Главная Случайная страница


Полезное:

Как сделать разговор полезным и приятным Как сделать объемную звезду своими руками Как сделать то, что делать не хочется? Как сделать погремушку Как сделать так чтобы женщины сами знакомились с вами Как сделать идею коммерческой Как сделать хорошую растяжку ног? Как сделать наш разум здоровым? Как сделать, чтобы люди обманывали меньше Вопрос 4. Как сделать так, чтобы вас уважали и ценили? Как сделать лучше себе и другим людям Как сделать свидание интересным?


Категории:

АрхитектураАстрономияБиологияГеографияГеологияИнформатикаИскусствоИсторияКулинарияКультураМаркетингМатематикаМедицинаМенеджментОхрана трудаПравоПроизводствоПсихологияРелигияСоциологияСпортТехникаФизикаФилософияХимияЭкологияЭкономикаЭлектроника






Объем шара





 

Объем шара равен объему пирамиды, основание которой имеет ту же площадь, что и поверхность шара, а высота есть радиус шара

 

Объем шара в полтора раза меньше, чем объем описанного вокруг него цилиндра

 

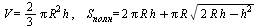
Объем шара и площадь сферы выражаются формулами где R — радиус шара

 

Шаровой сегмент — эта часть шара, отсеченная от него плоскостью (рис.)

Сегментная поверхность — это часть сферы, отсекаемая плоскостью

Объем шарового сегмента и площадь сегментной поверхности находятся по формулам , где R — радиус шара, а h — высота шарового сегмента.

 

Шаровой сектор — это тело вращения плоского кругового сектора вокруг его оси симметрии (рис.).

 

Шаровой сектор можно составить из конуса и шарового сегмента.

 

Полная поверхность шарового сектора состоит из сегментной поверхности и боковой поверхности конуса.

Объем и площадь полной поверхности шарового сектора выражаются так:

где R — радиус шара, h - высота шарового сегмента.

Шаровой слой — это часть шара, вырезаемая из него двумя параллельными плоскостями.

Объем и площадь полной поверхности шарового слоя находятся по формулам , где h — высота, — радиусы оснований шарового слоя.







Date: 2015-09-05; view: 423; Нарушение авторских прав



mydocx.ru - 2015-2026 year. (0.518 sec.) Все материалы представленные на сайте исключительно с целью ознакомления читателями и не преследуют коммерческих целей или нарушение авторских прав - Пожаловаться на публикацию