Главная Случайная страница


Полезное:

Как сделать разговор полезным и приятным Как сделать объемную звезду своими руками Как сделать то, что делать не хочется? Как сделать погремушку Как сделать так чтобы женщины сами знакомились с вами Как сделать идею коммерческой Как сделать хорошую растяжку ног? Как сделать наш разум здоровым? Как сделать, чтобы люди обманывали меньше Вопрос 4. Как сделать так, чтобы вас уважали и ценили? Как сделать лучше себе и другим людям Как сделать свидание интересным?


Категории:

АрхитектураАстрономияБиологияГеографияГеологияИнформатикаИскусствоИсторияКулинарияКультураМаркетингМатематикаМедицинаМенеджментОхрана трудаПравоПроизводствоПсихологияРелигияСоциологияСпортТехникаФизикаФилософияХимияЭкологияЭкономикаЭлектроника






Математическая модель одноступенчатой холодильной установки

Цель работы: создание математической модели одноступенчатой холодильной машины; исследование задач, к которым приводит данная модель; проведение численного эксперимента.

 

Задачи:

- Определение объемной производительности компрессора;

- Подбор компрессора;

- Определение тепловой нагрузки на конденсатор;

- Подбор конденсатора;

- Подбор испарителя;

- Определение холодопроизводительности;

 

Математическая модель – условное описание некоторого материального объекта, взаимодействия его составных частей между собой и внешним миром с помощью языка программирования.

Исходные данные:

Температура воздуха в камере: tkm = -18°С;

Температура окружающей среды: tv1 = 30°С;

Холодильный агент: R22;

 

Определить: каков будет установившейся режим в виде зависимости холодопроизводительности от температуры окружающей среды и температуры в камере.

       
   
 

 

 


Рисунок 1 Схема холодильной машины Рисунок 2 Цикл холодильной машины

Решение:

На первоначальном этапе, зададимся средней логарифмической разностью температур °С для определения температуры конденсации и разностью температур на холодном конце испарителя Δt=5 °C для определения температуры кипения R22:

;

;

tk = 30+10=40 °С;

t0 = -18-5 = -23°С;

Используя пакет Refrigeration Utilities, строим несколько циклов холодильной машины, схема которой и простейший цикл представлены на рисунке1 и на рисунке 2 соответственно, начиная с температуры кипения от 10 до -40°С с шагом 10°С, определяем энтальпию в точке 1(всасывание в компрессор) и устанавливаем характер этой зависимости, используя такое понятие, как интерполяция:

 

 

кДж/кг.

 

 

По аналогии определяем энтальпию в точке 4 (вход хладагента в испаритель), задаваясь температурой конденсации t2:

кДж/кг.

 

Процесс 3 - 4 – дросcелирование (i=const): =249.674 кДж/кг.

 

Значения давлений р1 и pk определим, интерполируя по температуре кипения t0 и температуре конденсации t2 соответственно:

бар;

 

 

бар;

 

Также путем интерполяции определяем плотность холодильного агента 𝜌 по температуре кипения t0:

           
   
   
 
 

 

 


кг/м3.

 

Далее определяем адиабатный КПД, который зависит от температуры кипения t0 и температуры конденсации tk, для этого необходимо интерполировать адиабатный кпд по степени повышения давления p:

 

Энтальпию в точке 2s (i2s)определим, интерполируя по температуре конденсации t2 и температуре кипения t0 – процесс изоэнтропного сжатия в компрессоре:

       
   

 

 


кДж/кг.

 

Коэффициент подачи компрессора ηv,учитывающий влияние мертвого пространства, дроссельных потерь на тракте всасывания, теплообмена, неплотностей в рабочей полости, определим, интерполируя по температуре кипения t0 и температуре конденсации t2:

 

 

Энтальпия точки 2:

, кДж/кг.

 

Параметры в узловых точках цикла:

кДж/кг;

кДж/кг;

кДж/кг;

кДж/кг;

кДж/кг;

 

Определим адиабатную работу цикла:

кДж/кг.

 

Действительная работа цикла:

кДж/кг.

 

Подобрав компрессор, удовлетворяющий требуемой характеристики, выписываем следующие параметры для определения объемной производительности:

- диаметр поршня м;

- ход поршня м;

- частота вращения коленвала об/мин;

- число цилиндров;

м3/с.

 

Массовая производительность компрессора:

кг/с.

 

Определяем предварительную холодопроизводительность цикла:

кВт;

 

Предварительная теплота конденсации цикла:

кВт.

 

 

Конденсатор

Определив теплоту конденсации, подбираем воздушный конденсатор, который имеет следующую характеристику:

- внутренний диаметр труб м;

- наружный диаметр труб м;

- трубы медные с коэффициентом теплопроводности Вт/м·К;

- площадь поверхности м2;

- площадь внутренней поверхности м2;

-шаг труб в пучке м;

- толщина ребер м;

- шаг ребер м;

- коэффициент оребрения;

- число труб в направлении потока;

- число секции;


- живое сечение м2;

-высота ребер м;

 

 

Параметры воздуха:

- температура воздуха °С; = 303,15 К;

- давление воздуха Па;

- газовая постоянная воздуха; Дж/кг · моль;

- теплоемкость воздуха кДж/кг·К;

- плотность воздуха, кг/м3;

- скорость воздуха м/с;

 

Определяем массовый расход воздуха, кг/с.

Для уточнения ранее принятой температуры конденсации tk, составим цикл. Для этого необходимо предварительно задаться значением температуры tk1 и впоследствии ее уточнить. Условием является следующее выражение:

.

 

если оно не выполняется, то принимаем замену tk1=tk и повторяем расчет. Данный цикл будет выполняться то тех пор, пока не выполнится это условие.

       
   
 
 

 

 


°С – уточненное значение температуры конденсации.

 

Теплофизические свойства воздуха находим, интерполируя по средней температуры воздуха:

 

- Теплопроводность

 

 

, Вт/м· К

 

- Кинематическая вязкость

 

 

Теплофизические свойства холодильного агента от температуры конденсации:

-Динамическая вязкость

Па ·с;

 

-Теплопроводность

Вт/м·К.

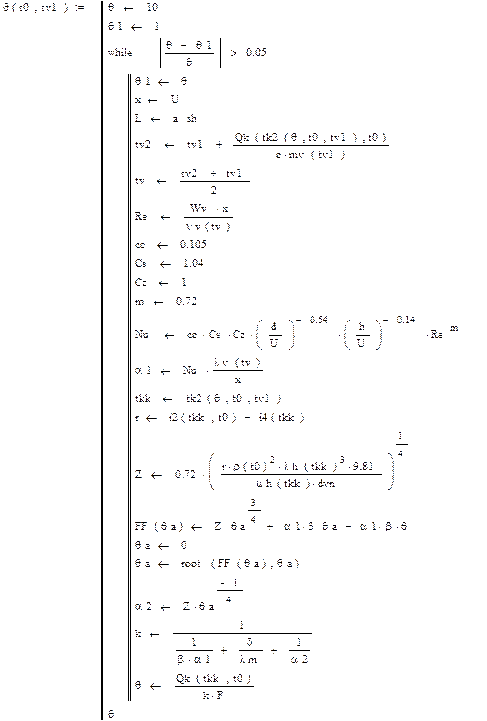
Чтобы рассчитать плотность теплового потока со стороны воздуха, необходимо определить коэффициенты теплоотдачи, как со стороны воздуха, так и со стороны холодильного агента. Для этого организуем следующий цикл, благодаря которому получим уточненное значение средней логарифмической разности между воздухом и хладагентом, исходя из равенства тепловых потоков. При этом воспользуемся тем же приемом, что и при определении температуры конденсации. Зададимся значением θ1 и в последующем ее уточним. Условием является следующее выражение:

.

Данный цикл будет выполняться до тех пор, пока не выполнится это условие.

 

°С – уточненное значение средней логарифмической разности температур.

 

Уточненная холодопроизводительность цикла:

= 45,969 кВт.

Испаритель

Характеристики теплопередающей поверхности аналогичны конденсатору.

Параметры воздуха:

- температура воздуха в камере: = 255,15 К;

- давление в камере Па;

- плотность воздуха в камере

, кг/м3;
- скорость воздуха в камере м/с;

 

Определим массовый расход воздуха:

кг/с;

 

Ранее принятая для предварительных расчетов средняя логарифмическая разность температур между воздухом и холодильном агентом равна: °С.

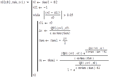
Определим температуру кипения, предварительно задавшись температурой t01, организовав следующий цикл. Условием этого цикла является следующее выражение:

.

 

Этот цикл повторяется до тех пор, пока не выполнится условие.

° С - уточненное значение температуры кипения.

 

Теплофизические свойства воздуха определяем путем интерполяции по средней температуре:

-Теплопроводность

 

Вт/м·К.

-Кинематическая вязкость

 

м2/с.

Чтобы рассчитать плотность теплового потока со стороны воздуха, организуем следующий цикл, благодаря которому получим уточненное значение средней логарифмической разности между воздухом и хладагентом, исходя из равенства тепловых потоков. Зададимся значением θ1 и в последующем ее уточним. Условием является следующее выражение:


.

Данный цикл будет выполняться то тех пор, пока не выполнится это условие.

 

°С – уточненное значение θ2.

=40,285 °С – окончательное значение температуры конденсации.

=-23 °С – окончательное значение температуры кипения.

Окончательные значения теплоты конденсации и холодопроизводительности:

кВт;

кВт;

 

Графики зависимостей теплоты конденсации и холодопроизводительности от температуры окружающей среды и температуры камеры

 

Рис1- График зависимости тепловой нагрузки на конденсатор от температуры конденсации и окружающей среды.

Рис2- График зависимости холодопроизводительности от температуры конденсации и окружающей среды.

 

 

Вывод: Согласно построенным графикам, при увеличении температуры воздуха в камере и увеличении температуры окружающей среды (воздуха), холодопроизводительность и теплота конденсации увеличиваются.

 

Содержание

 

1. Цель

2. Задача

3. Тепловой расчет

3.1. Компрессор

3.2. Конденсатор

3.3. Испаритель

4. Графики зависимостей холодопроизводительности и теплоты конденсации от температуры окружающей среды

 

 

Министерство образования и науки РФ

Федеральное государственное бюджетное образовательное учреждение

Высшего профессионального образования

Казанский национальный исследовательский технологический университет

(ФГБОУ ВПО КНИТУ)

 

Кафедра холодильной техники и технологии

 

Задача по предмету ММУХКТС

 

Руководители: Мустафин Т.Н

Якупов Р.Р.

 

Исполнитель:

студентка гр. 2391-15 Шамина П.С.

 

г. Казань, 2013г.

Министерство образования и науки РФ

Федеральное государственное бюджетное образовательное учреждение

Высшего профессионального образования

Казанский национальный исследовательский технологический университет

(ФГБОУ ВПО КНИТУ)

Кафедра холодильной техники и технологии

 

Задача по предмету ММУХКТС

 

 

Руководители: Мустафин Т.Н.

Якупов Р.Р.

 

Исполнитель:

студентка гр. 2391-15 Калимуллина Р.М.

 

г. Казань, 2013г.

Министерство образования и науки РФ

Федеральное государственное бюджетное образовательное учреждение

Высшего профессионального образования

Казанский национальный исследовательский технологический университет

(ФГБОУ ВПО КНИТУ)

Кафедра холодильной техники и технологии

 

Задача по предмету ММУХКТС

 

 

Руководители: Мустафин Т.Н.

Якупов Р.Р.

 

Исполнитель:

студент гр. 2391-15 Назаров Д.А.

 

г. Казань, 2013г.



<== предыдущая | следующая ==>
Особенности примитивного мышления | Структура отчёта, требования к оформлению и содержанию





Date: 2015-09-05; view: 2239; Нарушение авторских прав



mydocx.ru - 2015-2026 year. (1.484 sec.) Все материалы представленные на сайте исключительно с целью ознакомления читателями и не преследуют коммерческих целей или нарушение авторских прав - Пожаловаться на публикацию