Главная Случайная страница


Полезное:

Как сделать разговор полезным и приятным Как сделать объемную звезду своими руками Как сделать то, что делать не хочется? Как сделать погремушку Как сделать так чтобы женщины сами знакомились с вами Как сделать идею коммерческой Как сделать хорошую растяжку ног? Как сделать наш разум здоровым? Как сделать, чтобы люди обманывали меньше Вопрос 4. Как сделать так, чтобы вас уважали и ценили? Как сделать лучше себе и другим людям Как сделать свидание интересным?


Категории:

АрхитектураАстрономияБиологияГеографияГеологияИнформатикаИскусствоИсторияКулинарияКультураМаркетингМатематикаМедицинаМенеджментОхрана трудаПравоПроизводствоПсихологияРелигияСоциологияСпортТехникаФизикаФилософияХимияЭкологияЭкономикаЭлектроника






Топографических съемок





государственной высотной опорной сети

11. Теодолитные ходы служат основой для выполнения …: (что неверно?)

для определения площади участка местности

фототопографической съемки

нивелирования поверхности

тахеометрической съемки

12. Разомкнутые теодолитные ходы опираются …: (выбрать правильный ответ)

на три точки с известными отметками

на две точки с известными отметками

на одну точки с известной отметкой

на четыре точки с известными отметками

13.Прокладка теодолитно-высотного хода сводится к… (что неверно?)

выбор и закрепление точек хода

измерение горизонтальных и вертикальных углов

измерение расстояний

измерение румбов

14. Между вершинами теодолитного хода должна быть прямая видимость и расстояние … (выбрать правильный ответ)

от 100м до 350 м

от 25м до 350 м

от 25м до 500м

от 100м до 500 м

15. Теодолитной съемкой называется … (выбрать правильный ответ)

вертикальная съемка с изображением рельефа

горизонтальная съемка без изображения рельефа

горизонтальная съемкас изображением рельефа

вертикальная съемка без изображения рельефа

16. Что измеряют теодолитом при теодолитной съемке? (выбрать правильный ответ)

толькогоризонтальные углы

горизонтальные и вертикальные углы

тольковертикальные углы

только расстояния

17. Расхождение между двумя значениями угла, измеренных при двух положениях вертикального круга теодолита (КП и КЛ) не должно превышать …: (выбрать правильный ответ)

4'

5'

2'

10'

18. Длины линий теодолитного хода измеряются… (что неверно?)

буссолью

стальной мерной лентой

лазерной рулеткой с отражателем

дальномером

19. Теоретическая сумма углов замкнутого полигона для внутренних измеренных углов вычисляется по формуле: (выбрать правильный ответ)

βтеор.=180°(n+2)

βтеор.=360°(n-2)

βтеор.=360°(n+2)

20. Величина угловой невязки теодолитного хода вычисляется по формуле: (выбрать правильный ответ)

fβ = βизм. + βтеор.

.

fβ = 180°(βизм. – βтеор.)

fβ = 180°(βизм. + βтеор.)

21. Допустимая невязка теодолитного хода вычисляется по формуле: (выбрать правильный ответ)

fβдоп. = ±5´

fβдоп. = ±1´

fβдоп. = ±10´

fβдоп. = ±2´

22. Угловая невязка раскидывается поровну на все углы полигона с противоположным знаком по формуле: (выбрать правильный ответ)

Vβ = - / n

Vβ = - fβ / 2

Vβ = + fβ / 2

23. Дирекционные углы сторон полигона(при измеренных наружных горизонтальных углах) вычисляются по формуле:: (выбрать правильный ответ)

αn = αn-1 - βn +180°

αn = αn-1 + βn -180°

αn = αn-1 + βn -360°

αn = αn-1 + βn -360°

24. Приращения координат вычисляют по формуле: (выбрать правильный ответ)

∆Х = d Sinα; ∆У = d Cosα,

∆Х = d tg α; ∆У = d Sinα,

∆Х = d Cosα; ∆У = d Sinα,

∆Х = d Cosα; ∆У = d tg α,

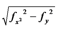
25. Формула для вычисления абсолютной невязки теодолитного хода: (выбрать правильный ответ)

fабс. = ±10

fабс. = ±

fабс. = ±

fабс. = ±5

26. Контролем вычисления дирекционных углов замкнутого хода служит получение в конце расчетов дирекционного угла … стороны теодолитного хода (вставить слово).

предыдущей

исходной

последующей

конечной

27. Знаки приращений координат в I-ой четверти: (выбрать правильный ответ)

∆Х +; ∆У +

∆Х –; ∆У +

∆Х +; ∆У –

∆Х –; ∆У –

28. Знаки приращений координат во II-ой четверти: (выбрать правильный ответ)

∆Х +; ∆У +

∆Х –; ∆У +

∆Х +; ∆У –

∆Х –; ∆У –

29. Знаки приращений координат в III-ей четверти: (выбрать правильный ответ)

∆Х +; ∆У +

∆Х –; ∆У +

∆Х +; ∆У –

∆Х –; ∆У –

30. Знаки приращений координат в IV-ой четверти: (выбрать правильный ответ)

∆Х +; ∆У +

∆Х –; ∆У +

∆Х +; ∆У –

∆Х –; ∆У –

31. Сумма приращений координат в замкнутом теодолитном ходе теоретически равна … (выбрать правильный ответ)

0.10 м

0.00 м

0.20 м

0.05 м

32.Относительная невязка хода является критерием оценки точности теодолитного хода и вычисляется по формуле: (выбрать правильный ответ)

fотн. =

fотн. =


fотн. =

fотн. =

33. Если это условие выполняется, то невязки fх и fу распределяются с … знаком по всем приращениям координат пропорционально длинам сторон хода: (вставить слово)

с обратным

с тем же

с положительным

с отрицательным

34.Координаты точек хода определяются по известным координатам … точки хода и исправленным приращениям координат: (вставить слово)

конечной

исходной

промежуточной

внутренней

35.Координаты точек хода определяются по формуле: (что верно?)

Хn = Хn-1 +∆ Х ; Уn = Уn-1 + ∆У

Хn = Хn-1 -∆Х; Уn = Уn-1 - ∆У

Хn = Хn-1 -∆Х; Уn = Уn-1 + ∆У

Хn = Хn-1 +∆Х; Уn = Уn-1 - ∆У

36. Горизонтальная съемка местности выполняется от вершин и сторон теодолитного хода с помощью … технической точности: (выбрать правильный ответ)

нивелира

отсчетного микроскопа

нитяного дальномера







Date: 2015-09-18; view: 760; Нарушение авторских прав



mydocx.ru - 2015-2026 year. (0.383 sec.) Все материалы представленные на сайте исключительно с целью ознакомления читателями и не преследуют коммерческих целей или нарушение авторских прав - Пожаловаться на публикацию