Главная Случайная страница


Полезное:

Как сделать разговор полезным и приятным Как сделать объемную звезду своими руками Как сделать то, что делать не хочется? Как сделать погремушку Как сделать так чтобы женщины сами знакомились с вами Как сделать идею коммерческой Как сделать хорошую растяжку ног? Как сделать наш разум здоровым? Как сделать, чтобы люди обманывали меньше Вопрос 4. Как сделать так, чтобы вас уважали и ценили? Как сделать лучше себе и другим людям Как сделать свидание интересным?


Категории:

АрхитектураАстрономияБиологияГеографияГеологияИнформатикаИскусствоИсторияКулинарияКультураМаркетингМатематикаМедицинаМенеджментОхрана трудаПравоПроизводствоПсихологияРелигияСоциологияСпортТехникаФизикаФилософияХимияЭкологияЭкономикаЭлектроника






Решение. Рассмотрим равновесие балки АВ, к которой приложены как заданные, так и искомые силы





Рассмотрим равновесие балки АВ, к которой приложены как заданные, так и искомые силы. Освобож­даем балку от связей и заменяем их действие реакциями (рис. 1.14,6). Получили плоскую систему сил.

Выбираем систему ко­ординат (см. рис. 1.14,6).

Составляем три уравне­нияравновесия:

 
 

Решая второе и третье уравнения, получаем:

 
 

Составим провероч­ное уравнение

следовательно, опорные реакции определены вер­но.

 

 

Пример 7. Для заданной балки (рис. 1.15, а) оп­ределить опорные реакции.

Решение

Рассмотрим равновесие балки АВ, к которой приложены все заданные и искомые силы. Освободим балку от связей и заменим их действие реакциями (рис. 1.15, б). Получили плоскую систему произвольно расположенных сил.

Выбираем систему координат (см. рис. 1.15, 6). Для полученной системы сил в рассматриваемом примере целе­сообразно составить следующие три уравнения равнове­сия:

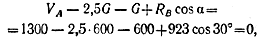
В этом случае в каждое уравнение равновесия войдет только одна искомая реакция:

 

 
 

где l cos α — плечо силы RB относительно точки А. Подставляя числовые значения, находим

 

При определении опорных реакций не было использовано уравнение равновесия ΣPiv = 0. Если реакции определены верно, то сумма проекций на ось v всех сил, действующих на балку, должна быть равна нулю. Проектируя все силы на ось v, получаем

следовательно, реакции определены верно.

Пример 8. Для плоской рамы (рис. 1.16,а) определить опорные реакции.







Date: 2015-09-27; view: 892; Нарушение авторских прав



mydocx.ru - 2015-2026 year. (0.334 sec.) Все материалы представленные на сайте исключительно с целью ознакомления читателями и не преследуют коммерческих целей или нарушение авторских прав - Пожаловаться на публикацию