Главная Случайная страница


Полезное:

Как сделать разговор полезным и приятным Как сделать объемную звезду своими руками Как сделать то, что делать не хочется? Как сделать погремушку Как сделать так чтобы женщины сами знакомились с вами Как сделать идею коммерческой Как сделать хорошую растяжку ног? Как сделать наш разум здоровым? Как сделать, чтобы люди обманывали меньше Вопрос 4. Как сделать так, чтобы вас уважали и ценили? Как сделать лучше себе и другим людям Как сделать свидание интересным?


Категории:

АрхитектураАстрономияБиологияГеографияГеологияИнформатикаИскусствоИсторияКулинарияКультураМаркетингМатематикаМедицинаМенеджментОхрана трудаПравоПроизводствоПсихологияРелигияСоциологияСпортТехникаФизикаФилософияХимияЭкологияЭкономикаЭлектроника






Контроль

ПРАКТИЧЕСКАЯ РАБОТА

на тему:

«MS WORD 2007»

Выполнил:

студент 1 курса ОФО

группы «Е-13» Якуш Геннадий

Проверил:

Ст.преп. Давыденко А.В.

 

Сочи


Упражнение № 1. Формирование обзацев

 

 


 

Упражнение №2.Стили


Упражнение № 3.Создание списков

1. Высоцкая Вероника

2. Бойко Сергей

3. Гаспарян Ануш

4. Пипириди Таисия

5. Якуш Геннадий

 

ü Высоцкая Вероника

ü Бойко Сергей

ü Гаспарян Ануш

ü Пипириди Таисия

ü Якуш Геннадий

 

Женщины

1.1. Высоцкая Вероника

1.2. Гаспарян Ануш

1.3. Пипириди Таисия

Мужчины

2.1. Бойко Сергей

2.2. Якуш Геннадий

 


 

План маркетинга (резюме для руководителя).

 

Анализ текущей ситуации

1.1. Красткое описание рынка

1.1.1. Демографические характеристики рынка

1.1.2. Рыночные потребности

1.1.3. Тенденции рынка

1.1.4. Рост целевого рынка

1.2. SWOT анализ

1.2.1. Сильные стороны

1.2.2. Слабые стороны

1.2.3. Возможности

1.2.4. Угрозы

1.3. Конкуренция

1.4. Товарное предложение

1.5. Ключи к успеху

1.6. Важные вопросы

1.7. Деятельность компании

1.8. Макросреда компании

Маркетинговая стратегия

2.1. Миссия

2.2. Краткосрочные маркетинговые цели

2.3. Краткосрочные финансовые цели

2.4. Целевые рынки

2.5. Позиционирование

2.6. Стратегия

2.7. Комплекс маркетинга

2.7.1. Товар

2.7.2. Ценообразование

2.7.3. Продвижение

2.7.4. Каналы распределения

2.7.5. Обслуживание потребителей и внутренний маркетинг

2.8. Маркетинговые исследования

Финансовый анализ

3.1. Анализ безубыточности

3.2. Прогноз продаж

3.2.1. Продажи с разбивкой по клиентам

3.2.2. Продажи с разбивкой по сегментам

3.2.3. Продажи с разбивкой по регионам

3.2.4. Расходы с разбивкой по клиентам

3.2.5. Расходы с разбивкой по сегментам

3.2.6. Расходы с разбивкой по регионам

4. Совместный анализ продаж и расходов

5. Анализ рентабельности

Контроль

6.1. Практическая реализация плана маркетинга

6.2. Организация маркетинга

6.3. План на случай чрезвычайных обстоятельств

 

Упражнение №4. Создание таблиц.

№ п/п Тема Кол-во часов
Лекций Практических
  Введение в информатику    
  Основы ВТ    
  Программное обеспечение    
  Сети    
  Всего лекций:    
  Всего практических:    
  Всего часов:    

 

 

Упражнение №5. Вычисление в таблицах.

№ П/П   ФИО Оценка
математика экономика информатика
  Абрамович Анатолий      
  Абрамова Маргарита      
  Абада Анна      
  Аникушин Артем      
  Андреев Вадим      
  Бородина Екатерина      
  Базанов Владимир      
  Бойко Сергей н/я    
  Безребрый Владислав      
  Высоцкая Вероника      
  Ворокова Дана      
  Вишневская Дарья      
  Гарпинченко Климентий      
  Гонева Юлия      
  Грабова Татьяна      
  Данилова Юлия      
  Дудченко Виктория      
  Ежкова елена      
  Жарченков Сергей      
  Заплава Дина      
  Кагиян Армен      
  Кароян Сатеник      
  Кадкина Элина      
  Лундаев Виталий     н/я
  Некрасов Максим     н/я
  Якуш Геннадий   н/я  
         
  Средний балл: 4,15 3,69 3,31
  Кол-во неявок:      
  Общее кол-во неявок:      

 



 

Упражнение № 6. Создание диаграмм

 

 

 

 

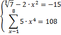
Упражнение №7. Ввод формул.


 

Упражнение № 8. Вставка изображения


 

Упражнение № 9. Графические объекты

 
 
 
 
 
 

 

 


 


 

Упражнение № 10. Организационные диаграммы


 

Упражнение № 11. Гиперссылки

Я.Г.


 

Упражнение № 12. Макросы [1]


 

Упражнение № 13. Сноски, символы, поиск-замена


 

Упражнение № 14. Оглавление


 

Упражнение № 15. Защита документа


[1] Макрос

 



<== предыдущая | следующая ==>
III. Требования к условиям реализации АООП НОО | Благо, потребности, ресурсы. Их классификация





Date: 2015-09-22; view: 351; Нарушение авторских прав



mydocx.ru - 2015-2026 year. (0.306 sec.) Все материалы представленные на сайте исключительно с целью ознакомления читателями и не преследуют коммерческих целей или нарушение авторских прав - Пожаловаться на публикацию