Главная Случайная страница


Полезное:

Как сделать разговор полезным и приятным Как сделать объемную звезду своими руками Как сделать то, что делать не хочется? Как сделать погремушку Как сделать так чтобы женщины сами знакомились с вами Как сделать идею коммерческой Как сделать хорошую растяжку ног? Как сделать наш разум здоровым? Как сделать, чтобы люди обманывали меньше Вопрос 4. Как сделать так, чтобы вас уважали и ценили? Как сделать лучше себе и другим людям Как сделать свидание интересным?


Категории:

АрхитектураАстрономияБиологияГеографияГеологияИнформатикаИскусствоИсторияКулинарияКультураМаркетингМатематикаМедицинаМенеджментОхрана трудаПравоПроизводствоПсихологияРелигияСоциологияСпортТехникаФизикаФилософияХимияЭкологияЭкономикаЭлектроника






Часть 1

Итоговая контрольная работа по математике

за 2014-2015 учебный год (10 класс)

Вариант № 11

Ответом на задания 1–14 должно быть целое число или конечная десятичная дробь. Ответ следует записать в бланк ответов № 1 справа от номера выполняемого задания, начиная с первой клеточки. Каждую цифру, знак минус и запятую пишите в отдельной клеточке в соответствии с приведёнными в бланке образцами. Единицы измерений писать не нужно.

Часть 1

1. 1. Для ремонта квартиры требуется 37 рулонов обоев. Сколько пачек обойного клея нужно купить, если одна пачка клея рассчитана на 6 рулонов?

1. 2. В магазине «Сделай сам» вся мебель продаётся в разобранном виде. Покупатель может заказать сборку мебели на дому, стоимость которой составляет 10% от стоимости купленной мебели. Шкаф стоит 3300 рублей. Во сколько рублей обойдётся покупка этого шкафа вместе со сборкой?

2. На рисунке жирными точками показано суточное количество осадков, выпадавших в Мурманске с 7 по 22 ноября 1995 года. По горизонтали указываются числа месяца, по вертикали — количество осадков, выпавших в соответствующий день, в миллиметрах. Для наглядности жирные точки на рисунке соединены линией. Определите по рисунку, какое наибольшее количество осадков выпадало в период с 7 по 14 февраля.

3. Керамическая плитка одной и той же торговой марки выпускается трёх разных размеров. Плитки упакованы в пачки. Пользуясь данными таблицы, определите, в каком случае цена одного квадратного метра плитки будет наименьшей.

Размер плитки (см см) Количество плиток в пачке Цена пачки
20 30   693 руб. 60 коп.
40 40   736 руб.
20 20   702 руб.

В ответ запишите найденную наименьшую цену квадратного метра в рублях.

 

 

4. Найдите площадь четырехугольника, изображенного на клетчатой бумаге с размером клетки 1 см × 1 см (см. рис.). Ответ дайте в квадратных сантиметрах.

5. Две фабрики выпускают одинаковые стекла для автомобильных фар. Первая фабрика выпускает 70% этих стекол, вторая –– 30%. Первая фабрика выпускает 1% бракованных стекол, а вторая –– 3%. Найдите вероятность того, что случайно купленное в магазине стекло окажется бракованным.

6. 1. Решите уравнение . В ответ укажите наибольший отрицательный корень.

6. 2. Решите уравнение .

 

7. Найдите острый угол между биссектрисами острых углов прямоугольного треугольника. Ответ дайте в градусах.

8. На рисунке изображен график функции , определенной на интервале . Найдите сумму точек экстремума функции .

 

9. В прямоугольном параллелепипеде ребро AB = 2, ребро AD = , ребро = 2. Точка K — середина ребра . Найдите площадь сечения, проходящего через точки , и K.

Часть 2

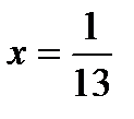
10. 1. Вычислите , если .

10. 2. Найдите .

11. Небольшой мячик броcают под оcтрым углом к плоcкой горизонтальной поверхноcти земли. Раccтояние, которое пролетает мячик, вычиcляетcя по формуле (м), где — начальная cкороcть мяча, а — уcкорение cвободного падения (cчитайте ). При каком наименьшем значении угла (в градуcах) мяч перелетит реку шириной 8,45 м?

12. Через среднюю линию основания треугольной призмы проведена плоскость, параллельная боковому ребру. Объем отсеченной треугольной призмы равен 5. Найдите объем исходной призмы.

13. Цена холодильника в магазине ежегодно уменьшается на одно и то же число процентов от предыдущей цены. Определите, на сколько процентов каждый год уменьшалась цена холодильника, если, выставленный на продажу за 19800 рублей, через два года был продан за 16038 рублей.

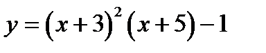
14. Найдите точку минимума функции .

Для записи решений и ответов на задания 15–21 используйте бланк ответов № 2. Запишите сначала номер выполняемого задания (15, 16 и т. д.), а затем полное обоснованное решение и ответ.

15. а) Решите уравнение

.

б) Найдите все корни уравнения, принадлежащие промежутку .

16. В правильной четырехугольной пирамиде PABCD с основанием ABCD точка M – середина ребра РA, точка K – середина ребра РB. Найдите расстояние от вершины A до плоскости CMK, если
РC = 6, AB = 4.

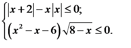
17. Решите систему неравенств

18. В окружность радиуса R вписан треугольник АВС. Вторая окружность радиуса r, концентрическая с первой, касается одной стороны треугольника и делит каждую из двух других сторон на три равные части.

а) Докажите, что треугольник АВС равнобедренный.

б) Найдите .

19. 1 января Василий Михайлович взял в банке 1,1 млн. руб. в кредит. Схема выплаты кредита следующая – 1 числа каждого следующего года банк начисляет 1 процент на оставшуюся сумму долга (то есть увеличивает долг на 1 %), затем Василий Михайлович переводит очередной платёж. На какое минимальное количество месяцев Василий Михайлович может взять кредит, чтобы ежемесячные выплаты были не более 137,5 тыс. рублей?


20. Найдите все значения параметра , при каждом из которых уравнение имеет хотя бы одно решение на отрезке .

21. Десятичная запись натурального числа должна состоять из различных (не менее двух) цифр одной чётности, а само оно должно быть квадратом целого числа. Найдите все такие .

 

 



<== предыдущая | следующая ==>
Задание 14 (№ 77487) | 





Date: 2015-09-25; view: 426; Нарушение авторских прав



mydocx.ru - 2015-2026 year. (1.402 sec.) Все материалы представленные на сайте исключительно с целью ознакомления читателями и не преследуют коммерческих целей или нарушение авторских прав - Пожаловаться на публикацию