Главная Случайная страница


Полезное:

Как сделать разговор полезным и приятным Как сделать объемную звезду своими руками Как сделать то, что делать не хочется? Как сделать погремушку Как сделать так чтобы женщины сами знакомились с вами Как сделать идею коммерческой Как сделать хорошую растяжку ног? Как сделать наш разум здоровым? Как сделать, чтобы люди обманывали меньше Вопрос 4. Как сделать так, чтобы вас уважали и ценили? Как сделать лучше себе и другим людям Как сделать свидание интересным?


Категории:

АрхитектураАстрономияБиологияГеографияГеологияИнформатикаИскусствоИсторияКулинарияКультураМаркетингМатематикаМедицинаМенеджментОхрана трудаПравоПроизводствоПсихологияРелигияСоциологияСпортТехникаФизикаФилософияХимияЭкологияЭкономикаЭлектроника






Молоствов Роман





Вывод:

1. Естественные электромеханическая и механическая характеристики сняты при номинальных параметрах двигателя. Имеют нелинейный характер, расположены в первом квадранте.

Характерные точки электромеханической характеристики:

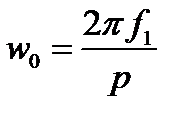
1) S=0, ω=ω0, I2`=0,I1=I0 – точка идеального холостого хода.

2) S=1, ω=0, I2=Iкз`=Iп – точка короткого замыкания.

3) S=-R2`/R1, ω=ω0(1-S1), I`2=Imax=Uф/Xk – точка максимального значения тока ротора, лежащая в области отрицательных скольжений.

4) S→±∞, ω→∞, I2`→ – асимптотическое значение тока ротора при бесконечно большом увеличении скольжения и скорости.

Характерные точки механической характеристики:

1) S=0, ω=ω0, M=0 – точка идеального холостого хода.

2) S=1, ω=0, M=Mкзп – точка короткого замыкания.

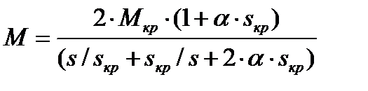
3) S=SкрДв,M=MкрДв, S=-SкрГ, M=-MкрГ – точки экстремума.

4) S→±∞, ω→∞, M→0 – асимптота механической характеристики, которой является ось скорости.

Механическую характеристику можно разделить на два участка

1-й участок – практически линейный (от скорости идеального холостого хода ω0 до скорости при Мк)

2-й участок – нелинейный (от скорости при Мк до скорости ω→-∞).

 

Формула для построения механической характеристики:

,где

Электромеханическая характеристика описывается выражением:

 

2. Реостатное регулирование (введение добавочного сопротивления в цепь статора). Этот способ применяется главным образом для регулирования (ограничения) в переходных процессах тока и момента АД с короткозамкнутым ротором. Включение R ведет к снижению токов статора и ротора т.е. все искусственные электромеханические характеристики располагаются в первом квадранте ниже и левее естественных. С увеличением R1 критический момент и критическое скольжение снижается. Скорость холостого хода не зависит от RД.

Данный способ обеспечивает небольшой диапазон изменения скорости; жесткость характеристики АД и его перегрузочная способность характеризуемая критическим моментом, по мере увеличения R1д снижается. Плавность и точность невысоки.

 

Формулы:

3. Режим торможения противовключением может быть получен при активном моменте нагрузки. Этот режим характерен тем, что направление моментов испытуемого и нагрузочного двигателей различны. Т.е. происходит переключение направления вращения испытуемого двигателя в противоположную сторону, и он из двигательного режима переходит в режим торможения противовключением. Характеристика лежит в четвертом квадранте.







Date: 2015-09-05; view: 552; Нарушение авторских прав



mydocx.ru - 2015-2026 year. (0.266 sec.) Все материалы представленные на сайте исключительно с целью ознакомления читателями и не преследуют коммерческих целей или нарушение авторских прав - Пожаловаться на публикацию