Главная Случайная страница


Полезное:

Как сделать разговор полезным и приятным Как сделать объемную звезду своими руками Как сделать то, что делать не хочется? Как сделать погремушку Как сделать так чтобы женщины сами знакомились с вами Как сделать идею коммерческой Как сделать хорошую растяжку ног? Как сделать наш разум здоровым? Как сделать, чтобы люди обманывали меньше Вопрос 4. Как сделать так, чтобы вас уважали и ценили? Как сделать лучше себе и другим людям Как сделать свидание интересным?


Категории:

АрхитектураАстрономияБиологияГеографияГеологияИнформатикаИскусствоИсторияКулинарияКультураМаркетингМатематикаМедицинаМенеджментОхрана трудаПравоПроизводствоПсихологияРелигияСоциологияСпортТехникаФизикаФилософияХимияЭкологияЭкономикаЭлектроника






Всего 30 баллов





Решение:

1. aNa2O·bP2O5·cH2O

w(Na2O) = (19,17·62)/2·23) = 25,84%; w(P2O5) = 25,83·142/(2·31) = 59,16%; w(H2O) = 15,00%.

a:b:c = (25,84/62):(59,16/142):(15,00/18) = 0,4168:0,4166:0,8333 = 1:1:2

Если n(CO2) = 4n(P2O5), а n(CO2) = n(NaHCO3) = 2n(Na2O) – не подходит

Значит n(CO2) = 4n(P4O10). Тогда 2Na2O·P4O10·4H2O

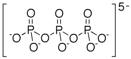
P4O10 + 4NaHCO3 + 2H2O = Na4P4O12·4H2O + 4CO2

2. m(P4O10) = 2,10·284/(480·0,71) = 1,75 (г)

3. а) P4O10 + 6H2O = 4H3PO4 + Q – сильно растет t°; б) снизить скорость

4.

P4O10 HCO3- P4O124-

5. Во всех ортофосфатах щелочных и щелочноземельных металлов присутствуют дискретные, приблизительно правильные тетраэдрические группы РО4. Наличие большого числа водородных связей и взаимодействия М-О часто вызывают существенные отклонения от чисто ионной модели.

При повышении концентрации Р4О10 в системе Н2O - Р4О10 или при нагревании ортофосфорной кислоты тетраэдрические ионы РO43- конденсируются - соединяются общими вершинами, образуя полифосфорные кислоты линейного или циклического строения. Поэтому возможно существование как мономерных, так и полимеризованных ортофосфатов PnO3n+1(n+2)- (n = 1-6). в цепочечных полифосфатах наблюдается другой принцип построения структуры: в них присутствуют тетраэдры {РО4}, сочлененные вершинами. Общая формула для таких анионов [РnO3n+1](n+2)-; первые два члена этого ряда - дифосфат P2O74- и триполифосфат Р3О105-.

В полифосфатах МIn+2РnO3n+1 с длинной цепью состав приближается к МIРO3, если n®∞; их иногда называют линейными метафосфатами, чтобы отличать их от циклических метафосфатов того же состава.

В настоящее время в результате рентгеноструктурных исследований признано, что в этих и родственных им соединениях присутствуют неразветвленные цепи из соединенных вершинами частиц {РO4}, причем цепи различаются только взаимной ориентацией тетраэдров и повторяющимся фрагментом (вдоль цепи). Эти геометрические параметры, в свою очередь, обусловлены стерическими и координационными требованиями присутствующих противоионов (включая Н).

Метафосфаты PnO3nn- (n = 3-6) полимеризованы. Образование цикла в циклических метафосфатах можно представить как первую стадию гидратации Р4О10, когда внутренние связи –Р-О-Р- разрываются и из них образуются четыре связи -Р-ОН-.

P3O105- P3O93-

 







Date: 2015-09-24; view: 284; Нарушение авторских прав



mydocx.ru - 2015-2026 year. (0.485 sec.) Все материалы представленные на сайте исключительно с целью ознакомления читателями и не преследуют коммерческих целей или нарушение авторских прав - Пожаловаться на публикацию