Главная Случайная страница


Полезное:

Как сделать разговор полезным и приятным Как сделать объемную звезду своими руками Как сделать то, что делать не хочется? Как сделать погремушку Как сделать так чтобы женщины сами знакомились с вами Как сделать идею коммерческой Как сделать хорошую растяжку ног? Как сделать наш разум здоровым? Как сделать, чтобы люди обманывали меньше Вопрос 4. Как сделать так, чтобы вас уважали и ценили? Как сделать лучше себе и другим людям Как сделать свидание интересным?


Категории:

АрхитектураАстрономияБиологияГеографияГеологияИнформатикаИскусствоИсторияКулинарияКультураМаркетингМатематикаМедицинаМенеджментОхрана трудаПравоПроизводствоПсихологияРелигияСоциологияСпортТехникаФизикаФилософияХимияЭкологияЭкономикаЭлектроника






Вывод основных законов электрического тока в классической теории электропроводности металлов





1. Закон Ома. Пусть в металлическом проводнике существует электрическое по­ле напряженностью Е= const. Co стороны поля заряд е испытывает действие силы F=eE и приобретает ускорение а=F/m=еЕ/т. Таким образом, во время сво­бодного пробега электроны движутся рав­ноускоренно, приобретая к концу свобод­ного пробега скорость

vmax= еE<t>.

где < t >—среднее время между двумя последовательными соударениями элек­трона с ионами решетки.

Согласно теории Друде, в конце сво­бодного пробега электрон, сталкиваясь с ионами решетки, отдает им накопленную в поле энергию, поэтому скорость его упо­рядоченного движения становится равной нулю. Следовательно, средняя скорость направленного движения электрона

<v>=(vmax+0)/2= eE<t>/(2m). (103.1)

Классическая теория металлов не учи­тывает распределения электронов по ско­ростям, поэтому среднее время < t > сво­бодного пробега определяется средней длиной свободного пробега < l > и средней скоростью движения электронов относи­тельно кристаллической решетки провод­ника, равной <u>+(v) (< u > средняя скорость теплового движения электронов). В §102 было показано, что (v)<< <u>, поэтому

<t>=< l >/<u>.

Подставив значение < t > в формулу (103.1), получим

<v>=eE< l >/(2m<u>).

Плотность тока в металлическом провод­нике, по (96.1),

откуда видно, что плотность тока пропор­циональна напряженности поля,

 

 

т. е. получили закон Ома в дифференци­альной форме (ср. с (98.4)). Коэффициент пропорциональности между j и Е есть не что иное, как удельная проводимость ма­териала

которая тем больше, чем больше концен­трация свободных электронов и средняя длина их свободного пробега.

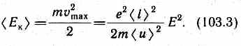
2. Закон Джоуля — Ленца. К концу свободного пробега электрон под действи­ем поля приобретает дополнительную ки­нетическую энергию

При соударении электрона с ионом эта энергия полностью передается решетке и идет на увеличение внутренней энергии металла, т. е. на его нагревание.

За единицу времени электрон испыты­вает с узлами решетки в среднем <z> столкновений:

<z>=<u>/<l>. (103.4)

Если n — концентрация электронов, то в единицу времени происходит n<z> стол­кновений и решетке передается энергия

w = n < z >< E к>, (103.5)

которая идет на нагревание проводника. Подставив (103.3) и (103.4) в (103.5), получим таким образом энергию, переда­ваемую решетке в единице объема провод­ника за единицу времени,

Величина w называется удельной тепловой мощностью тока (см. §99). Коэффициент пропорциональности между w и Е 2 по (103.2) есть удельная проводимость g; сле­довательно, выражение (103.6) —закон Джоуля — Ленца в дифференциальной форме (ср. с (99.7)).

3. Закон Видемана — Франца. Метал­лы обладают как большой электропровод­ностью, так и высокой теплопроводностью. Это объясняется тем, что носителями тока и теплоты в металлах являются одни и те же частицы — свободные электроны, кото­рые, перемещаясь в металле, переносят не только электрический заряд, но и прису­щую им энергию хаотического теплового движения, т. е. осуществляют перенос теплоты.

Видеманом и Францем в 1853 г. экспе­риментально установлен закон, согласно которому отношение теплопроводности (l) к удельной проводимости (g) для всех металлов при одной и той же температуре одинаково и увеличивается пропорцио­нально термодинамической температуре:

l/g=bT,

где b — постоянная, не зависящая от рода металла.

Элементарная классическая теория электропроводности металлов позволила найти значение b: b=3(k/e)2, где k — пос­тоянная Больцмана. Это значение хорошо согласуется с опытными данными. Однако, как оказалось впоследствии, это согласие теоретического значения с опытным слу­чайно. Лоренц, применив к электронному газу статистику Максвелла — Больцмана, учтя тем самым распределение электронов по скоростям, получил b = 2 (k/e) 2, что привело к резкому расхождению теории с опытом.

Таким образом, классическая теория электропроводности металлов объяснила законы Ома и Джоуля — Ленца, а также дала качественное объяснение закона Ви­демана — Франца. Однако она помимо рассмотренных противоречий в законе Ви­демана — Франца столкнулась еще с ря­дом трудностей при объяснении различных опытных данных. Рассмотрим некоторые из них.

Температурная зависимость сопротив­ления. Из формулы удельной проводимо­сти (103.2) следует, что сопротивление металлов, т. е. величина, обратно пропор­циональная g, должна возрастать пропор­ционально ÖT (в (103.2) n и < l > от темпе­ратуры не зависят, а < u > ~ÖТ). Этот вывод электронной теории противоречит опытным данным, согласно которым R~T (см. §98).


 

 

Оценка средней длины свободного про­бега электронов в металлах. Чтобы по формуле (103.2) получить g, совпадающие с опытными значениями, надо принимать < l > значительно больше истинных, иными словами, предполагать, что электрон про­ходит без соударений с ионами решетки сотни междоузельных расстояний, что не согласуется с теорией Друде — Лоренца.

Теплоемкость металлов. Теплоемкость металла складывается из теплоемкости его кристаллической решетки и теплоемко­сти электронного газа. Поэтому атомная (т. е. рассчитанная на 1 моль) теплоемкость металла должна быть значительно большей, чем атомная теплоемкость ди­электриков, у которых нет свободных элек­тронов. Согласно закону Дюлонга и Пти (см. §73), теплоемкость одноатомного кристалла равна 3 R. Учтем, что теплоем­кость одноатомного электронного газа равна 3/2 R. Тогда атомная теплоемкость металлов должна быть близка к 4,5 R. Однако опыт доказывает, что она равна 3 R, т. е. для металлов, так же как и для диэлектриков, хорошо выполняется закон Дюлонга и Пти. Следовательно, наличие электронов проводимости практически не сказывается на значении теплоемкости, что не объясняется классической электрон­ной теорией.

Указанные расхождения теории с опы­том можно объяснить тем, что движение электронов в металлах подчиняется не законам классической механики, а зако­нам квантовой механики и, следовательно, поведение электронов проводимости надо описывать не статистикой Максвелла — Больцмана, а квантовой статистикой. По­этому объяснить затруднения элементар­ной классической теории электропровод­ности металлов можно лишь квантовой тео­рией, которая будет рассмотрена в даль­нейшем. Надо, однако, отметить, что клас­сическая электронная теория не утратила своего значения и до настоящего времени, так как во многих случаях (например, при малой концентрации электронов проводи­мости и высокой температуре) она дает правильные качественные результаты и является по сравнению с квантовой тео­рией простой и наглядной.







Date: 2015-05-04; view: 1005; Нарушение авторских прав



mydocx.ru - 2015-2026 year. (0.652 sec.) Все материалы представленные на сайте исключительно с целью ознакомления читателями и не преследуют коммерческих целей или нарушение авторских прав - Пожаловаться на публикацию