Главная Случайная страница


Полезное:

Как сделать разговор полезным и приятным Как сделать объемную звезду своими руками Как сделать то, что делать не хочется? Как сделать погремушку Как сделать так чтобы женщины сами знакомились с вами Как сделать идею коммерческой Как сделать хорошую растяжку ног? Как сделать наш разум здоровым? Как сделать, чтобы люди обманывали меньше Вопрос 4. Как сделать так, чтобы вас уважали и ценили? Как сделать лучше себе и другим людям Как сделать свидание интересным?


Категории:

АрхитектураАстрономияБиологияГеографияГеологияИнформатикаИскусствоИсторияКулинарияКультураМаркетингМатематикаМедицинаМенеджментОхрана трудаПравоПроизводствоПсихологияРелигияСоциологияСпортТехникаФизикаФилософияХимияЭкологияЭкономикаЭлектроника






Размерность углового ускорения в СИ

Размерность нормальной компоненты ускорения в СИ

A)

B)

C)

D)

E)

F)

G)

H)

 

Размерность угловой скорости в СИ

A)

B)

C)

D)

E)

F)

G)

H)

 

Размерность углового ускорения в СИ

A)

B)

C)

D)

E)

F)

G)

H)

 

$$$ Размерность силы в СИ

A)

B)

C)

D)

E)

F)

G)

H)

 

$$$ Размерность момента силы в СИ

A)

B)

C)

D)

E)

F)

G)

H)

 

$$$ Размерность момента импульса в СИ

A)

B)

C)

D)

E)

F)

G)

H)

 

$$$ Момент инерции тела, вращающегося вокруг неподвижной оси, зависит:

A) от массы тела и ее распределения относительно оси вращения

B) от расстояния до оси вращения

C) от плотности вращающегося тела

D) только температуры вращающегося тела

E) объема или массы окружающих тел

F) только силы, действующей на тело

G) тангенциального или полного ускорения тела

H) полного ускорения или скорости тела

 

$$$ За время 3,14 c точка прошла половину окружности радиусом 160 см. Средняя скорость точки за это время:

A)

B)

C)

D)

E)

F)

G)

H)

 

$$$ Трубка Пито позволяет определить:

A) скорость потока жидкости

B) скорость потока газа

C) скорость потока газа и жидкости

D) плотность жидкости или газа

E) давление жидкости или газа

F) динамическое или гидростатическое давление

G) статическое или полное давление

H) температуру жидкости или газа

 

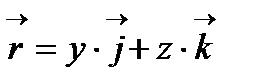
$$$ Радиус-вектор материальной точки:

A)

B)

C)

D)

E)

F)

G)

H)

 

$$$ Кинематическое уравнение движения материальной точки определяет зависимость:

A) координат x, y, z от времени t

B)

C)

D) только импульса от скорости

E) только скорости от времени

F) ускорения или скорости от времени

G) только координат друг от друга

H) всегда скорости от ускорения

 

$$$ Второй закон Ньютона:

A)

B)

C)

D)

E)

F)

G)

H)

 

$$$ Первая космическая скорость находится по формуле (где r - радиус Земли):

A)

B)

C)

D)

E)

F)

G)

H)

 

$$$ Вторая космическая скорость находится по формуле (где r – радиус Земли):

A)

B)

C)

D)

E)

F)

G)

H)

 

$$$ Закон сохранения момента импульса твердого тела

A)

B)

C)

D)

E)

F)

G)

H)

 

$$$ Точка равномерно движется по окружности. При этом:

A) угловая скорость постоянна по модулю

B) угловая скорость постоянна по направлению

C) угловая скорость находится по формуле

D) тангенциальная составляющая скорости всегда постоянна

E) нормальная составляющая скорости всегда постоянна

F) угловая скорость всегда равна нулю

G) угловое ускорение только увеличивается

H) угловое ускорение только уменьшается

 

$$$ Диск радиусом 20 см и массой 5 кг вращается с частотой 5 Гц. Определите работу (в Дж), которую надо совершить, чтобы частота вращения диска стала равной 15 Гц.

A)

B)

C)

D)

E)

F)

G)

H)

 

$$$ Угловая скорость колеса равна рад/с. Частота его вращения (в Гц):

A)

B)

C)

D)

E)

F)

G)

H)

 

$$$ Диск, момент инерции которого , вращается с угловой скоростью . Момент импульса диска:

A)

B)

C)

D)

E)

F)

G)

H)

 

$$$ Точка на ободе круга радиусом 50 см вращается со скоростью 15 м/с. Угловая скорость точки ():

A)

B)

C)

D)

E)

F)

G)

H)

 

$$$ К ободу однородного диска радиусом 0,2 м приложена касательная сила 5 Н. Определить угловое ускорение, с которым вращается диск, если его момент инерции 0,1 .

A)

B)

C)

D)

E)

F)

G)

H)

 

$$$ Чему равен момент инерции однородного диска относительно оси, проходящей через центр диска, перпендикулярно его плоскости?

A)

B)

C)

D)

E)

F)

G)

H)

 

$$$ Диск массой 2 кг катится без скольжения по горизонтальной плоскости со скоростью 4 м/с. Кинетическая энергия диска равна (в Дж):

A)

B)

C)

D)

E)

F)

G)

H)

 

$$$ Диск массой 3 кг катится без скольжения по горизонтальной плоскости со скоростью 4 м/с. Кинетическая энергия диска равна (в Дж):

A)

B)

C)

D)

E)

F)

G)

H)

 

$$$ Тело массой 2 кг движется со скоростью 3 м/с. Какую работу надо выполнить, чтобы увеличить скорость тела до 4 м/с?

A) 7 Дж

B) 0,007 кДж


C)

D) 105 Дж

E)

F) 105000 мДж

G) 32 Дж

H) 16 Дж

 

$$$ Совершив работу, равную 20 Дж, удается сжать пружину на 2 см. Определите работу, которую надо выполнить, чтобы сжать пружину на 4 см:

A) 80 Дж

B) 0,08 кДж

C)

D) 120 Дж

E)

F) 120000 мДж

G) 64 Дж

H) 156 Дж

 

$$$ Жидкость течет по трубе с переменным сечением без трения. В каком сечении трубы давление в жидкости максимально?

A) в самом широком сечении трубы

B) в сечении с максимальным диаметром трубы

C) в сечении с максимальным радиусом трубы

D) ответ зависит от плотности или массы жидкости

E) жидкость или газ в трубе во время течения давления не создает

F) всегда там, где сечение самое узкое

G) всегда одинаково во всех точках трубы

H) только там, где диаметр трубы минимален

 

$$$ Момент инерции однородного тела:

A)

B)

C)

D)

E)

F)

G)

H)

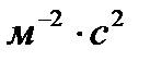
$$$ Центростремительное ускорение автомобиля, движущегося по закругленному участку траектории радиусом 600 м со скоростью 36 км/ч, равно ():

A)

B)

C)

D)

E)

F)

G)

H)

 

$$$ Какое из выражений соответствует абсолютно упругому столкновению тел?

A)

B)

C)

E)

D)

F)

G)

H)

 

$$$ Какое из выражений соответствует абсолютно неупругому столкновению тел?

A)

B)

C)

D)

E)

F)

G)

H)

 

$$$ Автомобиль массой 1 т движется с постоянной со скоростью 36 по горизонтальному пути. Мощность, развиваемая двигателем автомобиля:

A)

B)

C)

D)

E)

F)

G)

H)

 

$$$ Тело, к которому приложена сила 1000 Н, движется ускорением 0,05 . Масса тела:

A)

B)

C)

D)

E)

F)

G)

H)

 

$$$ Кинетическая энергия тела 100 Дж, а импульс 40 . Найти массу тела (в кг).

A)

B)

C)

D)

E)

F)

G)

H)

 

$$$ Через трубу диаметром 2 см в течении 30 минут проходит 1,53 кг газа. Плотность газа 7,5 . Скорость газа в трубе ():

A)

B)

C)

D)

E)

F)

G)

H)

 

$$$ Фазовый переход первого рода:

A) плавление

B) кристализация

C) конденсация

D) превращение парамагнетика только в ферромагнетик

E) поляризация или электризация сегнетоэлектрика

F) сверхпроводимость или поляризация

G) смачивание или кипение

H) поверхностное натяжение или сжатие

 

$$$ Факты и опыты, подверждающие молекулярно-кинетическую теорию:

A) броуновское движение

B) движение молекул, открытое Броуном

C) опыт Штерна по определению скорости молекул

D) опыты Кавендиша или Кулона

E) опыты Био-Савара или Эрстеда

F) опыты Ома или Кирхгофа

G) опыты Кулона или Резерфорда

H) только явление сверхпроводимости

 

$$$ Закон Бойля-Мариотта:

A)

B)

C)

D)

E)

F)

G)

H)

 

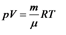
$$$ Уравнение Менделеева-Клапейрона:

A)

B)

C)

D)

E)

F)

G)

H)

 

$$$ Уравнение Дальтона:

A)

B)

C)

D)

E)

F)

G)

H)

 

$$$ Модель идеального газа характеризуется следующими свойствами:

A) молекулы газа не имеют объема

B) молекулы газа не взаимодействуют друг с другом

C) удары молекул газа о стенки сосуда абсолютно упругие

D) молекулы имеют объем

E) молекулы взаимодействуют друг с другом


F) столкновения молекул со стенками сосуда неупругие

G) молекулы имеют объем, но не взаимодействуют

H) молекулы взаимодействуют, но не имеют объема

 

$$$ Основное уравнение молекулярно-кинетической теории:

A)

B)

C)

D)

E)

F)

G)

H)

 

$$$ Средняя арифметрическая скорость молекул газа:

A)

B)

C)

D)

E)

F)

G)

H)

 

$$$ Закон Гей-Люссака

A)

B)

C)

D)

E)

F)

G)

H)

 

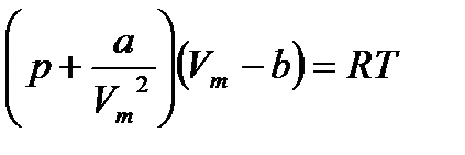
$$$ Уравнение Ван-дер-Ваальса

A)

B)

C)

D)

E)

F)

G)

H)

 

$$$ Уравнение адиабатического процесса

A)

B)

C)

D)

E)

F)

G)

H)

 

$$$ При адиабатическом процессе:

A) теплообмен отсутствует, энтропия постоянна

B) не меняется энтропия

C) система не обменивается теплотой с окружающей средой

D) работа не совершается или не учитывается

E) в газовых процессах работа всегда равна нулю

F) давление не меняется или постоянно

G)

H) плотность или масса не изменяются

 

$$$ Показатель адиабаты

A)

B)

C)

D)

E)

F)

G)

H)

 

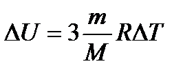
$$$ Изменение внутренней энергии одноатомного газа:

A)

B)

C)

D)

E)

F)

G)

H)

 

$$$ Изменение внутренней энергии двухатомного газа:

A)

B)

C)

D)

E)

F)

G)

H)

 

$$$ Изменение внутренней энергии многоатомного газа:

A)

B)

C)

D)

E)

F)

G)

H)

 

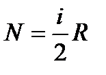
$$$ Термический КПД тепловой машины:

A)

B)

C)

D)

E)

F)

G)

H)

 

$$$ К термодинамическим параметрам относятся:

A) давление

B) объем

C) температура

D) масса или скорость

E) скорость или ускорение

F) масса ядра или атома

G) частота или сила

H) импульс или энергия

 

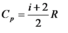
$$$ Молярная теплоемкость при постоянном объме V:

A)

B)

C)

D)

E)

F)

G)

H)

 

$$$ Количество вещества 1,4 кг азота (молярная масса азота 0,028 ):

A) 50 моль

B) 0,05 кмоль

C)

D) 150 моль

E) 30 моль

F) 1,8 кмоль

G) 500 моль

H)

 

$$$ Сколько молекул содержится в воде массой 18 г?

A)

B)

C)

D)

E)

F)

G)

H)

 

$$$ Закон Максвелла о распределении молекул идеального газа по скоростям

A)

B)

C)

D)

E)

F)

G)

H)

 

$$$ Средняя кинетическая энергия молекулы кислорода при температуре 300 К равна (в Дж):

A)

B)

C)

D)

E)

F)

G)

H)

 

$$$ Процесс, при котором теплообмен с внешней средой отсутствует:

A) адиабатический процесс

B)

C) процесс, при котором энтропия постоянна

D) только изотермический

E) кипение или испарение

F) изохорный или изобарный

G) изобарный или изотермический

H) изменение сопротивления только при нагревании

 

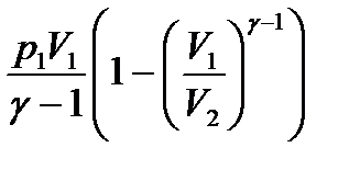
$$$ Работа газа в адиабатном процессе:

A)


B)

C)

D) 0

E)

F)

G)

Н)

 

$$$ Тепловая машина работает по циклу Карно. Полученное количество теплоты от нагревателя 4,2 кДж, совершенная работа 1,7 кДж.Температура холодильника 200С. Температура нагревателя:

A)

B)

C)

D)

E)

F)

G)

H)

 

$$$ Идеальный газ совершает цикл Карно. Полученное количество теплоты от нагревателя 42 кДж. Температура нагревателя в 3 раза больше, чем температура холодильника. Газ совершает работу:

A) 28 кДж

B)

C)

D) 160 кДж

E)

F)

G) 14000 Дж

H) 4 кДж

 

$$$ Термический КПД идеальной тепловой машины:

A)

B)

C)

D)

E)

F)

G)

H)

 

$$$ Чему равно изменение внутренней энергии 3 молей двухатомного идеального газа при изохорном нагревании на 2 К?

A) 0,1245 кДж

B)

C)

D) 17 кДж

E) 130 кДж

F) 136 Дж

G) 145 Дж

H) 14 кДж

 

$$$ Работа газа в изотермическом процессе:

A)

B)

C)

D) е

E) 0

F)

G)

H) 25е

 

$$$ Изменение энтропии идеального газа в изотермическом процессе:

A)

B)

C)

D)

E) 0

F)

G) 30е

H)

 

$$$ Наиболее вероятная скорость молекулы:

A)

B)

C)

D)

E)

F)

G)

H)

 

$$$ Внутренняя энергия идеального газа:

A) сумма кинетических энергий движения молекул

B) суммарная кинетическая энергия молекул

C) однозначная функция состояния

D) кинетическая энергия тела только относительно сосуда

E) потенциальная энергия тела только относительно сосуда

F) всегда потенциальная энергия заряженных частиц

G) электромагнитная или полная энергия молекул

H) только энергия нагретого тела

 

$$$ При плавлении кристаллического вещества происходит следующее:

A) во время плавления вещество переходит из твердого в жидкое

B) температура не меняется во время плавления

C) кристаллическая решетка во время плавления разрушается

D) температура всегда меняется

E) объем или температура уменьшается

F) температура повышается или понижается, в зависимости от вещества

G) давление понижается или повышается, в зависимости от вещества

H) давление всегда уменьшается

 

$$$ Фундаментальные свойства электрического заряда:

A) аддитивность

B) инвариантность

C) подчиняется закону сохранения заряда

D) когерентность или изотропность

E) изотропность или монохроматичность

F) величина заряда всегда зависит от его скорости

G) величина заряда всегда зависит от системы отсчета

H) всегда подчиняется закону сохранения импульса

 

$$$ Единицы измерения электрической постоянной:

A)

B)

C)

D) Ф

E) Вт

F) Кл

G) В

H) А

 

$$$ Особенность кулоновской силы:

A) зависит от величины зарядов

B) может быть положительной/отрицательной

C) центральная сила

D) всегда измеряется вольтметром

E) в основном всегда положительна

F) в основном всегда отрицательна

G) измеряется только в метрах

H) равна нулю или больше единицы

 

$$$ Поле, создаваемое неподвижными электрическими зарядами:

A) электростатическое поле

B) характеризуется напряженностью

C) подчиняется принципу суперпозиции

D) только гравитационное поле

E) только электромагнитное поле

F) подчиняется правилу Ленца или Фарадея

G) существует только в диамагнитной среде

H) обращается в нуль для вакуума или воздуха

 

$$$ Система двух равных по модулю разноименных точечных зарядов, расстояние между которыми значительно меньше расстояния до рассматриваемой точки поля:

A) электрический диполь

B) характеризуется плечом диполя

C) имеет электрический момент

D) существует только в вакууме

E) всегда незамкнутая система

F) подчиняется только закону Фарадея

G) соленоид или конденсатор

H) тороид или катушка индуктивности

 

$$$ Закон, описывающий взаимодействие точечных неподвижных электрических зарядов:

A) закон Кулона

B)

C)

D) закон Ньютона

E) закон Малюса

F) закон Брюстера

G)

H)

 

$$$ Напряженность электростатического поля:

A) векторная величина

B) измеряется в

C)

D)

E)

F)

G)

H) скалярная или векторная величина

 

$$$ Напряженность электростатического поля точечного заряда:

A) векторная величина

B) измеряется в

C)

D)

E)

F)

G)

H) скалярная или векторная величина

 

$$$ Применение теоремы Гаусса к расчету напряженности электростатических полей в вакууме:

A)

B)

C)

D)

E)

F)

G)

H)

 

$$$ Если поле создается несколькими зарядами, то потенциал поля системы зарядов:

A)

B)

C) равен алгебраической сумме потенциалов полей зарядов

D)

E)

F)

G) векторная сумма только отдельных потенциалов

H) равен нулю или единице

 

$$$ Свойства эквипотенциальных поверхностей:

A) потенциал во всех точках одинаковый

B) перпендикулярны к линиям напряженности

C) замкнутые

D) потенциал всегда равен нулю

E) всегда параллельны линиям напряженности

F) прямые или окружности

G) окружности или сферы

H) существуют только для электрических диполей

 

$$$ Величина, показывающая, во сколько раз поле ослабляется диэлектриком, и количественно характеризующая свойство диэлектрика поляризоваться в электрическом поле:

A) диэлектрическая проницаемость среды

B)

C) безразмерная величина

D) электрическая или магнитная постоянная

E) магнитная или электрическая проницаемость среды

F) магнитная или электрическая восприимчивость

G) только гравитационная постоянная

H) =1

 

$$$ Электрическая емкость конденсатора:

A)

B)

C)

D)

E)

F)

G)

H)

 

$$$ Электрическим током считается любое направленное движение:

A) электрических зарядов

B) ионов

C) электронов

D) только молекул

E) только атомов

F) молекул или атомов

G) всегда фотонов и электронов

H) незаряженных или заряженных частиц

 

$$$ Физическая величина, определяемая работой, совершаемой сторонними силами при перемещении единичного положительного заряда:

A) электродвижущая сила

B)

C)

D) сила Ампера или Лоренца

E) сила Лоренца или Кулона

F) только сила всемирного тяготения

G) механическое или электрическое напряжение

H) плотность или сила тока

 

$$$ Физическая величина, определяемая проводимостью однородного линейного проводника единичной длины и единичной площади поперечного сечения:

A) удельная электрическая проводимость

B) измеряется в

C) , единица измерения

D)

E) электрическая или магнитная проводимость

F) удельное или электрическое сопротивление

G) электрическое или механическое сопротивление

H) всегда измеряется в

 

$$$ Физическая величина, характеризующая способность участка электрической цепи проводить ток:

A) электрическая проводимость

B) измеряется в Сименсах (См)

C) , единица измерения - Сименс

D) удельная или электрическая проводимость

E) всегда

F) удельное или электрическое сопротивление

G) электрическое или механическое сопротивление

H) измеряется только в

 

$$$ Физическая величина, определяемая электрическим сопротивлением однородного линейного проводника единичной длины и единичной площади поперечного сечения:

A) удельное электрическое сопротивление

B) измеряется в

C)

D) это напряжение на участке цепи

E) всегда электрическая проводимость

F) измеряется только в Сименсах (См)

G)

H) индуктивность или емкость

 

$$$ Закон Ома:

A)

B)

C)

D)

E)

F)

G)

H)

 

$$$ Два точечных электрических заряда -2 мкКл и 6 мкКл расположены на расстоянии 60 см друг от друга. Напряженность электрического поля в точке, лежащей посередине между зарядами, равна:

A)

B)

C)

D)

E)

F)

G)

H)

 

$$$ Два точечных электрических заряда 2 мкКл и 6 мкКл расположены на расстоянии 60 см друг



<== предыдущая | следующая ==>
 | направление подготовки ГЕОГРАФИЯ заочная форма обучения 2013-2014 учебный год





Date: 2015-09-05; view: 1178; Нарушение авторских прав



mydocx.ru - 2015-2026 year. (1.817 sec.) Все материалы представленные на сайте исключительно с целью ознакомления читателями и не преследуют коммерческих целей или нарушение авторских прав - Пожаловаться на публикацию