Главная Случайная страница


Полезное:

Как сделать разговор полезным и приятным Как сделать объемную звезду своими руками Как сделать то, что делать не хочется? Как сделать погремушку Как сделать так чтобы женщины сами знакомились с вами Как сделать идею коммерческой Как сделать хорошую растяжку ног? Как сделать наш разум здоровым? Как сделать, чтобы люди обманывали меньше Вопрос 4. Как сделать так, чтобы вас уважали и ценили? Как сделать лучше себе и другим людям Как сделать свидание интересным?


Категории:

АрхитектураАстрономияБиологияГеографияГеологияИнформатикаИскусствоИсторияКулинарияКультураМаркетингМатематикаМедицинаМенеджментОхрана трудаПравоПроизводствоПсихологияРелигияСоциологияСпортТехникаФизикаФилософияХимияЭкологияЭкономикаЭлектроника






Тема № 36. Функции спроса и предложения





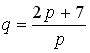
Вопрос № 176: Даны функции спроса и предложения , где р – цена товара. Тогда равновесная цена равна…

Варианты ответов: (выберите один правильный ответ, время 2 мин)

1. 2,75

2. 1

3. 4,5

4. 5,5

 

 

Вопрос № 177: Даны функции спроса и предложения , где р – цена товара. Тогда равновесная цена равна…

Варианты ответов: (выберите один правильный ответ, время 2 мин)

1. 3,25

2. 6,5

3. 5,5

4. 1

 

 

Вопрос № 178: Даны функции спроса и предложения , где р – цена товара. Тогда равновесная цена равна…

Варианты ответов: (выберите один правильный ответ, время 2 мин)

1. 2

2. 4,5

3. 6,5

4. 8,5

 

 

Вопрос № 179: Даны функции спроса и предложения , где рцена товара. Тогда равновесный объем «спроса-предложения» равен…

Варианты ответов: (выберите один правильный ответ, время 2 мин)

1. 8

2. 13,5

3. 4,5

4. 1

 

 

Вопрос № 180: Даны функции спроса и предложения , где рцена товара. Тогда равновесный объем «спроса-предложения» равен…

Варианты ответов: (выберите один правильный ответ, время 2 мин)

1. 2

2. 5,5

3. 7

4. 9

 

 







Date: 2015-09-05; view: 903; Нарушение авторских прав



mydocx.ru - 2015-2026 year. (1.666 sec.) Все материалы представленные на сайте исключительно с целью ознакомления читателями и не преследуют коммерческих целей или нарушение авторских прав - Пожаловаться на публикацию