Главная Случайная страница


Полезное:

Как сделать разговор полезным и приятным Как сделать объемную звезду своими руками Как сделать то, что делать не хочется? Как сделать погремушку Как сделать так чтобы женщины сами знакомились с вами Как сделать идею коммерческой Как сделать хорошую растяжку ног? Как сделать наш разум здоровым? Как сделать, чтобы люди обманывали меньше Вопрос 4. Как сделать так, чтобы вас уважали и ценили? Как сделать лучше себе и другим людям Как сделать свидание интересным?


Категории:

АрхитектураАстрономияБиологияГеографияГеологияИнформатикаИскусствоИсторияКулинарияКультураМаркетингМатематикаМедицинаМенеджментОхрана трудаПравоПроизводствоПсихологияРелигияСоциологияСпортТехникаФизикаФилософияХимияЭкологияЭкономикаЭлектроника






Критерий Стьюдента для зависимых выборок





Рассмотрим теперь случай зависимых выборок. Это такие массивы данных, в которых каждому числовому значению одной выборки обязательно соответствует парное, причинно и следственно связанное, значение другой выборки. Это имеет место, когда какие-либо характеристики состояния организма регистрируются до некоторого воздействия на него и после или при разных вариантах воздействия, но обязательно у одних и тех же людей. Простейший пример, когда у некой группы людей измерили частоту пульса и величину артериального давления, потом попросили сделать, скажем, 20 приседаний, и провели те же измерения повторно. Понятно, что реакция сердечно-сосудистой системы каждого человека будет весьма индивидуальной, причем результаты измерений, полученные «после того», будут находиться в причинной и «исторической» связи с исходным состоянием «до того», т.е. в зависимости от них.

В этом случае при обнаружении ненулевой разницы выборочных средних результатов «до того» и «после того» также рассчитывается критерий

Однако, величина рассчитывается иным образом:

- это разница парных вариант: , квадрат которой, как видно из формулы, суммируется по всем парам.

Величина в данном случае зависит от того, насколько однородно будет изменяться измеряемая характеристика у разных объектов исследуемой группы. Действительно, если различие в каждой паре значений, полученных «до» и «после», будет нестабильно ( примерно с одинаковой вероятностью будет иметь то положительный, то отрицательный знак) или малосущественно (достаточно часто будут появляться нулевые парные разницы), то разница выборочных средних , естественно, будет стремиться к нулю. При этом непременно окажется больше нуля, даже в том крайнем случае, когда среди всех сравниваемых пар будет только одна единственная ненулевая разница. Напротив, если все парные различия будут иметь один и тот же знак (будут однонаправленными), то выборочные средние «до» и «после» существенно разойдутся на числовой оси и, соответственно, величина d окажется достаточно велика. Это приведет к снижению и, следовательно, увеличению критерия Стьюдента.

Проверка справедливости гипотез при этом производится так же, как и для независимых выборок:

- если , то различие выборочных средних признается статистически значимым;

- если , разница признается незначимой.

Различие лишь в том, что число степеней свободы для определения табличного значения в данном случае составляет , где n – число сравниваемых пар.

 

Упомянем также о ситуации, когда для установления достоверности различия средних результатов никаких расчетов с применением критерия Стьюдента просто не требуется. Это возможно в ситуации, когда максимальное значение одного из сравниваемых выборочных вариационных рядов заведомо меньше минимального значения другого вариационного ряда. Иными словами, значения обоих выборок занимают совершенно разные, не накладывающиеся друг на друга даже частично области на числовой оси. Если такое имеет место, то критерий Стьюдента лишь подтвердит заведомую достоверность различий средних значений сравниваемых выборок. Однако, такая «экспресс-оценка» достоверности возможна лишь в том случае, если сравниваемые выборки достаточно представительны – имеют объем порядка полутора десятков значений или более.

 

Критерий Фишера – критерий сравнения выборочных дисперсий.

На практике часто встречается ситуация, когда факторы, влияющие на состояние изучаемых объектов, вызывают не только и даже не столько сдвиг этих характеристик на числовой оси, сколько усиливают или ослабляют их межиндивидуальное разнообразие.

Количественным индикатором этих изменений является различие выборочных дисперсий. Однако, как всякая выборочная числовая характеристика, выборочная дисперсия величина случайная. Следовательно, наблюдаемое различие дисперсий тоже может оказаться случайным. Таким образом, к выборочным оценкам дисперсии полностью приложимы все те рассуждения, о которых шла речь при обсуждении источников различия выборочных средних.

Дисперсия имеет распределение (распределение Пирсона), поэтому для ее анализа критерий Стьюдента неприменим. Для того, чтобы приблизить распределение к нормальному рассматривают разность логарифмов сравниваемых дисперсий, которая обозначается символом Z:

Величина Z имеет нормальное распределение и, соответственно, к ней может быть применен критерий Стьюдента.

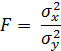
На практике часто рассматривают отношение F большей из сравниваемых дисперсий к меньшей (следуя свойствам логарифмов):


Полученная величина критерия сравнивается с критическим табличным значением. И также как в предыдущих рассуждениях, нулевая гипотеза либо отвергается и различие выборочных дисперсий считается статистически достоверным, либо делается вывод, что нулевую гипотезу отвергнуть нельзя и разница выборочных дисперсий находится в границах практически возможных случайных колебаний.







Date: 2015-09-05; view: 700; Нарушение авторских прав



mydocx.ru - 2015-2026 year. (1.414 sec.) Все материалы представленные на сайте исключительно с целью ознакомления читателями и не преследуют коммерческих целей или нарушение авторских прав - Пожаловаться на публикацию