Главная Случайная страница


Полезное:

Как сделать разговор полезным и приятным Как сделать объемную звезду своими руками Как сделать то, что делать не хочется? Как сделать погремушку Как сделать так чтобы женщины сами знакомились с вами Как сделать идею коммерческой Как сделать хорошую растяжку ног? Как сделать наш разум здоровым? Как сделать, чтобы люди обманывали меньше Вопрос 4. Как сделать так, чтобы вас уважали и ценили? Как сделать лучше себе и другим людям Как сделать свидание интересным?


Категории:

АрхитектураАстрономияБиологияГеографияГеологияИнформатикаИскусствоИсторияКулинарияКультураМаркетингМатематикаМедицинаМенеджментОхрана трудаПравоПроизводствоПсихологияРелигияСоциологияСпортТехникаФизикаФилософияХимияЭкологияЭкономикаЭлектроника






Виды мышления, выделенные по различным основаниям





Рис. XI.10.

Рис. XI.11. Составляющие продуктивности ума

ментарная форма мышления, возникающая в практической деятельности и являющаяся основой для формирования более сложных форм мышления. Выделяют также наглядно-образное (см.) и абстрактно-логическое (или отвлеченное) мышление.

Все виды мышления тесно взаимосвязаны. При решении задач словесные рассуждения опираются на яркие образы. В то же время решение даже самой простой, самой конкретной задачи требует словесных обобщений.

Для творческой работы необходимо обладать способностью самостоятельно и критично мыслить, проникать в сущность предметов и явлений, быть пытливым, что в значительной мере обеспечивает продуктивность умственной деятельности.

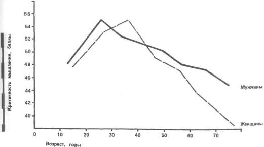
Все указанные качества индивидуальны, изменяются с возрастом, поддаются коррекции. Связь критичности ума с возрастом (полученная в экспериментальных условиях) представлена на графике XI. 12.

Самостоятельность мышления ---------------=> умение использовать общественный опыт, независимость собственной мысли
Критичность мышления ---------------------------------- >■ объективная оценка других и себя
Глубина мысли --------------->- способность анализировать, сравнивать, находить существенное
Гибкость мысли ----------------------------------=>■ умение находить пути решения задачи
Пытливость мысли ---------------->. потребность всегда искать наилучшее решение

Рис. XI. 12. Корреляция критичности мышления с возрастом







Date: 2015-09-25; view: 365; Нарушение авторских прав



mydocx.ru - 2015-2026 year. (1.008 sec.) Все материалы представленные на сайте исключительно с целью ознакомления читателями и не преследуют коммерческих целей или нарушение авторских прав - Пожаловаться на публикацию