо­лее эффективны роторные экскаваторы, производительность ко­торых составляет П = 60qnkpkнkв, где q — объем одного ковша; п — число ковшей, разгружающихся в минуту; kp — коэффи­циент рыхления,

 

 

принимаемый равным 0,65 — для тяжелой глины, 0,75 — для суглинка, 0,9 — для супеси; kH — коэффициент наполнения ковша, принимаемый равным 0,7 — для глин, 0,8 — для суглинка, 0,9 — для супеси; kв—коэффициент использова­ния рабочего времени (0,6—0,8).

Производительность одноковшовых экскаваторов определя­ется по аналогичной формуле: n = 60qnkпkэ, где п — число цик­лов копания в минуту; &„ = 0,95 — коэффициент потерь времени на передвижение; ka —коэффициент организационных потерь времени при эксплуатации экскаватора.

Траншея, подготовленная роторным экскаватором (рис. 8.3), имеет ровно спланированное дно, что исключает сосредоточен­ные участки давления на изоляцию трубы и способствует луч­шему сохранению изоляции при укладке трубопровода.

Монтаж и сварка трубопровода

Сварка трубопровода вдоль трассы может выполняться как до рытья траншеи, так и вслед за рытьем. Трубопровод в условиях равнинной местности монтируется из секций, состоящих из двух—четырех труб, свариваемых на трубосварочных базах (ТСБ) (рис. 8.4) и доставляемых к месту монтажа плетевозами. Сборка трубопровода из одиночных труб осуществляется в ис­ключительных случаях, когда по каким-либо обоснованным при­чинам доставка секций труб к месту работ невозможна.


Рассмотрим процесс сборки и сварки трубопровода.

Схема 1 (рис. 8.5). Трубопровод наращивается из отдельных двух-, трех- или четырехтрубных секций диаметром 1220— 1420 мм. Стыки свариваются ручной электродуговой сваркой. Весь технологический процесс выполняется движущейся сварочно-монтажной бригадой на участке длиной 300—350 м (8— 9 секций). Как видно из рисунка, бригада ведет работу одно­временно на девяти стыках. На первом стыке выполняются за­чистка кромок и строповка, на втором — центровка, подогрев стыка газовыми горелками, сварка корневого слоя (рис. 8.6), на третьем — шлифовка и горячий проход, на четвертом—восьмом стыках — зачистка и сварка заполняющих слоев (рис. 8.7), на девятом — сварка облицовочного слоя. Циклограмма этих работ изображена на рис. 8.8, где обозначены: / — сварка облицовоч­ного слоя; 2 — сварка заполняющих слоев; 3 — зачистка швов; 4 —горячий проход; 5 —шлифовка стыка; 6 — сварка корне­вого слоя; 7—подогрев стыка газовыми горелками; 8 — цент­ровка; 9 — строповка секций и зачистка кромок труб. Время переходов на рисунке показано штриховкой. Эта технология требует тщательной координации действий всех членов бригады, состоящей из 35—40 человек, в том числе 17—18 сварщиков. Широкое применение описанной технологии





 

 

на производстве показало ее высокую эффективность. Скорость наращивания тру­бопровода за смену достигает 3 км при средней норме 1,5— 2,5 км в зависимости от условий строительства. На рис. 8.5,6 показан модифицированный вариант схемы 8.5, а, применяемый в одной из бригад Главсибтрубопроводстроя. В бригаде занято 32 электросварщика, 4 монтажника, 4 машиниста-трубоуклад­чика, 8 машинистов-дизелистов, 2 бульдозериста. Расстановка специалистов и машин понятна из рис. 8.5,6. Трактором // тран­спортируется вагон-домик с выпрямителями и реостатами 12; на базе К-701 (8 и 9) установлены сварочные агрегаты (к трак­тору 9 прицеплена емкость для горючего 10). В один блок объ­единены бытовые помещения 7, оборудование для подогрева стыков 5, электростанция 4. В пристыковываемой секции нахо­дится центратор 3. Тракторами-трубоукладчиками / и бульдо­зером 2 транспортируют и пристыковывают секции наращивае­мого трубопровода. Группировка сварщиков 6 ясна из ри­сунка.

Схема 2. Трубопровод наращивается из секций методом кон­тактной сварки с помощью оборудования «Север-1» и по техно­логии, разработанной Институтом электросварки им. Е. О. Па-тона. В трубопровод вводится устройство, центрирующее и устанавливающее в необходимое положение стыкуемую секцию труб. Момент введения этого устройства показан на рис. 8.9. Затем на устройство с удлинителем для подключения системы энергоснабжения и приборов автоматического управления и контроля за ходом процесса сварки стыка надвигается секция труб и к внутреннему устройству подключается система энерго­питания и контроля (рис. 8.10). Далее секция автоматически пристыковывается к трубопроводу (рис. 8.11), стык снаружи закрывается кожухом и разогревается, затем осуществляется контактная сварка с надвижкой секции на трубопровод и

механическая обработка стыка внутри и снаружи (очистка его от наплывов шлака, металла и т. п.). Весь процесс от момента окончания сварки предыдущего стыка до оконча-ния сварки по следующего продолжается не более 15 мин. В составе сварочно-монтажной бригады заняты 2 трубо-укладчика, энергоустановка и контрольно-измерительная ла-боратория. Численный состав бригады—8 человек (вмес-то 40 человек при ручной сварке), сменная производите-льность—1000—1500 м трубо-про­вода.


Изоляционно-укладочные работы

Применяют 3 схемы изоля-ционно-укладочных работ: схема изо­ляции стыков и укладки из труб с заводской

 

 

 

 

 

изоляцией; раз­дельная схема изоляции и укладки и совмещенная схема изоляции и укладки. Общим для всгх схем является перемещение трубопровода, находящегося на бровке траншеи, с помощью трубоукладчиков на дно траншеи. При этом трубопровод изги­бается как в вертикальном, так и в горизонтальном направле­ниях (рис. 8.12). Напряженное состояние труб должно быть при этом таким, чтобы в них имели место только упругие дефор­мации. Рассмотрим две наиболее характерные схемы укладки трубопровода: с подъемом труб на одном уровне (рис. 8.13, а) и с подъемом труб на разных уровнях (рис. 8.13,6).

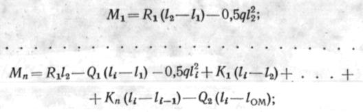
Для участка l1 можно записать EIy"=R1x—qx2/2, где q — распределенная нагрузка от массы труб. Учитывая граничные условия, получаем R1 = 6EIh1//l13 + ql1/4. Далее возможны два ва­рианта решения.

Первый вариант. При изгибе необходимо обеспечить равен­ство изгибающих моментов во всех сечениях, где трубопровод поддерживается трубоукладчиками, М12=...=Мп. Для этого случая имеем условие

все обозначения понятны из рис. 8.13.

 

Второй вариант. Необходимо обеспечить равенство усилий на крюках трубоукладчиков (K1 = К2 =... < Kдоп). Определив М2 в сечении /2 при известном /Сь продолжаем решение и находим М3 и т. д. Если какой-либо момент окажется больше предель­ного, то изменяют высоту подъема труб или расстановку тру­боукладчиков, сближая их. Величина K принимается по техни­ческой характеристике трубоукладчика при заданном вылете стрелы.

Рассмотрим далее особенности каждой технологической схемы. При укладке трубопровода из изолированных труб необ­ходимо сначала поднять трубы в вертикальной плоскости, вы­полнить изоляцию стыков, а затем опустить в траншею. Все операции подъема производятся с помощью мягких полотенец-захватов во избежание повреждения изоляции.


Работы по укладке выполняются совмещенным методом спе­циальной изоляционно-укладочной колонной (рис. 8.14). Подъем и перемещение трубопровода осуществляются с помощью опор-троллеев, а очистка и изоляция производятся в процессе движе­ния колонны. Возможные схемы расстановки трубоукладчиков, очистной и изоляционной машин изображены на рис. 8.15.

Засыпка трубопровода

Траншея с уложенным в нее трубопроводом засыпается грун­том, как правило, бульдозерами (рис. 8.16). При этом грунт не должен содержать крупных комков, особенно в зимний пе­риод. Если такого грунта нет, то для присыпки труб необходимо привезти мягкий грунт или измельчить имеющийся. Засыпка изолированных и незащищенных труб скальным грунтом не до­пускается. Особое внимание должно быть уделено рекультивации сельскохозяйственных земель. Почвенный слой, убранный перед началом работ со строительной полосы, должен быть воз­вращен на прежнее место и тщательно спланирован.


 


Глава 9







Date: 2015-06-07; view: 2928; Нарушение авторских прав



mydocx.ru - 2015-2026 year. (1.832 sec.) Все материалы представленные на сайте исключительно с целью ознакомления читателями и не преследуют коммерческих целей или нарушение авторских прав - Пожаловаться на публикацию