Главная Случайная страница


Полезное:

Как сделать разговор полезным и приятным Как сделать объемную звезду своими руками Как сделать то, что делать не хочется? Как сделать погремушку Как сделать так чтобы женщины сами знакомились с вами Как сделать идею коммерческой Как сделать хорошую растяжку ног? Как сделать наш разум здоровым? Как сделать, чтобы люди обманывали меньше Вопрос 4. Как сделать так, чтобы вас уважали и ценили? Как сделать лучше себе и другим людям Как сделать свидание интересным?


Категории:

АрхитектураАстрономияБиологияГеографияГеологияИнформатикаИскусствоИсторияКулинарияКультураМаркетингМатематикаМедицинаМенеджментОхрана трудаПравоПроизводствоПсихологияРелигияСоциологияСпортТехникаФизикаФилософияХимияЭкологияЭкономикаЭлектроника






Расчёт пустотной панели по нормальным сечениям





Расчёт ведём с размерами плиты:

;

;

1390 x 6180 мм.

Вычислим расчётную длину плиты, l расч, по формуле:

(10)

мм.


Значения величин распределённой нагрузки q и изгибающего момента M определим по формулам:

Изм.  
Лист
№ докум.
Подпись
Дата
Лист
 
И32.СК.-18-2014  

; (11)

(12)

кН/м2;

кНм.

Определим необходимые параметры сечения:

мм;

мм;

мм.

 

 


Рисунок 5 – Исходная и расчётная схемы пустотной плиты

Выполним расчёты по подбору диаметра арматуры.

Изм.  
Лист
№ докум.
Подпись
Дата
Лист
 
И32.СК.-18-2014  

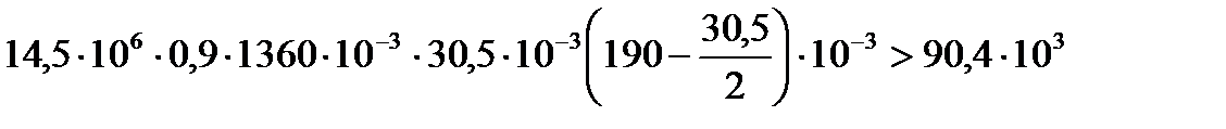
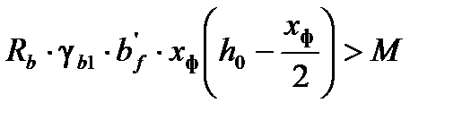
Проверим несущую способность по формуле:

(13)

где Rb прочность бетона на осевое сжатие, для В25 Rb = 14,5 МПа;

γ b 1 – коэффициент, учитывающий условия работы, при продолжительном действии нагрузки γ b 1 = 0,9;

– ширина полки в сжатой зоне, мм;

– высота полки в сжатой зоне, мм;

h 0 – рабочая высота сечения, которая вычисляется по формуле:

(14)

мм

M – изгибающий момент, M = 90,4 кН/м

 

,

следовательно условие выполняется.

(15)

Изм.  
Лист
№ докум.
Подпись
Дата
Лист
 
И32.СК.-18-2014  

Определим значения параметров ξ и η интерполяцией. При α m = 0,141 ξ = 0,152 и

η = 0,923.

Вычислим значение ξ R по формуле:

, (16)

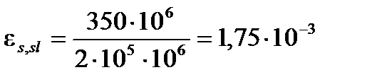
где ε s,el вычисляется по формуле:

(17)

где RS – расчётное сопротивление арматуры растяжению, для стали А400 RS = 350 МПа;

ES – модуль упругости арматуры, для стали А400 ES = 2∙105 Мпа.

Сравниваем ξ с ξ R:

ξ < ξ R

0,152 < 0,586

Вычислим площадь арматуры по формуле:

(18)

м2 = 1473 мм2

По таблице сортамента арматуры подберём сечение:

6ø18 мм, =1527 мм2;

 

8ø16 мм, =1608 мм2.

Остановим свой выбор на 6ø18 мм, как более оптимальной в данном случае. В дальнейшем расчёте принимаем =1527 мм2.

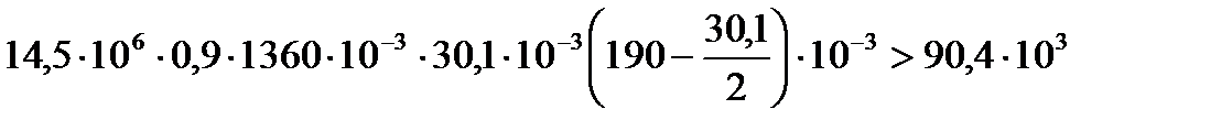
Определим x ф по формуле:

Изм.  
Лист
№ докум.
Подпись
Дата
Лист
 
И32.СК.-18-2014  
(19)

м = 30,1 мм

Проверим несущую способность плиты из условия:

(20)

Условие выполняется. Вариант армирования является подходит в данном случае.







Date: 2015-09-05; view: 582; Нарушение авторских прав



mydocx.ru - 2015-2026 year. (0.867 sec.) Все материалы представленные на сайте исключительно с целью ознакомления читателями и не преследуют коммерческих целей или нарушение авторских прав - Пожаловаться на публикацию