Главная Случайная страница


Полезное:

Как сделать разговор полезным и приятным Как сделать объемную звезду своими руками Как сделать то, что делать не хочется? Как сделать погремушку Как сделать так чтобы женщины сами знакомились с вами Как сделать идею коммерческой Как сделать хорошую растяжку ног? Как сделать наш разум здоровым? Как сделать, чтобы люди обманывали меньше Вопрос 4. Как сделать так, чтобы вас уважали и ценили? Как сделать лучше себе и другим людям Как сделать свидание интересным?


Категории:

АрхитектураАстрономияБиологияГеографияГеологияИнформатикаИскусствоИсторияКулинарияКультураМаркетингМатематикаМедицинаМенеджментОхрана трудаПравоПроизводствоПсихологияРелигияСоциологияСпортТехникаФизикаФилософияХимияЭкологияЭкономикаЭлектроника






Алгоритмы решения задачи





Постановка задачи

Разработать программу табулирования (вычисления таблицы значений) функции для произвольного диапазона изменения независимого параметра или аргумента. Выполнить расчет для заданных значений исходных данных.

Результаты расчетов вывести в табличной форме.

; ; ; .

Анализ задачи

Задача состоит в многократном вычислении значений аргумента x и функции y при изменении параметра α от начального значения αн =0,5 до конечного значения αк =2,5 с шагом ∆α = 0,5. Исходных данных для расчета достаточно.

Алгоритмы решения задачи

           
     
 
 



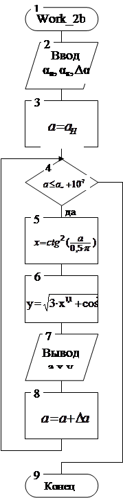
Многократно повторяющиеся действия описывается циклическим алгоритмом. Так, как число повторений в данной задаче заранее известно, алгоритм решения задачи можно описать в виде арифметического цикла (схема Work_2a), а также в виде цикла “Пока” (Work_2b) и цикла “До” (Work_2c).

 







Date: 2015-09-05; view: 481; Нарушение авторских прав



mydocx.ru - 2015-2026 year. (1.647 sec.) Все материалы представленные на сайте исключительно с целью ознакомления читателями и не преследуют коммерческих целей или нарушение авторских прав - Пожаловаться на публикацию