Главная Случайная страница


Полезное:

Как сделать разговор полезным и приятным Как сделать объемную звезду своими руками Как сделать то, что делать не хочется? Как сделать погремушку Как сделать так чтобы женщины сами знакомились с вами Как сделать идею коммерческой Как сделать хорошую растяжку ног? Как сделать наш разум здоровым? Как сделать, чтобы люди обманывали меньше Вопрос 4. Как сделать так, чтобы вас уважали и ценили? Как сделать лучше себе и другим людям Как сделать свидание интересным?


Категории:

АрхитектураАстрономияБиологияГеографияГеологияИнформатикаИскусствоИсторияКулинарияКультураМаркетингМатематикаМедицинаМенеджментОхрана трудаПравоПроизводствоПсихологияРелигияСоциологияСпортТехникаФизикаФилософияХимияЭкологияЭкономикаЭлектроника






Решение. По за­данному закону дви­жения точки О оп­ределяем ее скорость в момент времени t = 2 с:





По за­данному закону дви­жения точки О оп­ределяем ее скорость в момент времени t = 2 с:

при t = 2 с v 0 = 9 м/с.

Цилиндр совершает плоскопараллельное движение. Мгновенный центр вращения находится в точке Р. По­этому

Отсюда мгновенная угловая скорость вращения ци­линдра

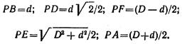
Найдем расстояния от мгновенного центра скоростей Р до заданных точек:

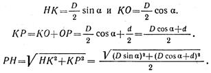
Для определения расстояния РН рассмотрим прямоугольные треугольники НКО и РКН. Из

треугольника НКО имеем

Теперь определим величины скоростей заданных точек:

 

Вектора скоростей показаны на рис. 1.52.

Пример 8. В механизме грохота (рис. 1.53, а) кривошипы O1А и O2В связаны звеном АВ. Размеры всех звеньев одинаковы: O1А = O2В = АВ = 40 см. Криво­шип O1A равномерно вращается вокруг оси Ох с частотой п о = 60 об/мин.

Определить угловую скорость звена АВ и скорость точки В для двух положений грохота:

1) когда кривошип O1A занимает горизонтальное положение,

2) когда криво­шип O2В занимает горизонтальное положение.

Решение

 

Вычислим скорость точки А ведущего криво­шипа:

Рассмотрим теперь последовательно заданные положе­ния механизма.

1-е положение (рис. 1.53, б). При заданных раз­мерах звеньев угол АВО2 = 90°. Определим мгновенный центр вращения звена АВ. Нам известны направления скоро­стей двух его точек: vA и vB. Мгновенный центр скоростей лежит на пересечении перпен­дикуляров к направлениям скоростей vA и vB, т. е. в точке О2.

Найдем мгновенную угло­вую скорость вращения зве­на АВ:

откуда

 
 

Определяем скорость точ­ки В:

2-е положение (рис. 1.53, в). Мгновенный центр скоростей в этом положении находится в точке Ov. Мгно­венная угловая скорость вра­щения звена АВ оказывается равной угловой скорости ведущего кривошипа механизма:

Определяем скорость точки В:

Пример 9. Железнодорожный вагон движется по горизонтальному участку с ускорением а0 = — 1,6 м/с2, имея в данный момент скорость v 0 = 1 м/с. Найти уско­рения точек вагонного колеса, лежащих на концах гори­зонтального и вертикального диаметров (рис. 1.54).







Date: 2015-09-27; view: 616; Нарушение авторских прав



mydocx.ru - 2015-2026 year. (0.551 sec.) Все материалы представленные на сайте исключительно с целью ознакомления читателями и не преследуют коммерческих целей или нарушение авторских прав - Пожаловаться на публикацию