Главная Случайная страница


Полезное:

Как сделать разговор полезным и приятным Как сделать объемную звезду своими руками Как сделать то, что делать не хочется? Как сделать погремушку Как сделать так чтобы женщины сами знакомились с вами Как сделать идею коммерческой Как сделать хорошую растяжку ног? Как сделать наш разум здоровым? Как сделать, чтобы люди обманывали меньше Вопрос 4. Как сделать так, чтобы вас уважали и ценили? Как сделать лучше себе и другим людям Как сделать свидание интересным?


Категории:

АрхитектураАстрономияБиологияГеографияГеологияИнформатикаИскусствоИсторияКулинарияКультураМаркетингМатематикаМедицинаМенеджментОхрана трудаПравоПроизводствоПсихологияРелигияСоциологияСпортТехникаФизикаФилософияХимияЭкологияЭкономикаЭлектроника






Составление ведомости прямых и кривых





 

Зная первоначальное направление, пикетажные значения вершин углов поворота и точек начала и конца кривых, название (правый или левый) и величину углов поворота, составляют ве­домость прямых и кривых, которая необходима для контроля вы­числений, связанных с положением трассы в плане и является ос­новным документом для разбивки трассы на местности.

Графа 1 заполняется через строку названиями элементов переломов трассы в плане.

Графа 2 заполняется пикетажными значениями переломов трассы в плане. Значения ПК0, ВУ№1 и ПК10 одинаковы для всех вариантов. Пикетажное значение ВУ№2 заносится в ведомость по результатам вычислений в третьем пункте методических указа­ний.

Графы 3, 4 заполняются значениями углов поворота.

Графы 5 — 9 заполняются значениями элементов кривых с подсчетом сумм.

Графы 10, 11 заполняются пикетажными значениями на­чала (НК) и конца (КК) кривых.

Графа 12 заполняется значениями длин прямолинейных участков трассы. Длины прямых вставок Р1, Р2 и Р3 вычисляются следующим образом (см. рис.5).

 


Рис. 5. Схема трассы


Таблица 2.

Ведомость прямых и кривых.

Номера точек Пикетажное значение Угол поворота Элементы кривых Пикетажное положение точек Прямая вставка Расстояние между ВУ Дирекционный угол   Румб
    правый     левый     R     Т     К     Д     Б     НК     КК
                             
ПК0 0+00.00                          
                      28,07 176.00 57 0 35′ СВ: 64 0 18′
ВУ-1 1+76.00 51 0 13     47,93 189,36 6,5 15.86 1+28,07 2+17,43        
                      342,61 575.04 108 0 48′ ЮВ: 70 0 52′
ВУ-2 7+44,54   63 0 11′   184,5 30,39 338,61 34.16 5+60,04 5+90,43        
                      409,57 594,07 45 0 37′ СВ: 56 0 52′
ПК10 10+00.00                          
Суммы           219,75 345,11       780,25 1345,11    

 

Контроль: ∑ Р = 780,25 ∑ S = 1345,11

+ ∑ К = 219,75 - ∑ Д = 345,11

L = 1000.00 L = 1000.00

 


 

Длина вставки Р 1вычисляется как разность пикетажных значений начала первой кривой и ПК0:

Р 1 = НК 1 - ПК 0.

Для нашего примера:

НК1 = ПК1 +28,07

- ПК0 = ПК0 +00.00

Р1 = ПК1 + 28,07 = 28,07

Длина вставки Р2 вычисляется как разность пикетажных значений начала второй кривой и конца первой:

Р2=НК2-КК1

Для нашего примера:

НК2 = ПК5 +60,04

- КК1 = ПК2 + 17,43

Р2= ПК3 + 42,61 = 342,61

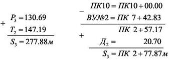
Так как по условиям задания общая длина трассы должна быть равна 10 пикетам, то третья прямая вставка определится:

Р3=ПК10-КК 2

ПК10 = ПК10 + 00.00

- КК2 = ПК5 + 90,43

Р3 = ПК4 + 9,57 = 409,57

В строке «Суммы» подсчитывается общая длина трех пря­мых вставок.

Графа 13 заполняется значениями расстояний между верши­нами углов поворотов S1, S2 и S3 (рис. 5). Значения S1 и S2 при­ведены в исходных данных.

Длина S3 определится суммированием P3 и T2 или разно­стью пикетажных значений конца трассы (ПК10) и ВУ№2 плюс номер второй кривой.

 

В строку «суммы» необходимо записать сумму расстояний между вершинами углов поворота (S1 + S2 + S3).

Графа 14 заполняется значениями дирекционных углов сторон трассы. Для вычисления дирекционных углов сторон ВУ№1 - ВУ№2 и ВУ№2 - ПК 10 используют исходный румб на­чальной стороны ПК0 — ВУ№1. Переведя исходный румб в дирекционный угол, вычисляют дирекционные углы всех после­дующих сторон по правилу: дирекционный угол последующего направления трассы равен дирекционному углу предыдущего на­правления плюс правый или минус левый угол поворота трассы.


 


В нашем случае:

Вычисленные по дирекционным углам румбы записываются в графу 15. В рассматриваемом примере они будут следующие:

r1-2 = ЮВ:700 52ʹ; r2-10 = СВ: 560 52ʹ

После заполнения ведомости прямых и кривых производит­ся контроль расчетов по формуле:

где L - общая длина трассы (1000 м).

Значения элементов формулы берутся из графы «суммы» ведомости прямых и кривых.

Для рассматриваемого примера контроль расчетов будет следующим:

Допустимое расхождение равно двум сантиметрам, что обу­словлено ошибкой округления при расчетах элементов кривых. Работа по разделу «Расчет пикетажа трассы» завершается устным отчетом с предъявлением расчетов элементов и пикетажных зна­чений главных точек кривых, ведомости прямых и кривых.

 







Date: 2015-09-18; view: 2322; Нарушение авторских прав



mydocx.ru - 2015-2026 year. (0.515 sec.) Все материалы представленные на сайте исключительно с целью ознакомления читателями и не преследуют коммерческих целей или нарушение авторских прав - Пожаловаться на публикацию