Главная Случайная страница


Полезное:

Как сделать разговор полезным и приятным Как сделать объемную звезду своими руками Как сделать то, что делать не хочется? Как сделать погремушку Как сделать так чтобы женщины сами знакомились с вами Как сделать идею коммерческой Как сделать хорошую растяжку ног? Как сделать наш разум здоровым? Как сделать, чтобы люди обманывали меньше Вопрос 4. Как сделать так, чтобы вас уважали и ценили? Как сделать лучше себе и другим людям Как сделать свидание интересным?


Категории:

АрхитектураАстрономияБиологияГеографияГеологияИнформатикаИскусствоИсторияКулинарияКультураМаркетингМатематикаМедицинаМенеджментОхрана трудаПравоПроизводствоПсихологияРелигияСоциологияСпортТехникаФизикаФилософияХимияЭкологияЭкономикаЭлектроника






Типовая задача № 2. Депозитные операции





ООО «Венера» открывает в банке депозитный вклад в размере 10 млн. руб. на срок 3 месяца с начислением процентов в конце срока действия договора из расчета 6% годовых. Требуется определить сумму денег, которую получит клиент в банке по окончании срока договора:

1) При начислении по простым процентам;

2) При начислении по сложным процентам.

 

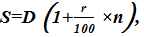
Решение. 1) Сумма вклада с процентами, начисленными по схеме простых процентов, рассчитывается по следующей формуле:

 

(15)

 

где S – сумма депозита с процентами, D – сумма первоначального депозита, r – банковская процентная ставка (% годовых), n – количество лет

 

S = 10 000 000 (1 + 6 / 100 3 / 12) = 10 150 000 руб.

Сумма процентов по вкладу составит 10 150 000 – 10 000 000 = 150 000 руб.

2) Сумма вклада с процентами, начисленными по схеме сложных процентов, рассчитывается по следующей формуле:

 

n, (16)

 

S = 10 000 000 (1 + 6 / 100) ½ = 10 300 000 руб.

Сумма процентов по вкладу составит 10 300 000 – 10 000 000 = 300 000 руб.

 

Ответ. 1) S = 150 000 руб.; 2) S = 300 000 руб.

 







Date: 2015-09-18; view: 952; Нарушение авторских прав



mydocx.ru - 2015-2026 year. (0.508 sec.) Все материалы представленные на сайте исключительно с целью ознакомления читателями и не преследуют коммерческих целей или нарушение авторских прав - Пожаловаться на публикацию