Главная Случайная страница


Полезное:

Как сделать разговор полезным и приятным Как сделать объемную звезду своими руками Как сделать то, что делать не хочется? Как сделать погремушку Как сделать так чтобы женщины сами знакомились с вами Как сделать идею коммерческой Как сделать хорошую растяжку ног? Как сделать наш разум здоровым? Как сделать, чтобы люди обманывали меньше Вопрос 4. Как сделать так, чтобы вас уважали и ценили? Как сделать лучше себе и другим людям Как сделать свидание интересным?


Категории:

АрхитектураАстрономияБиологияГеографияГеологияИнформатикаИскусствоИсторияКулинарияКультураМаркетингМатематикаМедицинаМенеджментОхрана трудаПравоПроизводствоПсихологияРелигияСоциологияСпортТехникаФизикаФилософияХимияЭкологияЭкономикаЭлектроника






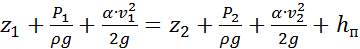
Методические указания. Задача решается при помощи уравнения Бернулли





Задача решается при помощи уравнения Бернулли. Выбирают два сечения: первое – на выходе из насоса, второе - на выходе из ствола:

Рис. 10. Выбор сечений для составления уравнения Бернулли.

Составляем уравнения Бернулли:

. (6.1)

Принимаем первое сечение на уровне точки отсчета Z1 = 0 м. Сечение Z2 находится на 3-ем этаже, в расчетах принимается высота одного этажа, равная 3 метрам.

Скорости и определяются из уравнения неразрывности потока.

Рис.11. Ствол РС-70.

Давление на выходе из ствола равно атмосферному, т.е. .

Суммарные потери представляют собой совокупность потерь в рукавной линии, в стволе и на разветвлении.

Потери напора рукавной линии, составленной из последовательно соединенных одинаковых рукавов, определяются по формуле:

. (6.2)







Date: 2015-09-19; view: 562; Нарушение авторских прав



mydocx.ru - 2015-2026 year. (0.279 sec.) Все материалы представленные на сайте исключительно с целью ознакомления читателями и не преследуют коммерческих целей или нарушение авторских прав - Пожаловаться на публикацию