Главная Случайная страница


Полезное:

Как сделать разговор полезным и приятным Как сделать объемную звезду своими руками Как сделать то, что делать не хочется? Как сделать погремушку Как сделать так чтобы женщины сами знакомились с вами Как сделать идею коммерческой Как сделать хорошую растяжку ног? Как сделать наш разум здоровым? Как сделать, чтобы люди обманывали меньше Вопрос 4. Как сделать так, чтобы вас уважали и ценили? Как сделать лучше себе и другим людям Как сделать свидание интересным?


Категории:

АрхитектураАстрономияБиологияГеографияГеологияИнформатикаИскусствоИсторияКулинарияКультураМаркетингМатематикаМедицинаМенеджментОхрана трудаПравоПроизводствоПсихологияРелигияСоциологияСпортТехникаФизикаФилософияХимияЭкологияЭкономикаЭлектроника






О пользе одной сенсации, или страсти по озону





 

Народу не нужны нездоровые сенсации. Народу нужны здоровые сенсации.

Братья Стругацкие. «Сказка о тройке»

 

«Звездой» мирового масштаба озон стал лет 30 назад. Открытый в 1840 г. немецким химиком К. Ф. Шенбейном (1799–1868), он долгие годы был известен лишь узкому кругу специалистов.

 

Озон – не просто один из многих, это газ уникальный. Несмотря на то что его масса не дотягивает даже до 0,0001 % массы атмосферы, он имеет особое значение для поддержания жизни на Земле и формирования ее климата: полностью поглощает поток коротковолновых ультрафиолетовых (УФ) лучей с длиной волны 200–280 нм и около 90 % ультрафиолетового излучения с длиной волны 280–320 нм (так называемая полоса УФ‑Б излучения Солнца). Наблюдения показали, что если общее содержание озона сократится не более чем на 10–20 %, то на каждый процент такого сокращения придется приблизительно двухпроцентное увеличение потока в полосе УФ‑Б.

 

Первый шаг к славе был сделан в первой половине 1970‑х, когда в связи с появлением трех статей в научной периодике на него обратили свое внимание СМИ. В первых двух, одна из которых была написана будущим нобелевским лауреатом, а тогда сотрудником Стокгольмского университета П. Крутценом, а вторая химиком из Калифорнийского университета в Беркли Г. Джонстоном, высказывалась гипотеза о возможности разрушения стратосферного озона оксидами азота. Вскоре список гипотетических врагов озона пополнился атомарным хлором, и до 1974 г. сдержанный оптимизм вызывало лишь то, что количество хлора естественного происхождения в атмосфере сравнительно невелико. Однако ситуация кардинально изменилась с выходом в свет третьей статьи, в которой также будущие нобелевские лауреаты М. Молина и Ш. Роуленд из Калифорнийского университета в Ирвине утверждали, что дополнительными источниками хлора в стратосфере являются хлорфторуглеродные соединения (ХФУ), массово используемые в холодильных установках, аэрозольных упаковках и т. д. Будучи негорючими, нетоксичными и химически пассивными, эти вещества медленно переносятся восходящими воздушными потоками от земной поверхности в стратосферу, где их молекулы разрушаются под действием УФ‑излучения, в результате чего выделяются свободные атомы хлора. Вся эта информация, эмоционально «усиленная» журналистами, была донесена широкой общественности.

Развитие (и какое!) эта тема получила через 10 лет. Сообщение об обнаружении английскими учеными в конце 1985 года большого дефицита озона над Антарктидой – «озоновой дыры» (термин был предложен еще в 1930‑е гг. С. Чепменом) стало сенсацией года, а реакцию мировой общественности на это сообщение легче всего охарактеризовать одним коротким словом – шок. Одно дело, когда угроза разрушения озонового слоя существует лишь в отдаленной перспективе, другое – когда мы поставлены перед свершившимся фактом. К этому никто не был готов.

«Подумаешь, одним газом больше, одним – меньше. Вон сколько видов флоры и фауны исчезло, и ничего, мир продолжает существовать», – мог бы возразить наивный читатель, но такой едва ли сегодня найдется.

Солнечное излучение в умеренных дозах вызывает загар и тонизирует работу человеческого организма, но при их повышении наблюдается повреждение клеток кожи (их нуклеиновых кислот), которое впоследствии может привести к заболеванию открытых участков кожи.

 

Установлена зависимость между заболеваемостью раком кожи и степенью ультрафиолетового излучения Солнца, с наибольшим риском заболеть у представителей белой расы. Другим следствием усиления ультрафиолетовой радиации стал рост случаев поражения хрусталика глаза катарактой. Лабораторные опыты показали, что повышенный поток ультрафиолетового излучения также влечет за собой – через подавление процесса фотосинтеза и сокращение фитопланктона в Мировом океане – уменьшение популяции некоторых видов рыб.

 

Кроме того, от поглощения озоном ультрафиолетовой радиации во многом зависит и температура атмосферы: стратосферный воздух нагревается под действием УФ‑излучения на несколько десятков градусов. Происходит это благодаря наличию в атмосфере ряда газов, включая озон, поглощающих это излучение и выделяющих при этом тепло. Весной и летом УФ‑излучение интенсивнее, чем осенью и особенно зимой, поэтому и нагрев в весенне‑летний период больше. Более того, этот нагрев в полярной области во время полярного дня (когда Солнце светит круглосуточно) больше нагрева в тропиках (где ночь ежесуточно сменяет день) в тот же период.


Одновременно, озон, как парниковый газ, интенсивно поглощает инфракрасную (тепловую) радиацию. Его полоса поглощения приходится на середину «окна прозрачности» (λ = 9,6 мкм, см. рис. 13 на с. 83), и потому вклад данного газа в общий радиационный эффект, а следовательно, в вертикальное распределение температуры и циркуляцию атмосферы, весьма значителен. Безусловно, столь пристальным вниманием к себе озон обязан, главным образом, своей способности защищать биосферу Земли от жесткого ультрафиолетового излучения и в меньшей степени тем, что является парниковым газом. И все же «по совокупности достоинств», он заслуживает подробного рассказа на этих страницах.

Была и еще одна, пожалуй, самая важная причина для беспокойства за сохранность озонового слоя. Подобно тому, как, например, избыточное потребление кальция приводит к постепенному накоплению его в организме человека, повышенные дозы ультрафиолетовой радиации могут иметь отдаленные по времени последствия для организма человека. Таким образом, истощение озонового слоя может сказаться спустя годы и десятилетия. Чем не бомба замедленного действия?

Но если ущерб, причиненный обычной бомбой, очевиден сразу же, то в нашем случае закрадывается сомнение, действительно ли случившееся уходит корнями в далекое (или не очень) прошлое или такая связь – плод чьего‑то корыстного расчета и масштабной рекламы. Вспоминается любопытный эпизод, произошедший в середине 1990‑х. Одному из авторов этой книги довелось дать интервью, посвященное озоновой проблеме, весьма толковому журналисту. После того как все вопросы были заданы и ответы на них получены, он, повинуясь извечной журналистской тяге к сенсациям, с надеждой в глазах спросил: «А не известен ли какой‑нибудь случай, когда компания отправилась на пикник полакомиться шашлычками, но в тот день дефицит озона привел к резкому росту ультрафиолетовой радиации, и от полученной дозы кто‑то через день‑два скончался?» Надежда угасла вместе с моим отрицательным ответом.

Воздадим должное «акулам пера»: ведь именно их публикации сподвигли политиков, вряд ли читающих «в свободное от работы время» научные труды, на активные действия. Была поставлена задача: как можно быстрее выявить причины возникновения озонной дыры и оценить вероятность распространения этого феномена на другие, особенно густонаселенные, регионы земного шара. На ее решение были выделены значительные средства, и сегодня уже можно с уверенностью констатировать, что вложения эти оправдались.

Наступление велось по всем фронтам. Перво‑наперво был налажен бесперебойный мониторинг в самой Антарктиде, охватывавший не только озон, но и другие газы и аэрозоли, участвующие в его химических превращениях, а также метеорологические величины (температуру, скорость ветра, давление и др.). Одновременно были разработаны и осуществлены международные программы, направленные на проведение аналогичных комплексных измерений в течение определенных периодов (обычно от нескольких дней до месяца) в различных уголках Земли. Далее были созданы лаборатории, определявшие и уточнявшие скорости протекания атмосферных химических реакций (до той поры погрешности значений таких скоростей составляли 30–300 %).


Как грибы после дождя, множились группы теоретиков, анализировавших поступающую информацию и, как правило, с помощью ими же разработанных моделей пытавшихся выделить главные механизмы образования и разрушения озона и предсказать его эволюцию в будущем. Было организовано большое число рабочих совещаний и крупных международных конференций для оперативного обмена информацией, результатами исследований и, что важнее всего, возникающими идеями. Такая широкомасштабная «мозговая атака» вскоре принесла успех. Загадка «озоновых дыр» была решена (подробнее об этом чуть позже): главными виновниками оказались вышеупомянутые ХФУ. На этом основании вскоре (в 1987 г.) был принят Монреальский протокол (позже несколько раз уточнявшийся), регламентировавший производство, применение и использование озоноопасных химикатов. Он предписывал поэтапное сокращение их применения с последующей заменой таких химикатов более «дружественными» к озону.

Для включения в список «врагов» озона, подпадающих под действие Монреальского протокола, или исключения из него, требовалось соразмерить степень «агрессивности» того или иного вещества по отношению к озону. С этой целью Д. Уэбблс из Ливерморской национальной лаборатории (США) предложил ввести два вычисляемых по некоторым предписанным правилам индекса. Первый из них, озоноразрушающий потенциал, показывал, во сколько раз молекула такого вещества сильнее (или слабее), чем молекула СFCl3 (фреона‑11), воздействует на атмосферный озон. Фреон‑11 – один из самых широкоиспользуемых в то время ХФУ – подлежал первоочередному запрещению и замене менее озоноопасными веществами, а потому его озоноразрушающий потенциал был принят равным 1. Подавляющее большинство ХФУ первого поколения, как и многие пришедшие им на смену, являются одновременно парниковыми газами. Поэтому каждый из них характеризовался также вторым индексом – потенциалом глобального потепления, который позволял сравнить вклады в разогрев атмосферы одной молекулы такого химиката и молекулы CO2. Как и в случае с фреоном‑11, потенциал углекислого газа считается равным 1.

Теперь пора уведомить читателя, каков он, атмосферный озон.

 

Озон – газ, состоящий из трех атомов кислорода. Его концентрация в атмосферном воздухе сильно меняется с высотой. Но даже в слое 20–30 км над уровнем моря, где концентрация озона максимальна, на миллион молекул воздуха приходится лишь несколько молекул озона. В разных широтных зонах Земли слой озонового максимума располагается на разных уровнях: в полярных районах – на высоте около 20 км, в тропиках – 25–26 км, а в умеренных широтах – между этими уровнями.

 

Здесь нелишне уточнить, какой смысл вкладывается в понятие «озоновый слой». Употребляя термин «слой», мы обычно подразумеваем часть пространства, заполненную однородным или кажущимся однородным веществом (например, слой снега в поле или на крыше). Однако нигде в атмосфере нет области, содержимое которой составляли бы только молекулы озона! Поэтому озоновый слой правильнее сравнить с золотоносным песком в реке, где среди мириад простых песчинок изредка попадаются золотые крупицы.


 

Ниже слоя озонового максимума концентрация озона растет с высотой, но при этом она в 10–100 раз меньше своего максимального значения в стратосфере. Вблизи поверхности Земли характерная концентрация озона составляет всего лишь несколько десятков молекул на миллиард молекул воздуха. Таким образом, на тропосферу приходится лишь 10–15 % общего количества молекул озона, а основная их часть сосредоточена в стратосфере. На рис. 22 показаны типичные вертикальные профили концентрации озона для разных широт.

Рис. 22. Среднее вертикальное распределение парциального давления озона в различных районах земного шара: а – январь, б – апрель, в – июль, г – октябрь: 1 – тропики (Бальбоа, Панама, 9° с. ш.); 2 – умеренные широты (Хоэннейссенберг, Германия, 48° с. ш.); 3 – Арктика (Туле, Гренландия, 76,5° с. ш.)

 

Распределение озона по географическим зонам земного шара также очень неравномерно (рис. 12 цв. вклейки). Для того чтобы сопоставить количество озона в воздухе над разными регионами, обычно используют понятие общее содержание озона (ОСО) – суммарное количество молекул озона в атмосферном столбе с площадью основания 1 см2, а в качестве единицы измерения ОСО – единицу Добсона (1 е. Д. = 2,7·1016 молекул озона/см2). Наибольшее ОСО приходится на северную полярную и южную субполярную зоны, а в экваториальной зоне оно наименьшее. Характерные до 1980‑х (т. е. до открытия «озоновых дыр») значения ОСО составляли 300–450 е. Д. для северной полярной области, 280–400 е. Д. для южной субполярной области и умеренных северных широт и 260–280 е. Д. в экваториальной зоне.

 

Повсюду вне тропиков ОСО сильно изменяется от сезона к сезону: наибольшие его значения приходятся на конец весны – начало лета, а наименьшие – на осенне‑зимний период, причем амплитуда сезонных колебаний составляет 30–40 %. Неравномерность распределения озона наблюдается и внутри пояса умеренных широт: область повышенного ОСО располагается над Восточной Сибирью и Дальним Востоком, а пониженного – над Северо‑Западом.

 

Чем же вызваны столь значительные перепады величин ОСО?

Для ответа обратимся к особенностям формирования озонового слоя. Механизм образования озона довольно прост (рис. 13 цв. вклейки). Молекула кислорода О2 разрушается под действием солнечного света (ультрафиолетовой радиации), в результате чего появляется пара атомов кислорода. Эти атомы вступают в реакцию с молекулами кислорода, в результате чего и образуется озон:

 

О+ О2 → О3

 

Продуктивность механизма образования озона определяется двумя факторами – наличием солнечного света (т. е. формирование озона всегда происходит в светлую часть суток) и количеством свободных атомов кислорода, благо молекул О2 в атмосфере предостаточно. Локальный источник атомарного кислорода в атмосфере возникает также во время гроз, когда молекулы О2 разрушаются при электрических разрядах. Эффективность обоих этих источников максимальна в тропиках и минимальна у полюсов. Поэтому и основная масса озона образуется в экваториальной зоне, распространяясь затем атмосферными движениями к полюсам.

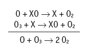
Озон разрушается в результате его фотолиза (разложения под действием фотонов света) ультрафиолетовым и видимым излучением, а также в реакции с атомарным кислородом. Однако основной вклад вносят катализаторы – гидроксил ОН, монооксид азота NО, атомы хлора (Cl) и брома (Br), металлы и др. Схема гибели озона в каталитических циклах тоже проста (вместо Х можно подставить любой из перечисленных катализаторов):

Нетрудно видеть (см. строку под чертой), что в результате действия пары каталитических реакций разрушаются только молекулы озона, в то время как катализатор изменениям не подвержен и может продолжать свое «черное дело» до тех пор, пока не будет разрушен или связан в какой‑либо другой реакции.

 

Так, один атом хлора может поспособствовать гибели до ста тысяч молекул озона.

 

Во второй половине ХХ века концентрации газов‑катализаторов росли вследствие усиления их антропогенных источников, а концентрация О2, а с ней и атомов кислорода, оставалась неизменной. Следовательно, в стратосфере складывалась ситуация, когда скорость образования озона оставалась почти неизменной, в то время как интенсивность разрушения озона увеличивалась год от года, приводя к его истощению.

Фотохимия тропосферы более сложна, она критически зависит от количества находящихся в ней оксидов азота. Оценки свидетельствуют, а измерения подтверждают, что в загрязненной тропосфере хорошо освещаемых Солнцем географических областей процессы образования озона превалируют над процессами его разрушения, и концентрация озона перманентно увеличивается. На первый взгляд рост содержания озона заслуживает положительной оценки, так как при этом увеличивается ОСО, а значит, потенциальный риск пострадать от опасной ультрафиолетовой радиации сокращается. Но это лишь на первый взгляд…

 

Озон – чрезвычайно ядовитый газ. Для иллюстрации следующий факт: в Германии предельно допустимая концентрация (ПДК) озона в воздухе принята равной ПДК хлора, успешно использовавшегося в годы Первой мировой войны в качестве боевого отравляющего вещества.

 

В нашей стране также введены ПДК озона в воздухе (Перечень и коды веществ, загрязняющих атмосферный воздух. СПб., 1998), согласно которым максимальная разовая ПДК не должна превышать 0,16 мг/м3, а среднесуточная – 0,03 мг/м3.

 

Кроме того, озон является сильным окислителем. Его молекула, распадаясь при контакте с объектами живой и неживой природы, выделяет атом кислорода, окисляющий гораздо активнее, чем молекула кислорода, вещества клеток живых организмов и неорганические материалы.

 

В условиях крупных промышленных центров и регионов, атмосфера над которыми буквально насыщена тысячами органических и неорганических газов‑загрязнителей, создаются благоприятные условия для образования озона (классический пример: смог в присутствии высокой влажности – лондонский и при ее отсутствии – лос‑анджелесский). Именно там, по сравнению с сельской или неосвоенной человеком местностью, химическое воздействие озона на материалы – самое интенсивное, особенно в сочетании с другими окислителями. Так, коррозия металлов и строительных материалов происходит сильнее при совместном действии озона и сернистого газа во влажном воздухе. Отмечено прямое воздействие озона на органические материалы: ткани, пластмассы, резину, краски, особенно масляные (список можно продолжать).

Увеличение концентрации озона в тропосфере отражается и на региональном климате, неслучайно в Четвертом Докладе Межправительственной группы экспертов по изменению климата эффекты стратосферного и тропосферного озона обсуждаются раздельно (см. таблицу 4 на с. 148).

Отметим еще одну важную особенность: так как озон не поступает в атмосферу извне, его общая масса полностью зависит от химических процессов в атмосфере. Масса, но не распределение озона в пространстве, определяемое главным образом циркуляцией атмосферы. Убедиться в справедливости последнего утверждения легко: вблизи полюсов озон не производится в течение продолжительного времени – длящейся почти полгода полярной ночи. Этого времени с лихвой достаточно, чтобы весь произведенный ранее, при свете полярного дня, озон был разрушен в химических реакциях, и, следовательно, к моменту окончания ночи в полярных областях концентрация озона должна равняться нулю. Однако регулярно проводимые наблюдения не подтверждают этого. Причина такого расхождения теории с реальностью кроется в существовании постоянного атмосферного воздухообмена от экватора к полюсам и обратно, называемого меридиональной циркуляцией. Поэтому богатые озоном тропические стратосферные воздушные массы перемещаются к полюсам и в значительной степени компенсируют там «ночной» дефицит озона. Динамическими процессами, на сей раз меньшего – регионального – масштаба, объясняется и разница в ОСО над российскими Дальним Востоком и Северо‑Западом.

Таковы основные механизмы формирования озонового слоя Земли. «А как же «озоновые дыры»?» – напомнит нам внимательный читатель. Действительно, пора к ним вернуться.

Антарктическая «озоновая дыра» возникает ежегодно в момент окончания полярной ночи и остается на весь весенний период. Долгое время весеннее падение ОСО усиливалось от года к году, «озоновая дыра» охватывала все большую площадь. В настоящее время антарктическая «озоновая дыра» появляется примерно в одно и то же весеннее время и занимает приблизительно одинаковую площадь, не проявляя пока тенденций к ее сокращению, хотя, согласно модельным оценкам, оно должно произойти во второй половине XXI в. (рис. 23 и рис. 14 цв. вклейки).

Рис. 23. В октябре 2001 г. общая толщина озонового слоя над Антарктидой сократилась до 105 е. Д. (при нормальных значениях на уровне 450–500), при этом именно в слое озонового максимума его практически не было обнаружено

 

На сегодняшний день механизм формирования и эволюции «озоновой дыры» в основных деталях установлен. Он достаточно сложен, и потому не может быть подробно изложен в данной книге. Базируется этот механизм на следующих физико‑химических процессах, происходящих в антарктической атмосфере.

1. В конце зимы – начале весны над Антарктикой возникает ситуация, когда воздушные массы перемещаются по кругу 60–70° ю. ш. столь интенсивно, что блокируется воздухообмен вдоль меридиана (явление циркумполярного вихря). А так как основная масса озона поступает в полярные области из тропиков в результате меридионального переноса, то в течение августа – ноября в антарктическую атмосферу озон извне практически не поступает. Кроме того, в течение полярной ночи отсутствует местный фотохимический источник озона, в начале же весны он еще очень мал. Таким образом, запас озона над Антарктикой в течение нескольких месяцев не пополняется. Однако эта особенность атмосферной циркуляции существовала и до обнаружения «озоновых дыр», и значит только ею нельзя объяснить весеннего дефицита ОСО.

2. Озон разрушается в химических реакциях с участием хлора. Интенсивность этого процесса росла из года в год по мере того, как в стратосфере увеличивалось содержание хлора и его соединений, образующихся из ХФУ (с начала 1970‑х до конца 1980‑х гг. оно выросло в 6–8 раз). Но модельные расчеты показали, что и это явление не может полностью объяснить наблюдаемого быстрого и сильного падения концентрации озона.

3. Антарктида является уникальным естественным холодильником на Земле. В отсутствие солнечного нагрева в конце зимы низкие температуры (порядка ‑85 °C… – 75 °C) приводят к образованию в сильно охлажденной нижней стратосфере особого вида полярных облаков. На поверхности кристаллов, из которых состоят эти облака, протекают так называемые гетерогенные реакции, усиливающие в конечном итоге разрушение озона.

Совокупностью перечисленных причин и обусловлено почти полное исчезновение озона над Антарктикой.

На другом конце Земли – в Арктике – «озоновая дыра» была отмечена несколько позже, в начале 1990‑х, ее размеры и глубина значительно меньше, чем в Антарктиде. И это неудивительно, если учесть, что температура стратосферы здесь, как правило, существенно выше антарктической, а потому полярные стратосферные облака появляются лишь на короткие промежутки времени, а циркумполярный вихрь не настолько силен, чтобы полностью прервать перенос озона к полюсу из южных широт. Когда же в Арктике устанавливается очень холодная погода, дефицит озона над ней и севером Атлантики и Европы увеличивается, так было, например, в марте 1997 г., когда он достигал в отдельные дни 46 % (для сравнения: дефицит ОСО в предыдущие годы составлял около 10 %). Аналогичная ситуация имела место и в марте 2011 г.

Однако необходимо констатировать, что превентивные ограничения по использованию ХФУ (согласно Монреальскому протоколу) начинают сказываться. Как показали измерения, с начала XXI века содержание соединений хлора в атмосфере стабилизировалось и наметилась тенденция к их пока небольшому снижению. Процесс этот не быстрый, поскольку некоторые из ХФУ являются «долгожителями» (например, фреоны ‑11 и ‑12 «живут» в атмосфере около 60 и 120 лет соответственно), и эффект пребывания ХФУ в атмосфере будет проявляться еще в течение нескольких десятилетий. Говорить о каком‑либо заметном увеличении содержания озона пока преждевременно, хотя измерения уже показывают незначительный (около 1,5 %) рост ОСО в глобальном масштабе.

 

Восстановление озонового слоя до его «додырочного» уровня произойдет, согласно модельным оценкам, где‑то в середине столетия.

 

Итак, подведем итоги. Открытие «озоновой дыры» породило сенсацию – не дутую, но вполне реальную. К чести деятельной части мирового сообщества, общая опасность в данном конкретном случае послужила международной консолидации. Благодаря совместным усилиям, за короткое время был осуществлен настоящий прорыв в изучении самых разных аспектов проблемы озонового слоя. Своевременное принятие озоноохранных соглашений, похоже, начинает давать желаемый эффект. Обратили ли вы внимание, что в последние годы публикации об озоне в обычных, неспециализированных СМИ встречаются все реже. Это верный признак того, что озоносфера [17] «выздоравливает». А раз так: сенсация сделала свое дело – сенсация может уходить.

 







Date: 2015-09-18; view: 463; Нарушение авторских прав



mydocx.ru - 2015-2026 year. (0.213 sec.) Все материалы представленные на сайте исключительно с целью ознакомления читателями и не преследуют коммерческих целей или нарушение авторских прав - Пожаловаться на публикацию