Главная Случайная страница


Полезное:

Как сделать разговор полезным и приятным Как сделать объемную звезду своими руками Как сделать то, что делать не хочется? Как сделать погремушку Как сделать так чтобы женщины сами знакомились с вами Как сделать идею коммерческой Как сделать хорошую растяжку ног? Как сделать наш разум здоровым? Как сделать, чтобы люди обманывали меньше Вопрос 4. Как сделать так, чтобы вас уважали и ценили? Как сделать лучше себе и другим людям Как сделать свидание интересным?


Категории:

АрхитектураАстрономияБиологияГеографияГеологияИнформатикаИскусствоИсторияКулинарияКультураМаркетингМатематикаМедицинаМенеджментОхрана трудаПравоПроизводствоПсихологияРелигияСоциологияСпортТехникаФизикаФилософияХимияЭкологияЭкономикаЭлектроника






Холостой ход син­хронного генератора





Рис. 11.19

При холостом ходе обмотка якоря (статора) разомкнута и магнитное поле ма­шины создается только обмоткой возбуждения ротора (рис. 11.19). Форма нако­нечников полюсов ротора выполняется такой, чтобы распределение магнитной ин­дукции в воздушном зазоре было близким к синусоидальному. Если выполнить распределенную обмотку статора с укороченным ша­гом и соединенной ее в звезду, наведенная в каждой фазной обмотке ЭДС будет изменяться по синусоидальному закону. Ее действующее значение

, (11.49)

Рис. 11.20

где – обмоточный коэффициент; – число витков одной фазы обмотки статора; – частота синусоидальных ЭДС; – число пар по­люсов; – максимальный магнитный поток по­люса ротора; – синхронная частота вращения. Согласно (11.49) ЭДС статора при неизменной частоте пропорциональна потоку. Изменяя ток возбуждения, можно регулировать магнитный поток и ЭДС генератора.

Зависимость при называется харак­теристикой холостого хода (рис. 11.20). Она применяется при расчете других характеристик и анализе режимов работы синхронных генераторов и двигателей.

11.18. Реакция якоря синхронной машины

В машине, работающей под нагрузкой, магнитное поле создается в отли­чие от холостого хода не только в роторе, но и МДС токов статора. Эти МДС, вращаясь с одной и той же синхронной частотой, взаимодействуют между собой и образуют результирующее вращающееся магнитное поле машины. Воз­действие МДС статора на магнитное поле машины называется реакцией якоря.

Рассмотрим реакцию якоря на примере двухполюсного синхронного генера­тора с явновыраженными полюсами. На рис. 11.21 каждая фаза обмотки изображена в виде одного витка (АХ, ВY, СZ), северный полюс ротора обозначен буквой N, южный – буквой S, магнитные линии этого поля не пока­заны.

а) б) в)

Рис. 11.21

Рис. 11.21 а поясняет реакцию якоря при активной нагрузке, когда угол сдвига по фазе между ЭДС и током равен нулю. В этом положе­нии ЭДС и ток фазы А максимальны, а в фазах В и С равны половине от макси­мальных значений и противоположны по знаку (направление токов в верхней половине обмотки статора показано крестиками, в нижней – точками). Этим на­правлениям токов соответствует магнитное поле реакции якоря, основные ли­нии которого направлены поперек оси полюсов ротора. Они размагничивают набегающий край полюса и намагничивают сбегающий. При этом результи­рующий магнитный поток генератора поворачивается относи­тельно потока ротора на некоторый угол в направлении, противополож­ном направлению вращения ротора. Следовательно, при активной на­грузке ( = 0) реакция якоря синхронной машины является чисто поперечной.

Рис. 11.21 б соответствует фазовому сдвигу = 90°. В этом случае макси­мум тока в фазе А наступает в момент, когда ротор повернется на 90° по часовой стрелке. Ориентация потока реакция якоря осталась такой же, как на рис. 11.21 а, но теперь этот поток направлен навстречу потоку ротора по его продольной оси, т.е. при отстающем токе и = 90° реакция якоря действует по продольной оси и является по отношению к полю возбуждения размагничивающей.

Рис. 11.21 в соответствует опережающему току относительно ЭДС на угол = –90°. В этом случае максимум тока в фазе А наступает по сравнению с рис. 11.21 а на четверть периода раньше, когда ротор занимает по­ложение, повернутое на 90° против вращения, т.е. при опережающем токе и –90° реакция якоря действует по продольной оси и является по отношению к полю возбуждения намагничивающей.

В общем случае, когда 0 и 90°, ток можно разложить на составляющие:

по продольной оси ; (11.50)

 

по поперечной оси . (11.51)

Продольная составляющая тока якоря создает продольную реакцию якоря, а поперечная – поперечную реакцию якоря. Угол считается положитель­ным, когда ток отстает от ЭДС .

При работе синхронной машины в режиме двигателя ток в статоре имеет противоположное направление по сравнению с режимом генератора. Поэтому при = 0 ось результирующего потока оказывается повернутой относительно потока ротора на угол по направлению вращения ротора. При реакция якоря является продольной и намагничивающей, а при – продольной и размагничивающей.

Сравнение реакции якоря явнополюсных и неявнополюсных машин показы­вает, что принципиально они отличаются тем, что у неявнополюсных машин воз­душный зазор почти одинаковый вдоль продольной и поперечной осей ротора. По­этому и потоки реакции якоря по осям при одинаковых токах статора практически равны. У явнополюсных машин воздушный зазор вдоль поперечной оси во много раз больше, чем вдоль продольной оси. Поэтому при равных составляющих МДС якоря вдоль продольной и поперечной осей магнитный поток реакции якоря вдоль поперечной оси значительно меньше и составляет, примерно, 60 % от потока вдоль продольной оси.


11.19. Индуктивное сопротивление синхронной машины

Результирующий магнитный поток машины условно можно разделить на три составляющие: основной магнитный поток , поток рассеяния и поток реак­ции якоря . Основной магнитный поток наводит в обмотке статора ЭДС . Эта ЭДС представлена характеристикой холостого хода (рис. 11.20). Потоки и создаются током статора и пропорциональны ему. В обмотке статора эти потоки наводят ЭДС самоиндукции

,

где – индуктивность рассеяния и индуктивность реакции якоря.

В расчетах ЭДС и учитываются как падения напряжений на индуктив­ном сопротивлении рассеяния и на индуктивном сопротивле­нии реакции якоря . Сумму сопротивлений называют синхронным индуктивным сопротивлением. Такое определение соответствует неявнополюсным машинам. Для явнополюсных ма­шин этот параметр разделяют по осям и различают индексами – продольное син­хронное индуктивное сопротивление , поперечное синхронное индуктивное сопротивление , причем .

Синхронное индуктивное сопротивление в сотни раз больше активного сопротивления обмотки статора. В дальнейшем будем считать R = 0 и исполь­зовать параметр .

11.20. Схема замещения и упрощенная векторная диаграмма
ЭДС и МДС синхронного генератора

Схема замещения синхронного генератора с учетом принятых допущений представлена на рис. 11.22 в виде источника ЭДС с внутренним сопротивле­нием . Сопротивление нагрузки .

Уравнение цепи по второму закону Кирхгофа

.

Отсюда напряжение

. (11.52)

. (11.53)

Уравнениям (11.52) и (11.53) соответствует вектор­ная

диаграмма ЭДС на рис. 11.23.

Рис. 11.23

Ток статора отстает от ЭДС на угол , определяемый соотношением индуктивных и ак­тивных сопротивлений

.

Сдвиг вектора тока по отношению к вектору напряжения определяется па­раметрами нагрузки

.

Взаимосвязь векторов и осуществляется через вектор падения напря­жения , который строится под углом 90° к вектору . На этом же ри­сунке построена векторная диаграмма МДС. Вектор МДС ротора опережает вектор на 90°, вектор МДС якоря , приведенный к ротору, совпадает по фазе с током , а результирующая МДС опережает вектор напряжения на 90°.

Из диаграмм МДС и ЭДС следует, что режим работы синхронного генера­тора характеризуется углом между вектором напряжения и ЭДС и равным ему углом между результирующим магнитным потоком и потоком ро­тора . Это означает, что у генератора полюсы ротора вращаются впереди полюсов поля статора с опережением на угол .

11.21. Характеристики синхронного генератора при автономной
работе

Характеристика холостого хода была рассмотрена в параграфе 11.17.

Характеристика короткого замыкания представляет собой зависимость при U = 0 и . При допущении R = 0 из (11.52) следует, что ток короткого замыкания является чисто индуктивным и по модулю равен

. (11.54)

При коротком замыкании реакция якоря является размагничиваю­щий, результирующий магнитный поток мал, магнитная цепь ненасыщена и характеристика короткого замыкания прямолинейна (рис. 11.24).


Следует отметить, что в (11.54) и числитель и знаменатель пропорцио­нальны частоте вращения и поэтому характеристики короткого замыкания не зависят от частоты вращения, за исключением малых скоростей, когда оказывает влияние активное сопротивление обмотки статора.

Внешняя характеристика. Это зависимость напряжения генератора от тока нагрузки при , . Если принять на­чальное напряжение , то вид внешних характеристик будет соответство­вать рис. 11.25. При активно-индуктивной нагрузке ( < 1) поток реакции якоря размагничивает машину и напряжение уменьшается с увеличением тока на­грузки по кривой 1. При активной нагрузке ( = 1,0) поперечная реакция якоря также вызывает уменьшение напряжения (кривая 2). При активно-емко­стной нагрузке продольная намагничивающая реакция увеличивает ЭДС , следовательно, и напряжение (кривая 3).

  Рис. 11.24 Рис. 11.25

Регулировочная характеристика представляет собой зависимость при , , . Вид семейства регулировочных характери­стик показан на рис. 11.26, а их физический смысл объясняется действием ре­акции якоря при различном характере нагрузки. Обычно номинальным режи­мом работы генератора является = 0,8 (при индуктивной нагрузке). В этом случае для поддержания при переходе от холостого хода () к номинальной нагрузке () необходимо увеличить ток возбуждения в 1,7...2,2 раза.

11.22. Параллельная работа синхронного генератора с сетью

Рис. 11.26

Электрическая система большой мощности по отношению к генератору может быть представлена источником с неизменным напряжением. Режим ра­боты генератора можно проанализировать с помощью векторной диаграммы (рис. 11.23).

Мощность генератора

.

Путем преобразований можно доказать, что мощность синхронного генератора

.

Электромагнитный момент

,

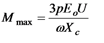
где или . (11.55)

Так как , то мощность и электромагнитный момент генератора при постоянном токе возбуждения зависят только от угла . Эта зави­симость синусоидальна и называется угловой характеристикой синхрон­ного генератора (рис. 11.27). При увеличении момента на валу первичного двигателя генератор от­дает в сеть большую мощность. Предельным значением является момент и мощность при = 90°, после чего генератор выпадает из синхронизма.

 

Рис. 11.27

 

Максимальные мощность и момент ; .

Рис. 11.28

Следовательно, регулиро­вать активную мощность генера­тора можно за счет первичного двигателя. Регулирование реактивной мощности гене­ратора осуществляется изменением тока возбуждения.

На рис. 11.28 показаны зави­симости тока статора от тока возбуждения, называемые U -образными характеристиками. Минимум тока статора соответст­вует активной нагрузке ( = 1,0). Перевозбуждение генератора означает гене­рирование реактивной мощности, невозбуждение – емкостный режим на­грузки.


Включение синхронного генератора на параллельную работу является от­ветственной операций и требует соблюдения следующих условий:

– напряжение включаемого генератора должно быть равно напряжению сети;

– частота генератора должна быть равной частоте сети;

Рис. 11.28

– чередование фаз генератора и сети должно быть одинаково;

– напряжения генератора и сети должны быть в фазе.

Для соблюдения этих условий применяют различные схемы синхронизации.

11.23. Работа синхронной машины в режиме синхронного двигателя

В отличие от синхронного генератора в синхронном двигателе ось полюсов ротора отстает от оси полюсов вращающегося магнитного поля статора на угол и электромагнитный момент определяется по уравнению (11.55). Уравнения электрического баланса аналогичны режиму генератора. Поэтому генератор и двигатель характеризуются общими закономерностями.

Активная мощность синхронного двигателя зависит от тормозного мо­мента на валу. При этом ЭДС отстает от напряжения на угол . Предель­ным моментом является наибольший электромагнитный момент, за которым синхронный режим нарушается.

Реактивная мощность синхронного двигателя регулируется изменением тока возбуждения. При недовозбуждении реактивная мощность имеет индук­тивный характер, при перевозбуждении – емкостный.

11.24. Синхронные автотракторные генераторы

В настоящее время широко применяют трехфазные синхронные генера­торы для электропитания бортовых приборов мобильных машин. Имеются несколько моди­фикаций их исполнения.

11.24.1. Вентильные генераторы с клювообразным ротором

Вентильный генератор (рис. 11.29) представляет собой синхронную ма­шину, имеющую ротор клювообразного типа, обмотку возбуждения, статор с малым числом пазов на фазу и станину. Принципиальная схема генератора с трехфазной мостовой схемой выпрямителя приведена на рис. 11.30.

Рис. 11.29

Рис. 11.30

11.24.2. Вентильные генераторы индукторного типа

Вентильные генераторы индукторного типа являются бесконтактными. Прин­цип действия показан на рис. 11.31 и 11.32. При вращении ротора положе­ние его зубцов по отношению к зубцам статора изменяется и магнитный поток пе­риодически изменяется от максимального до минимального значения. В витках ка­тушки статора индуктируется переменная ЭДС с частотой, пропорциональной час­тоте ротора

,

где – амплитудное значение ЭДС, – число витков в катушке и – число последовательно включенных катушек.

Действующее значение ЭДС фазы

,

Рис. 11.31 Рис. 11.32

где – число зубцов ротора.

Индукторные генераторы разделяют на аксиально-возбуждаемые (ка­тушки возбуждения расположены вдоль оси машины) и радиально-возбуждае­мые (катушки возбуждения расположены вдоль радиусов машины). В любом исполнении в синхронном индукторном генераторе обмотки якоря и возбужде­ния расположены неподвижно, т.е. не требуется подвижных контактов.

11.24.3. Автотракторные генераторы переменного тока
с постоянными магнитами

Генераторы переменного тока с постоянными магнитами представляют собой синхронные бесконтактные электрические машины с возбуждением от постоянных магнитов. Они надежны в работе, обладают высоким КПД, малой инерционностью, имеют малые помехи радиоприему. К недостаткам этих гене­раторов относятся высокая стоимость, масса и габаритные размеры, большой разброс характеристик, нестабильность выходных параметров, трудность регу­лирования напряжения при изменении частоты вращения ротора и нагрузки.

Автомобили и тракторы имеют различные приборы, которые работают независимо один от другого. Для ограничения влияния изменения сопротивле­ния нагрузки на напряжение генератора его электрические и магнитные цепи выполняют независимыми (рис. 11.33).

Рис. 11.33

Генератор, схема которого приведена на рис. 11.33 а, исключает взаимное влияние цепей и по существу соответствует трем генераторам с общим ротором. Разде­ление магнитных цепей неэффективено с точки зрения использования магнито­провода генератора. Поэтому в реальных машинах разделяют только электриче­ские цепи (рис. 11.33 б).

 

 

 







Date: 2015-09-05; view: 7615; Нарушение авторских прав



mydocx.ru - 2015-2026 year. (1.101 sec.) Все материалы представленные на сайте исключительно с целью ознакомления читателями и не преследуют коммерческих целей или нарушение авторских прав - Пожаловаться на публикацию