Главная Случайная страница


Полезное:

Как сделать разговор полезным и приятным Как сделать объемную звезду своими руками Как сделать то, что делать не хочется? Как сделать погремушку Как сделать так чтобы женщины сами знакомились с вами Как сделать идею коммерческой Как сделать хорошую растяжку ног? Как сделать наш разум здоровым? Как сделать, чтобы люди обманывали меньше Вопрос 4. Как сделать так, чтобы вас уважали и ценили? Как сделать лучше себе и другим людям Как сделать свидание интересным?


Категории:

АрхитектураАстрономияБиологияГеографияГеологияИнформатикаИскусствоИсторияКулинарияКультураМаркетингМатематикаМедицинаМенеджментОхрана трудаПравоПроизводствоПсихологияРелигияСоциологияСпортТехникаФизикаФилософияХимияЭкологияЭкономикаЭлектроника






Математические методы в психологии

Задание № 1

Вопрос:

Что означают перечисленные понятия, используемые в математической обработке психологических данных?

 

Укажите соответствие для всех 5 вариантов ответа:

1) оперирование со значениями признака (оценками признака), полученными у испытуемых в психологическом исследовании.

2) измеряемые психологические явления.

3) крайние значения признака в нем встречаются достаточно редко, а значения, близкие к средней величине - достаточно часто.

4) числовые характеристики, указывающие, где "в среднем" располагаются значения признака, насколько эти значения изменчивы и наблюдается ли преимущественное появление определенных значений признака

5) закономерность встречаемости разных его

значений

 

__ Признаки и переменные -

__ Математическая обработка -

__ Распределение признака -

__ Нормальное распределение -

__ Параметры распределения признака -

 

Задание № 2

Вопрос:

Выберите правильное определение для перечисленных понятий.

 

Укажите соответствие для всех 5 вариантов ответа:

1) H0: X1 не отличается от Х2

Н1: Х1 отличается от Х2

2) утверждение в отношении неизвестного параметра, сформулированное на языке математической статистики.

3) гипотеза об отсутствии различий

4) гипотеза о значимости различий.

5) H0: X1 не превышает Х2

H1: X1 превышает Х2

 

__ Статистическая гипотеза -

__ Нулевая гипотеза -

__ Альтернативная гипотеза -

__ Направленные гипотезы это -

__ Ненаправленные гипотезы это -

 

Задание № 3

Вопрос:

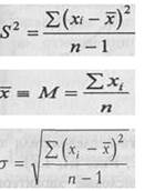
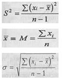
Укажите (щелчком на формуле) по какой формуле вычисляется среднее арифметическое (оценка математического ожидания)?

 

Укажите место на изображении:

 

Задание № 4

Вопрос:

Оценка дисперсии определяется по формуле:

 

Укажите место на изображении:

 

Задание № 5

Вопрос:

Укажите формулу для вычисления величины, называемой стандартным отклонением или средним квадратическим отклонением.

 

Укажите место на изображении:

 

Задание № 6

Вопрос:

Что обеспечит принятие истинной и отклонение ложной гипотезы с высокой вероятностью?

 

Запишите ответ:

_критерий_________________________________________

 

Задание № 7

Вопрос:

Если вы заметили, что в одной из групп индивидуальные значения испытуемых по какому-либо признаку, например по социальной смелости, выше, а в другой ниже, то для проверки значимости этих различий необходимо сформулировать:

Введите

1 - направленные гипотезы;

2 - ненаправленные гипотезы.

 

Запишите число:

__________________________________________

 

Задание № 8

Вопрос:

При необходимости доказать, что различаются формы распределения признака в группе А и Б, следует сформулировать,

Введите:

1 - направленные гипотезы;

2 - ненаправленные гипотезы

 

Запишите число:

__________________________________________

 

Задание № 9

Вопрос:

Статистические критерии классифицируются на:

 

Выберите несколько из 5 вариантов ответа:

1) Параметрические

2) Непараметрические

3) Направленные

4) Ненаправленные

5) Смешанные

 

Задание № 10

Вопрос:

Исходя из того, что уровень значимости - это вероятность того, что мы сочли различия существенными, а они на самом деле случайны правильно сопоставьте перечисленные понятия:

 

Укажите соответствие для всех 5 вариантов ответа:

1) ошибка I рода

2) вероятность того, что различия все-таки недостоверны,составляет 0,05

3) способность критерия не допустить ошибку II рода

4) вероятность того, что различия все-таки недостоверны,составляет 0,01

5) ошибка II рода

 

__ Различия достоверны на 5%-ом уровне значимости, или при р< 0,05 означают:

__ Различия достоверны на 1%-ом уровне значимости, или при р< 0,01 означают:

__ Ошибка, состоящая в отклонении нулевой гипотезы, в то время как она верна, называется -

__ Ошибка, состоящая в принятии нулевой гипотезы, в то время как она неверна, называется -

__ Мощьность критерия -

 

Задание № 11

Вопрос:

Что означают перечисленные понятия:

 

Укажите соответствие для всех 5 вариантов ответа:

1) упорядоченное распределение единиц совокупности на группы по определенному признаку.

2) интервальный вариационный ряд, изображённый в виде гистограммы.

3) варианта, которая находится в середине вариационного ряда.

4) величина признака (варианта), которая чаще всего встречается в данной совокупности


5) график в виде ломаной линии, соединяющий точки на плоскости с координатами (xi,yi)

 

__ Мода -

__ Медиана -

__ Статистический ряд распределения -

__ Полигон -

__ Гистограмма -

 


Задание № 12

Вопрос:

Исходя из того, что результате действия каких-либо факторов произошли достоверные изменения ("сдвиги") в измеряемых показателях определите, что такое:

 

Укажите соответствие для всех 5 вариантов ответа:

1) сопоставление показателей, полученных у одних и тех же испытуемых по одним и тем же методикам, но в разное время.

2) сопоставление показателей, полученных по одним и тем же методикам, но в разных условиях измерения (например, "покоя" и "стресса").

3) влияние внушающего воздействия на изменение отношения испытуемых к той или иной проблеме.

4) сопоставление между собой разных показателей одних и тех же испытуемых, если они измерены в одних и тех же единицах, по одной и той же шкале.

5) сопоставление показателей, измеренных в обычных и воображаемых условиях.

 

__ Ситуационный сдвиг -

__ Умозрительный сдвиг -

__ Временной сдвиг -

__ Сдвиг под влиянием

__ Структурный сдвиг

 

Задание № 13

Вопрос:

G- критерий знаков для чего предназначен и когда применим?

 

Выберите несколько из 5 вариантов ответа:

1) - для установления общего направления сдвига исследуемого признака.

2) - для установления наличия связи между признаками.

3) - для выявления влияния факторов на признак результата.

4) применим к сдвигам, измеряемым количественно.

5) применим к сдвигам, которые можно определить лишь качественно.

 

Задание № 14

Вопрос:

Что позволяет линейный корреляционный анализ?

 

Выберите один из 5 вариантов ответа:

1) Установить общее направление сдвига исследуемого признака.

2) Установить прямые связи между переменными величинами по их абсолютным значениям

3) Установить связи между переменными величинами, имеющими нелинейный характер.

4) Выявить влияние нескольких факторов на результирующий признак.

5) Доказать, что различаются формы распределения признака в группе А и Б

 


Задание № 15

Вопрос:

По какой формуле рассчитывается коэффициент Пирсона?

 

Укажите место на изображении:

 

Задание № 16

Вопрос:

Какие условия необходимо соблюдать при применении коэффициента корреляции Пирсона (три верных)?

 

 

Выберите несколько из 5 вариантов ответа:

1) Сравниваемые переменные должны быть получены в интервальной шкале или шкале отношений.

2) Число варьирующих признаков в сравниваемых переменных X и Y может быть различным.

3) Распределения переменных X и Y должны быть близки к нормальному.

4) Распределения переменных X и Y могут быть отличными от нормального.

5) Число варьирующих признаков в сравниваемых переменных X и Y должно быть одинаковым

 

Задание № 17

Вопрос:

Следует ли определять значимость линейного коэффициента корреляции Пирсона после его расчёта?

 

Выберите один из 2 вариантов ответа:

1) Да

2) Нет

 

Задание № 18

Вопрос:

Что определяет коэффициент корреляции рангов Спирмена?


 

 

Выберите один из 5 вариантов ответа:

1) - показатели связанных и несвязанных выборок.

2) - тесноту связи двух признаков.

3) - изменчивость разброса признака.

4) - характер распределения признака.

5) - уровень значимости признака.

 

Задание № 19

Вопрос:

В каких случаях используется коэффициент ранговой корреляции Спирмена (три верных)?

 

Выберите несколько из 5 вариантов ответа:

1) - переменные имеют ранговую шкалу измерения;

2) - при нормальном распределении признака;

3) - распределение данных слишком отличается от нормального или вообще неизвестно;

4) - выборки любого объёма;

5) - выборки имеют небольшой объём (N < 30);

 

Задание № 20

Вопрос:

Что такое дисперсионный анализ?

 

Выберите один из 3 вариантов ответа:

1) анализ изменчивости признака под влиянием каких - либо контролируемых переменных факторов.

2) анализ для выявления связи между признаками

3) анализ для установления общего направления сдвига исследуемого признака.

 

 

Задание № 21

Вопрос:

Что означают перечисленные понятия в дисперсионном анализе?

 

Укажите соответствие для всех 5 вариантов ответа:

1) переменные рассматриваемые как следствия

2) переменные рассматриваемые как причины

3) средние величины результативного признака в разных градациях исследуемого фактора различны

4) средние величины исследуемого результативного признака во всех градациях одинаковы.

5) определять, носят ли различия между группами данных случайный характер или вызваны конкретными обстоятельствами.

 

__ Переменные - факторы - это

__ Результативные признаки - это

__ Нулевая гипотеза в дисперсионном анализе это утверждение:

__ Альтернативная гипотеза в дисперсионном анализе это:

__ Дисперсионный анализ позволяет -

 

Задание № 22

Вопрос:

Что означают перечисленные понятия?

 

Укажите соответствие для всех 3 вариантов ответа:

1) статистическая взаимосвязь двух или нескольких случайных величин

2) научный метод, состоящий в замене одних объектов другими, в каком-то смысле близкими к исходным, но более простыми.

3) статистический метод исследования влияния одной или нескольких независимых переменных на зависимую переменную.

 

__ Регрессионный анализ -

__ Корреляционная зависимость -

__ Апроксимация-

 

Задание № 23

Вопрос:

С помощью каких инструментов в Excel можно провести регрессионный анализ?

 

Выберите один из 5 вариантов ответа:

1) Статистические функции

2) Пакет Анализа

3) Поиск решения

4) Функция КОРРЕЛ

5) Функция ДИСП

 


Задание № 24

Вопрос:

Если изменение одной случайной величины не ведёт к закономерному изменению другой случайной величины, но приводит к изменению другой статистической характеристики данной случайной величины, считается ли подобная связь корреляционной?


 

Выберите несколько из 2 вариантов ответа:

1) Да

2) Нет

 

Задание № 25

Вопрос:

Что позволяет получить использование инструмента Регрессия в Excel?

 

Выберите несколько из 5 вариантов ответа:

1) - коэффициент корреляции;

2) - статистические параметры;

3) - коэффициент определённости;

4) - уравнение регрессии;

5) - критические коэффициенты;

 

Задание № 26

Вопрос:

Выберите правильно особенности использования двухфакторного дисперсионного анализа.

 

Укажите соответствие для всех 3 вариантов ответа:

1) для выявления влияния факторов А и В на результативный признак на основе выборочных данных (каждому уровню факторов А и В соответствует только одна выборка).

2) для выявления влияния факторов А и В на результативный признак на основе выборочных данных (каждому уровню факторов А и В соответствует несколько выборок).

3) при исследовании одновременного действие двух факторов на различные выборки объектов.

 

__ Дисперсионный двухфакторный анализ применяется -

__ Для чего используется двухфакторный анализ без повторений:

__ Для чего используется двухфакторный анализ с повторениями:

 

Конец

 

 



<== предыдущая | следующая ==>
Причины глобальных проблем | Электробезопасность





Date: 2015-09-18; view: 612; Нарушение авторских прав



mydocx.ru - 2015-2026 year. (1.452 sec.) Все материалы представленные на сайте исключительно с целью ознакомления читателями и не преследуют коммерческих целей или нарушение авторских прав - Пожаловаться на публикацию