Главная Случайная страница


Полезное:

Как сделать разговор полезным и приятным Как сделать объемную звезду своими руками Как сделать то, что делать не хочется? Как сделать погремушку Как сделать так чтобы женщины сами знакомились с вами Как сделать идею коммерческой Как сделать хорошую растяжку ног? Как сделать наш разум здоровым? Как сделать, чтобы люди обманывали меньше Вопрос 4. Как сделать так, чтобы вас уважали и ценили? Как сделать лучше себе и другим людям Как сделать свидание интересным?


Категории:

АрхитектураАстрономияБиологияГеографияГеологияИнформатикаИскусствоИсторияКулинарияКультураМаркетингМатематикаМедицинаМенеджментОхрана трудаПравоПроизводствоПсихологияРелигияСоциологияСпортТехникаФизикаФилософияХимияЭкологияЭкономикаЭлектроника






Прості проценти та особливості їх застосування при нарахуванні процентів на депозитні вклади





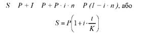
При використанні простих процентів сума процентів протягом всього терміну депозитного вкладу визначається на основі базової суми боргу незалежно від кількості періодів нарахування та їх тривалості і визначається за формулою:

де: 5 - загальна сума боргу перед вкладником; Р - базова сума; I - сума нарахованих процентів.

Сума нарахованих процентів визначається за формулою:

де: і - проста ставка процентів; п - тривалість вкладу в роках.

Якщо термін зберігання вкладу виражається у днях, то у формулу (1.2.) необхідно підставити наступний вираз:

де: і - тривалість вкладу в днях; К - кількість днів у році.

У банківській практиці різних країн термін у днях і розрахункова кількість днів у році при нарахуванні процентів визначаються по-різному:

- за спрощеним методом розрахунок числа днів ґрунтується на тривалості року 360 днів та кожного місяця - 30 днів;

- за методом факт/360 тривалість року приймається за 360 днів, а кількість днів у місяцях береться за їх фактичною календарною тривалістю (28, 29, 30 та 31 день відповідно);

- за точним методом застосовується точна тривалість року (365 або 366 днів) та, відповідно, точна тривалість усіх місяців.

Якщо у формулу (1.1.) підставити розшифровку суми нарахованих процентів І, що розраховуються за формулою (1.2.), то сума боргу з нарахованими процентами буде визначатися за формулою (1.4.)

На основі формули (1.4.) за інших відомих умов визначити: а) термін вкладу в роках:

б) необхідно ставку простих процентів за інших відомих умов:

в) базову суму вкладу за інших відомих умов:

Приклад 5.

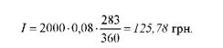
Вклад у розмірі 2000 грн. покладено в банк 12.03. поточного року і запитано 25.12 поточного року, ставка процентів банку за депозитами дорівнює 8 % річних. Визначити суму нарахованих процентів, використовуючи германський, французький та англійський методи їх нарахування.

Розв'язок:

Для рішення задачі використовується формула (1.2.): 1) якщо використовується германський метод, то розрахункова кількість днів зберігання вкладу складе:

а сума нарахованих процентів, відповідно:

2) якщо використовується французький метод, то розрахункова кількість днів зберігання вкладу складе:

г= (31-12+1) + 30 + 31+ 30 + 31 + 31 + 30 + 31 + 30 + +(25-1) = 288 днів, а сума нарахованих процентів:

3) якщо використовується англійський метод (уточнений), то розрахункова кількість днів зберігання вкладу складе:

і = (31-12+1) + 30 + 31+ 30 + 31 + 31 + 30 + 31 + 30 + +(25-1) = 288 днів, а сума нарахованих процентів:

Приклад 6.

Вкладник збирається покласти в банк 5000 грн. з метою накопичити 5500 грн. Ставка депозитних процентів банку - 12 % річних. Визначити термін вкладу у днях, за який вкладник зможе накопичити необхідну суму, якщо К = 365.

Розв'язок:

У розрахунках використовується формула (1.6):

Приклад 7.

Вкладник збирається покласти в банк 3000 грн., щоб через 100 днів накопичити 3100 грн. Визначити необхідну просту ставку проценту, якщо К= 365 днів.

Розв'язок:

У розрахунках використовується формула (1.7.):

Приклад 8.

Вкладник збирається покласти в банк кошти з метою накопичення за рік 5500 грн. Банк нараховує проценти за депозитами за ставкою 15 % річних. Визначити необхідну суму вкладу за рік.

Розв'язок

У розрахунках використовується формула(1.8):







Date: 2015-06-07; view: 812; Нарушение авторских прав



mydocx.ru - 2015-2026 year. (0.464 sec.) Все материалы представленные на сайте исключительно с целью ознакомления читателями и не преследуют коммерческих целей или нарушение авторских прав - Пожаловаться на публикацию