Главная Случайная страница


Полезное:

Как сделать разговор полезным и приятным Как сделать объемную звезду своими руками Как сделать то, что делать не хочется? Как сделать погремушку Как сделать так чтобы женщины сами знакомились с вами Как сделать идею коммерческой Как сделать хорошую растяжку ног? Как сделать наш разум здоровым? Как сделать, чтобы люди обманывали меньше Вопрос 4. Как сделать так, чтобы вас уважали и ценили? Как сделать лучше себе и другим людям Как сделать свидание интересным?


Категории:

АрхитектураАстрономияБиологияГеографияГеологияИнформатикаИскусствоИсторияКулинарияКультураМаркетингМатематикаМедицинаМенеджментОхрана трудаПравоПроизводствоПсихологияРелигияСоциологияСпортТехникаФизикаФилософияХимияЭкологияЭкономикаЭлектроника






Гипотеза де Бройля о корпускулярно-волновом дуализме свойств частиц





Французский ученый Луи де Бройль (1892–1987) в 1924 г. в докторской диссертации «Исследования по теории квантов» выдвинул смелую гипотезу об универсальности корпускулярно-волнового дуализма, утверждая, что поскольку свет ведет себя в одних случаях как волна, а в других – как частица, то и материальные частицы (электроны и др.) в силу общности законов природы должны обладать волновыми свойствами. «В оптике, – писал он, – в течение столетия слишком пренебрегали корпускулярным способом рассмотрения по сравнению с волновым; не делалась ли в теории вещества обратная ошибка? Не думали ли мы слишком много о картине «частиц» и не пренебрегали ли чрезмерной картиной волн?» В то время гипотеза де Бройля выглядела безумной. Лишь в 1927 г., три года спустя, наука пережила огромное потрясение: физики К. Дэвиссон и Л. Джермер экспериментально подтвердили гипотезу де Бройля, получив дифракционную картину электронов.

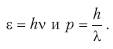
Согласно квантовой теории света А. Эйнштейна, волновые характеристики фотонов света (частота колебаний v и длина волна л = c/v) связаны с корпускулярными характеристиками (энергией εф, релятивистской массой mф и импульсом рф) соотношениями:

По идее де Бройля, любая микрочастица, в том числе и с массой покоя ш0 Ц 0, должна обладать не только корпускулярными, но и волновыми свойствами. Соответствующие частота v и длина волны л определяются при этом соотношениями, подобными эйнштейновским:

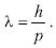
Отсюда длина волны де Бройля —

Таким образом, соотношения Эйнштейна, полученные им при построении теории фотонов в результате гипотезы, выдвинутой де Бройлем, приобрели универсальный характер и стали одинаково применимыми как для анализа корпускулярных свойств света, так и при исследовании волновых свойств всех микрочастиц.







Date: 2015-09-18; view: 550; Нарушение авторских прав



mydocx.ru - 2015-2026 year. (1.408 sec.) Все материалы представленные на сайте исключительно с целью ознакомления читателями и не преследуют коммерческих целей или нарушение авторских прав - Пожаловаться на публикацию