Главная Случайная страница


Полезное:

Как сделать разговор полезным и приятным Как сделать объемную звезду своими руками Как сделать то, что делать не хочется? Как сделать погремушку Как сделать так чтобы женщины сами знакомились с вами Как сделать идею коммерческой Как сделать хорошую растяжку ног? Как сделать наш разум здоровым? Как сделать, чтобы люди обманывали меньше Вопрос 4. Как сделать так, чтобы вас уважали и ценили? Как сделать лучше себе и другим людям Как сделать свидание интересным?


Категории:

АрхитектураАстрономияБиологияГеографияГеологияИнформатикаИскусствоИсторияКулинарияКультураМаркетингМатематикаМедицинаМенеджментОхрана трудаПравоПроизводствоПсихологияРелигияСоциологияСпортТехникаФизикаФилософияХимияЭкологияЭкономикаЭлектроника






Симплекс-метод





Решение любой задачи линейного программирования можно найти симплексным методом. Прежде чем применять указанный метод, следует записать исходную задачу в форме основной задачи линейного программирования, если она не имеет такой формы записи.

Симплексный метод решения задачи линейного программирования основан на переходе от одного опорного плана к другому, при котором значение целевой функции возрастает (при условии, что данная задача имеет оптимальный план и каждый ее опорный план является невырожденным). Указанный переход возможен, если известен какой-нибудь исходный опорный план. Рассмотрим задачу, для которой этот план можно непосредственно записать.

Пусть требуется найти максимальное значение функции

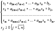
при условиях

Здесь и – заданные постоянные числа

Векторная форма данной задачи имеет следующий вид: найти максимум функции

(22)

при условиях

(23)

(24)

где

Так как

то по определению опорного плана является опорным планом данной задачи (последние компонент вектора Х равны нулю). Этот план определяется системой единичных векторов которые образуют базис m- мерного пространства. Поэтому каждый из векторов а также вектор могут быть представлены в виде линейной комбинации векторов данного базиса. Пусть

Положим Так как векторы единичные, то и а







Date: 2015-06-06; view: 1091; Нарушение авторских прав



mydocx.ru - 2015-2026 year. (1.892 sec.) Все материалы представленные на сайте исключительно с целью ознакомления читателями и не преследуют коммерческих целей или нарушение авторских прав - Пожаловаться на публикацию