Главная
Случайная страница
Полезное:
Как сделать разговор полезным и приятным
Как сделать объемную звезду своими руками
Как сделать то, что делать не хочется?
Как сделать погремушку
Как сделать так чтобы женщины сами знакомились с вами
Как сделать идею коммерческой
Как сделать хорошую растяжку ног?
Как сделать наш разум здоровым?
Как сделать, чтобы люди обманывали меньше
Вопрос 4. Как сделать так, чтобы вас уважали и ценили?
Как сделать лучше себе и другим людям
Как сделать свидание интересным?
Категории:
АрхитектураАстрономияБиологияГеографияГеологияИнформатикаИскусствоИсторияКулинарияКультураМаркетингМатематикаМедицинаМенеджментОхрана трудаПравоПроизводствоПсихологияРелигияСоциологияСпортТехникаФизикаФилософияХимияЭкологияЭкономикаЭлектроника
|
Определение степени смешения и разбавления сточных вод водой водоёма
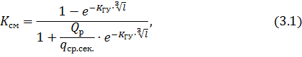
Коэффициент смешения по методу В.А. Фролова и И.Д. Родзиллера определяется по формуле

| где
|
| – основание натурального логарифма,
| |
|
| – коэффициент, учитывающий гидравлические условия в водотоке и определяемый по формуле (3.2);
| |
|
| – расстояние от места выпуска отводимых сточных вод до контрольного створа по фарватеру водотока, м, определяется по формуле (3.5);
| |
|
| – расчётный расход воды водотока (по заданию). За рас-чётный расход водотока принимается расход реки 95%-ой обеспеченности,
| |
|
| – расход сточных вод, отводимых в водоток,
|
Коэффициент, учитывающий гидравлические условия в водотоке определяется по формуле

| где
|
| – коэффициент извилистости реки (по заданию), ;
| |
|
| – коэффициент, зависящий от типа выпуска сточных вод. Если сточная вода выпускается у берега, то -береговой выпуск. При использовании русловых выпусков сточных вод ;
| |
|
| – коэффициент турбулентной диффузии, м2/с, определяется по формуле (3.3).
|
Коэффициент турбулентной диффузии , м2/с, определяется по формуле

| где
|
| – ускорение свободного падения, ;
| |
|
| – средняя скорость течения водотока (по заданию), м/с;
| |
|
| – средняя глубина воды в водотоке (по заданию на проектирование),
| |
|
| – коэффициент шероховатости ложа водотока,
| |
|
| – коэффициент Шези, м0,5/с, определяется по формуле (3.4).
|
Коэффициент Шези , м0,5/с, определяется по формуле

| где
|
| – гидравлический радиус водотока, принимаемый равным глубине водотока, .
|



Расстояние от места выпуска отводимых сточных вод до контрольного створа по фарватеру водотока , м, определяется по формуле

| где
|
| – расстояние от места выпуска отводимых сточных вод до контрольного створа водотока по прямой =500м.
|


Определяем кратность разбавления отводимых сточных вод по формуле


Date: 2015-09-05; view: 1313; Нарушение авторских прав | Понравилась страница? Лайкни для друзей: |
|
|