Главная Случайная страница


Полезное:

Как сделать разговор полезным и приятным Как сделать объемную звезду своими руками Как сделать то, что делать не хочется? Как сделать погремушку Как сделать так чтобы женщины сами знакомились с вами Как сделать идею коммерческой Как сделать хорошую растяжку ног? Как сделать наш разум здоровым? Как сделать, чтобы люди обманывали меньше Вопрос 4. Как сделать так, чтобы вас уважали и ценили? Как сделать лучше себе и другим людям Как сделать свидание интересным?


Категории:

АрхитектураАстрономияБиологияГеографияГеологияИнформатикаИскусствоИсторияКулинарияКультураМаркетингМатематикаМедицинаМенеджментОхрана трудаПравоПроизводствоПсихологияРелигияСоциологияСпортТехникаФизикаФилософияХимияЭкологияЭкономикаЭлектроника






Влияние кривизны Земли и рефракции на результаты нивелирования. При выводе формул для способов нивелирования из середины и вперед принято, что уровенная поверхность является плоскостью





При выводе формул для способов нивелирования из середины и вперед принято, что уровенная поверхность является плоскостью, визирный луч прямолинеен и горизонтален, рейки, установленные в точках, параллельны между собой.

На самом деле уровенная поверхность не является плоскостью и рейки, установленные в точках А и В перпендикулярно поверхности, непараллельны между собой (рис. 67), следовательно отсчеты З и П преувеличены на величину поправок за кривизну Земли СМ = К1 и DN = К2.

Рис. 67. Влияние кривизны Земли и рефракции на результаты геометрического нивелирования

Поправки за кривизну Земли равны:

,

где S 1, S 2 - расстояние от нивелира до реек; R – радиус Земли.

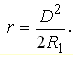
Кроме того известно, что луч света распространяется прямолинейно лишь в однородной среде. В реальной атмосфере, плотность которой увеличивается по мере приближения к поверхности Земли, луч света идет по некоторой кривой, которая называется рефракционной кривой. Вследствие этого визирный луч имеет форму рефракционной кривой радиуса R 1 и пересекает рейки в точках C' и D'. Поэтому отчеты по рейкам уменьшаются на величину поправок за рефракцию: СC' = r 1 и DD'= r 2, которые определяются по формуле

Радиус рефракционной кривой зависит от температуры, плотности, влажности воздуха и др. Отношение радиуса Земли R к радиусу рефракционной кривой R 1 называют коэффициентом земной рефракции, среднее значение которого принимают

Обозначим

,

где f 1 и f 2 – поправки за кривизну Земли и рефракцию равны

Следовательно превышение между точками А и В с учётом поправок за кривизну Земли и рефракцию равно

Необходимость учета поправки зависит от требуемой точности измерений.

Из формулы следует, что при равенстве расстояний от нивелира до реек и примерно одинаковых условиях можно считать, что f 1 = f 2 и h = ЗП. Таким образом, при нивелировании из середины с соблюдением равенства плеч влияние кривизны Земли и рефракции практически устраняется.

К началу лекции Предыдущая страница Следующая страница

 

 







Date: 2015-09-19; view: 909; Нарушение авторских прав



mydocx.ru - 2015-2026 year. (1.514 sec.) Все материалы представленные на сайте исключительно с целью ознакомления читателями и не преследуют коммерческих целей или нарушение авторских прав - Пожаловаться на публикацию