Главная Случайная страница


Полезное:

Как сделать разговор полезным и приятным Как сделать объемную звезду своими руками Как сделать то, что делать не хочется? Как сделать погремушку Как сделать так чтобы женщины сами знакомились с вами Как сделать идею коммерческой Как сделать хорошую растяжку ног? Как сделать наш разум здоровым? Как сделать, чтобы люди обманывали меньше Вопрос 4. Как сделать так, чтобы вас уважали и ценили? Как сделать лучше себе и другим людям Как сделать свидание интересным?


Категории:

АрхитектураАстрономияБиологияГеографияГеологияИнформатикаИскусствоИсторияКулинарияКультураМаркетингМатематикаМедицинаМенеджментОхрана трудаПравоПроизводствоПсихологияРелигияСоциологияСпортТехникаФизикаФилософияХимияЭкологияЭкономикаЭлектроника






Расчет главной балки





Распределенная нагрузка на балку:

Максимальные значения изгибающего момента и поперечной силы равны:

Здесь α=1,02…1,05 – коэффициент, учитывающий собственный вес балки.

Требуемый момент сопротивления сечения балки:

Минимальная высота сечения балки:

Ориентировочная толщина стенки:

Назначаем

Оптимальная высота сечения балки:

Толщина стенки из условия среза:

Для обеспечения местной устойчивости стенки без дополнительного укрепления ее продольным ребром толщина стенки должна быть:

Принимаем сечение стенки 990×10 мм.

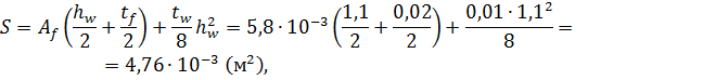
Требуемая площадь сечения одного пояса:

Здесь h=99 см – ориентировочная высота сечения балки. Учитывая, что мм, и принимая во внимание условие местной устойчивости пояса , назначаем сечение пояса 290×20 мм с м2.

Проверим прочность принятого сечения.

Момент инерции сечения балки:

Максимальные напряжения:

Проверяем несущую способность балки исходя из устойчивости стенки в области пластических деформаций балки в месте действия максимального момента, где Q и :

Расчет на устойчивость стенок балок симметричного сечения с учетом развития пластических деформаций при , выполняем по формуле:

Так как , то требуется укрепление стенки балки поперечными ребрами жесткости с шагом .

Определяем расстояния между основными поперечными ребрами жесткости:

Так как

то жесткость балки обеспечена.

Собственный вес балки на 1 м2 площади составляет:

где 0,0226 м2 – площадь поперечного сечения; 7 м – шаг балок.

 







Date: 2015-09-05; view: 411; Нарушение авторских прав



mydocx.ru - 2015-2026 year. (2.169 sec.) Все материалы представленные на сайте исключительно с целью ознакомления читателями и не преследуют коммерческих целей или нарушение авторских прав - Пожаловаться на публикацию