Главная Случайная страница


Полезное:

Как сделать разговор полезным и приятным Как сделать объемную звезду своими руками Как сделать то, что делать не хочется? Как сделать погремушку Как сделать так чтобы женщины сами знакомились с вами Как сделать идею коммерческой Как сделать хорошую растяжку ног? Как сделать наш разум здоровым? Как сделать, чтобы люди обманывали меньше Вопрос 4. Как сделать так, чтобы вас уважали и ценили? Как сделать лучше себе и другим людям Как сделать свидание интересным?


Категории:

АрхитектураАстрономияБиологияГеографияГеологияИнформатикаИскусствоИсторияКулинарияКультураМаркетингМатематикаМедицинаМенеджментОхрана трудаПравоПроизводствоПсихологияРелигияСоциологияСпортТехникаФизикаФилософияХимияЭкологияЭкономикаЭлектроника






Введение. Цель работы: сопоставление переходных процессов в плотности потока нейтронов и эмиссии запаздывающих нейтронов для выявления влияния выбранного описания





Цель работы: сопоставление переходных процессов в плотности потока нейтронов и эмиссии запаздывающих нейтронов для выявления влияния выбранного описания запаздывающих нейтронов (одна или шесть групп) на поведение критического ядерного реактора при скачкообразном изменении реактивности; условий, при которых одно групповое приближение в описании запаздывающих нейтронов дает близкий к истине (шесть групп) прогноз поведения ядерного реактора.

 

Введение

Система линейных дифференциальных уравнений, описывающих временное поведение плотности нейтронов в «точечном» приближении при изменении реактивности в реакторе с учетом запаздывающих нейтронов в отсутствии внешнего источника имеет общие решения, представляемые суммой экспонент:

Число слагаемых в решениях равно числу исходных уравнений. Если , то шесть слагаемых в решениях имеют экспоненциальные множители с отрицательными периодами (то есть эти слагаемые затухают) и одно слагаемое, содержащее экспоненциальный множитель с периодом, модуль которого больше модуля любого из отрицательных периодов, а знак совпадает со знаком реактивности. Именно это слагаемое определяет асимптотическое развитие нестационарного процесса, а соответствующий период называется асимптотическим. Приближение мгновенного скачка позволяет установить связь между плотностью нейтронов и концентрацией ядер-эмиттеров:

В одно групповом приближении:

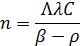
Эти соотношения идентичны, если

С помощью этого соотношения можно получить точное значение асимптотического периода :

Средняя постоянная распада эмиттеров запаздывающих нейтронов зависит от реактивности (т.к. относительные концентрации ядер-эмиттеров различных групп зависят от величины изменения реактивности).

При реактивности постоянная распада слабо зависит от реактивности может быть принята средней величине при нулевой реактивности: .

Модель в одно групповом приближении может обеспечить достаточно точное описание процессов в случае, когда .

 

 







Date: 2015-09-18; view: 327; Нарушение авторских прав



mydocx.ru - 2015-2026 year. (1.094 sec.) Все материалы представленные на сайте исключительно с целью ознакомления читателями и не преследуют коммерческих целей или нарушение авторских прав - Пожаловаться на публикацию