Главная Случайная страница


Полезное:

Как сделать разговор полезным и приятным Как сделать объемную звезду своими руками Как сделать то, что делать не хочется? Как сделать погремушку Как сделать так чтобы женщины сами знакомились с вами Как сделать идею коммерческой Как сделать хорошую растяжку ног? Как сделать наш разум здоровым? Как сделать, чтобы люди обманывали меньше Вопрос 4. Как сделать так, чтобы вас уважали и ценили? Как сделать лучше себе и другим людям Как сделать свидание интересным?


Категории:

АрхитектураАстрономияБиологияГеографияГеологияИнформатикаИскусствоИсторияКулинарияКультураМаркетингМатематикаМедицинаМенеджментОхрана трудаПравоПроизводствоПсихологияРелигияСоциологияСпортТехникаФизикаФилософияХимияЭкологияЭкономикаЭлектроника






Расчет наружной стены





Исходные данные:

· Температура внутреннего воздуха - tB =18 °С.

· Относительная влажность - φотн = 50 %.

· Влажностной режим - нормальный,

· Витебская область.

Требуется: Рассчитать сопротивление паропроницанию наружной стены жилого здания.

Конструкцию наружной стены принимаем из задачи №1

 

А – Щебень и песок из перлита вспученного;

b = 0,40 м.

В – Плотный силикатный бетон;

a = 0,40 м.

Е – Кладка из силикатного кирпича

c = x


Рисунок 3.1 - Конструкция наружной стены здания

 

Влажностной режим нормальный, условия эксплуатации ограждающих конструкций «Б» по таблице 4.2[1].

Расчетные значения коэффициентов теплопроводности λ, теплоусвоения S и паропроницаемости μ материалов принимаем по таблице А.1[1] для условий эксплуатации ограждений «Б»:

- Плотный силикатный бетон :

λ 1 = 1,16Вт/(м ∙°С); S1 = 10,90 Вт/(м2 ∙°С); =0,11 мг/(м ∙ ч ∙ Па);

- Щебень и песок из перлита вспученного :

λ 2 = 0,12 Вт/(м ∙°С); S2 = 2,20 Вт/(м2 ∙°С); =0,26 мг/(м ∙ ч ∙ Па);

- Кладка из силикатного кирпича :

λ 3 = 0,81Вт/(м ∙°С); S3 = 9,79 Вт/(м2 ∙°С); =0,120 мг/(м ∙ ч ∙ Па);

Расчетные параметры наружного воздуха для расчета сопротивления паропроницанию – среднее значение температуры и относительная влажность за отопительный период:

 

Изм.
Лист
№ докум.
Подпись
Дата
Лист
 
ПК-31.12.КР  
Для Витебской области средняя температура наружного воздуха за относительный период tнот = -2,0 °С, средняя относительная влажность наружного воздуха за относительный период φнот = 82%.

Парциальные давления водяного пара внутреннего и наружного воздуха при расчетных значениях температуры и относительной влажности составляют:

ен=424Па,

ев = 0,01 φв ∙Ев,

где φв – расчетная относительная влажность внутреннего воздуха,%;

Ев - максимальное парциальное давление водяного пара внутреннего воздуха, [Па]; при расчетной температуре воздуха tв = 18 °С, Ев = 2064 Па.

Тогда: ев= 0,01∙50∙2064=1032 Па.

Положение плоскости возможной конденсации в данной конструкции находится на границе щебня и песка из перлита вспученного и плотного силикатного бетона.

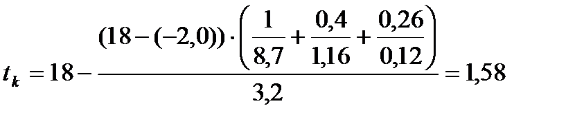
Определяем температуру в плоскости возможной конденсации по формуле:

где - температура внутреннего воздуха, принимается из условия.

термическое сопротивление слоёв ограждающей конструкции от внутренней поверхности конструкции до плоскости возможной конденсации;

– сопротивление теплопередаче ограждающей конструкции, , найдём по формуле:

где – коэффициент теплоотдачи внутренней поверхности, выбираем по таблице 5.4[1], αв=8,7 Вт/(м2∙°С);

– коэффициент теплоотдачи наружной поверхности, выбираем по таблице 5.7[1], αн=23 Вт/(м2∙°С);

- термические сопротивления отдельных слоев конструкции, кв.м•°С/Вт, принимаем согласно данным задачи №1.

°С.

Максимальное парциальное давление водяного пара в плоскости возможной конденсации при tK = 1,6°С составляет:

Ек = 685 Па.

Сопротивление паропроницанию до плоскости возможной конденсации до наружной поверхности стены составляет:

Изм.
Лист
№ докум.
Подпись
Дата
Лист
 
ПК-31.12.КР  
2 ∙ ч ∙ Па) /мг.

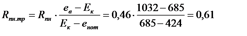
Определяем требуемое сопротивление паропроницанию стены от её внутренней поверхности до плоскости возможной конденсации:

2 ∙ ч ∙ Па) /мг.

Сопротивление паропроницанию рассчитываемой конструкции стены в пре­делах от её внутренней поверхности до плоскости возможной конденсации составляет:

2 ∙ ч ∙ Па) /мг.

 

Вывод: Данная конструкция наружной стены отвечает требованиям СНБ 2.04.01-97 по сопротивлению паропроницанию, так как Rпв=7,97>Rnн.тр=0,61(м2 ∙ ч ∙ Па) /мг.

 







Date: 2015-09-18; view: 377; Нарушение авторских прав



mydocx.ru - 2015-2026 year. (0.747 sec.) Все материалы представленные на сайте исключительно с целью ознакомления читателями и не преследуют коммерческих целей или нарушение авторских прав - Пожаловаться на публикацию