Главная Случайная страница


Полезное:

Как сделать разговор полезным и приятным Как сделать объемную звезду своими руками Как сделать то, что делать не хочется? Как сделать погремушку Как сделать так чтобы женщины сами знакомились с вами Как сделать идею коммерческой Как сделать хорошую растяжку ног? Как сделать наш разум здоровым? Как сделать, чтобы люди обманывали меньше Вопрос 4. Как сделать так, чтобы вас уважали и ценили? Как сделать лучше себе и другим людям Как сделать свидание интересным?


Категории:

АрхитектураАстрономияБиологияГеографияГеологияИнформатикаИскусствоИсторияКулинарияКультураМаркетингМатематикаМедицинаМенеджментОхрана трудаПравоПроизводствоПсихологияРелигияСоциологияСпортТехникаФизикаФилософияХимияЭкологияЭкономикаЭлектроника






Пояснения к работе. Альфа-частицы - это поток тяжелых заряженных частиц - ядер гелия





Альфа-частицы - это поток тяжелых заряженных частиц - ядер гелия. Энергия естественно и искусственно возникающих частиц колеблется от 4 до 9 МэВ. При прохождении через вещество эта энергия расходуется на ионизацию и возбуждение атомов поглощающей среды. К концу пробега, присоединив два электрона, альфа-частица превращается в атом гелия. Ионизационная способность равна в среднем 105 пар ионов/см. Толщ

Изм.
Лист
№ докум.
Подпись
Дата
Лист
 
3AЭC-6.12 ПР-2  
ина защиты зависит от энергии проникающего излучения и характеристик поглотителя. Толщина защиты равна длине свободного пробега частицы. Для исследования прохождения альфа-частиц в веществе рассчитываются следующие величины:

- эмпирическая формула для расчета среднего пробега в воздухе при нормальных условиях:

4Мэв< Еα < 7 МэВ

- средний пробег альфа-частиц в веществе

(формула Брэгга)

при известном атомном номере вещества-поглотителя

при известном пробеге альфа-частиц в воздухе с той же энергией

Бета-частицы- это поток электронов и позитронов. Заряд и масса у них одинаковы. Но отличается знак заряда. Кроме того, среднее время жизни электронов неограниченно долго, у позитронов – 10-9с. При аннигиляции они образуют два гамма-кванта: . Частицы от искусственных и естественных радионуклидов имеют энергию от 0 до 10 МэВ. Распределение бета-частиц по энергии называется бета-спектром. Зависимость количества бета-частиц после прохождения слоя вещества зависит от энергии бета-частиц и толщины поглотителя (3- при минимальной толщине поглотителя):

Nее
Ее
 
 
 

 

 


Обычно источники бета-частиц излучают одну или несколько групп частиц максимальной энергии. При прохождении через вещество энергия расходуется при различных видах взаимодействиях:

 

Пшеничный


Еβ
Радиационные потери при торможении
Ионизационные потери
Ядерные реакции
Основная задача защиты от мощных пучков бета-частиц сводится к защите от вторичного тормозного излучения, так как энергии хватает на небольшую длину пробега. Для расчета толщины зашиты от бета-частиц применяют следующие формулы:

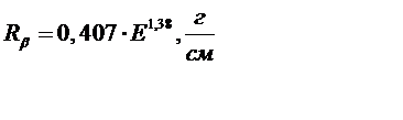
(0,15<Еβ <0,8 МэВ)

(0,8<Еβ <3 МэВ)

Для воздуха и легких материалов рекомендуются следующие формулы:

β >0,5 МэВ) β <0,5 МэВ)

Если толщина поглотителя намного меньше максимального пробега, то ослабление плотности потока происходит по закону экспоненты:

Ф(х)= Фо ехр (-μх),

где х- толщина поглотителя, ; μ- массовый коэффициент п

Изм.
Лист
№ докум.
Подпись
Дата
Лист
 
3AЭC-6.12 ПР-2  
оглощения электронов, .

Число частиц, прошедших через слой поглотителя, убывает с увеличением толщины поглотителя х по закону:

N=No ехр , где - толщина слоя вещества, ослабляющая поток электронов вдвое.







Date: 2015-09-19; view: 756; Нарушение авторских прав



mydocx.ru - 2015-2026 year. (1.164 sec.) Все материалы представленные на сайте исключительно с целью ознакомления читателями и не преследуют коммерческих целей или нарушение авторских прав - Пожаловаться на публикацию