Главная Случайная страница


Полезное:

Как сделать разговор полезным и приятным Как сделать объемную звезду своими руками Как сделать то, что делать не хочется? Как сделать погремушку Как сделать так чтобы женщины сами знакомились с вами Как сделать идею коммерческой Как сделать хорошую растяжку ног? Как сделать наш разум здоровым? Как сделать, чтобы люди обманывали меньше Вопрос 4. Как сделать так, чтобы вас уважали и ценили? Как сделать лучше себе и другим людям Как сделать свидание интересным?


Категории:

АрхитектураАстрономияБиологияГеографияГеологияИнформатикаИскусствоИсторияКулинарияКультураМаркетингМатематикаМедицинаМенеджментОхрана трудаПравоПроизводствоПсихологияРелигияСоциологияСпортТехникаФизикаФилософияХимияЭкологияЭкономикаЭлектроника






Усилитель мощности





 

1. Определение числа каскадов

 

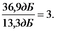
Так как на одном каскаде невозможно реализовать усиление 36,9дБ, то для того, чтобы обеспечить такой коэффициент усиления, используем сложение каскадов. Считаем, что каждый каскад в среднем даёт 13,3дБ, и так как необходимо получить36,9, то:

Таким образом, число каскадов равно трем.

2. Распределение искажений на ВЧ

По заданию, допустимые искажения АЧХ, вносимые данным устройством, равны 4дБ. Так как используем 3 каскада, то допустимые искажения АЧХ, вносимые одним каскадом, равны 1,33дБ.

3. Расчёт оконечного каскада

3.1. Расчет рабочей точки

1). Возьмём сопротивление коллектора равное сопротивлению нагрузки (R к= R н).

Согласно закону Ома:

U вых= I вых R н (1)

Отсюда найдём ток на выходе каскада:

I вых= U вых / R н=5/10=0,5 А. (2)

Выходная мощность: Вт

Рис.13 Схема оконечного некорректированного каскада.

 

Ток на коллекторе транзистора определяется из выражения:

А (3)

Вместо сопротивления коллектора поставим дроссель

В данном случае Е п= U кэ0=12 В, так как на коллекторе нет активного сопротивления.

I к0× R н=0,55×10=5,5 В.

Рассчитаем мощность:

P потр=0,55×12=6,6 Вт

P рас=0,55×12=6,6 Вт.

 

3.2. Выбор транзистора

 

Выбор транзистора осуществляется исходя из условий:

I к.доп >1,2× I к0

U кэ.доп >1,2× U кэ0

P к.доп >1,2× P к0

f т»3¼10× f в,

где индекс “доп” означает максимально допустимое значение,

I к – ток коллектора,

U кэ – напряжение между коллектором и эмиттером,

P к – мощность, рассеиваемая на коллекторе,

f в – верхняя частота.

Подставим численные значения:

I к.доп >0,66 А

U кэ.доп >14,4 В

P к.доп >7,92 Вт

f т»32,5¼33 МГц

Исходя из этих требований, выберем в качестве выходного транзистора транзистор КТ973А. Электрические параметры транзистора КТ973А:

Статический коэффициент передачи тока в схеме с ОЭ (типовое значение):

b =113

Граничная частота коэффициента передачи тока в схеме с ОЭ при Uкэ =36В, Iк =600мА:

f Т=200МГц

Ёмкость коллекторного перехода при Uкб =12В:

СUкэ =3,9пФ

Постоянная времени цепи ОС на ВЧ при Uк =20В, Iэ =45мА, f =40МГц:

tс =4,6пФ

Предельные эксплуатационные данные транзистора КТ973А:

Постоянная рассеиваемая мощность коллектора

Рк =4Вт

Рабочая точка:

I к0=0,55 А

U кэ0=12 В

E п=12 В

 

3.3. Расчёт эквивалентных схем транзистора

 

В данном пункте рассчитывается эквивалентная схема транзистора, низкочастотная - схема Джиаколетто.

1). Схема Джиаколетто [2]

 

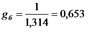
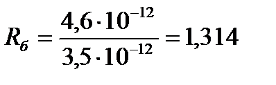
а). Сначала найдём С u кэ , чтобы найти R б.

Ф.

 

Теперь найдём R б по формуле:

(4)

 

Подставим численные значения:

Ом.

Ом -1.

б). Сопротивление эмиттера

Ом. (5)

Здесь I э – в мА.

в). Проводимость база-эмиттер

Ом -1. (6)

г). Ёмкость эмиттерного перехода

Ф. (7)

д). Крутизна

(8)

(9)

е). Проводимость

Ом. (10)

ж). Емкость коллектора

Ф.

 

Элементы схемы Джиаколетто:

g б= Ом-1

g бэ= Ом-1

g i=3,3×10-3 Ом-1

C э=4,5 нФ

С к=3,9 пФ

 

Рис.14 Эквивалентная схема Джиаколетто

 

 

3.4. Расчет цепей питания и термостабилизации

 

1). Эмиттерная термостабилизация [4]

Найдём мощность, рассеиваемую на R э:

Рабочая точка: I к0=0,55 А

U кэ0=12 В

Для эффективной термостабилизации падение напряжения на Rэ должно быть порядка 3-5В. Возьмём Uэ =5В. Тогда мощность, рассеиваемая на Rэ определяемая выражением (2.16), равна:

P Rэ= I к0× U э=0,55×5=2,75 Вт. (11)

 

Рис.15 Схема оконечного каскада с эмиттерной термостабилизацией

 

Найдём необходимое Еп для данной схемы:

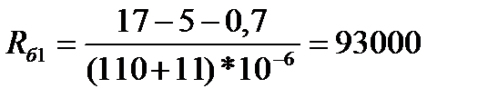
Е п= UR э+ U кэ0+ UR к=5+12+0=17 В. (12)

Рассчитаем Rэ, Rб1, Rб2:

Ом, (13)

мА, (14)

ток базового делителя:

Iд= 10× Iб= 48 мА, (15)

Ом, (16)

Ом. (17)

Найдём Lк, исходя из условий, что на нижней частоте полосы пропускания её сопротивление много больше сопротивления нагрузки. В нашем случае:

мкГн. (18)

3.5. Расчёт выходной корректирующей цепи

 

Рис.16 Выходная корректирующая цепь

 

Нормировка элементов производится по формулам (19):

, (19)

где Rнор и wнор – сопротивление и частота, относительно которых производится нормировка,

L, C, R – значения нормируемых элементов

Lн, Cн, Rн – нормированные значения.

Нормируем Свых (относительно Rн и wв) в соответствии с (19)


СвыхН = Свых×Rн×wв =5,1×10-12×40×2p×7,1×106=22,74*10-6

В таблице 7.1 [4] находим нормированные значения L1 и С1, соответствующие найденному СвыхН. Ближайшее значение СвыхН= 0,285, ему соответствуют:

С= 0,3

L =0,547

n =1,002.

Денормирование элементов производится по следующим формулам:

(20)

По (20) разнормируем С и L:

мкГн,

пФ.

Найдём ощущаемое сопротивление транзистора:

Rощ=Rн/n =10/1,002=9,98 Ом (21)

 

 

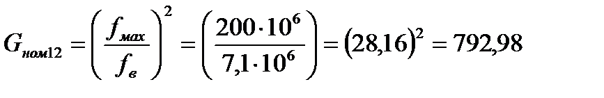
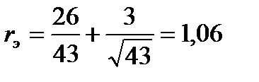
Найдём коэффициент усиления выходного каскада:

(22)

где Rвх.н – входное сопротивление оконечного транзистора, нормированное относительно выходного сопротивления предоконечного транзистора,

Gном12 – коэффициент усиления транзистора, находится по формуле (2.41)

, (23)

fмах – максимальная частота транзистора,

fв – верхняя частота заданной полосы пропускания.

Подставим в формулу (2.40), и получим:

раз = 11дБ.

4. Выбор предоконечного транзистора

 

Электрические параметры транзистора КТ973А:

Коэффициент усиления по мощности при Uкэ =28В, Тк £40°С, на частоте f =200 МГц при Рвых =20Вт:

Gном1,2 =2

Статический коэффициент передачи тока в схеме с ОЭ при Uкэ =5В, Iэ =200мА (типовое значение):

b =40

Граничная частота коэффициента передачи тока в схеме с ОЭ при Uкэ =12В, Iк =55мА:

f Т=200МГц

Ёмкость коллекторного перехода при Uкб =28В:

СUкэ =3,9пФ

Подставив в формулу (23) справочные значения коэффициента усиления и верхней частоты транзистора, найдём максимальную частоту:

,

где fвТР – граничная частота транзистора.

Таким образом fмах = 200×106=282 МГц

Подставив в формулу (23) найденное значение максимальной частоты и верхнюю частоту заданной полосы, найдём усиление:

Найдём выходное сопротивление транзистора (Rвых):

U кб=55 В, I к=400 мА

Ом.

5. Расчёт предоконечного каскада

5.1. Расчёт рабочей точки

Рабочая точка для этого транзистора имеет такое же напряжение, но ток меньше, чем у предоконечного каскада в ‘коэффициент усиления оконечного каскада’ раз.

Uкэ0 =12 В,

мА.

Таким образом рабочая точка: I к0=43 мА

U кэ0=12 В

, Ом

.

5.2. Эмиттерная термостабилизация

Возьмём напряжение на эмиттере равным U э=2 В.

В соответствии с формулой (11), мощность, рассеиваемая на Rэ равна

P Rэ=43× ×2=86 мВт.

 

По формулам (13)-(17) рассчитаем Rэ, Rб1, Rб2:

Ом,

мкА,

ток базового делителя: Iд= 10× Iб= 110мкА,

Ом,

Ом.

Аналогично, как и для предыдущего каскада найдём Lк:

мкГн.

раз=17,3дБ

 

6. Выбор входного транзистора

Электрические параметры транзистора 2Т205:

Коэффициент усиления по мощности при Uкэ =250В, Тк £40°С, на частоте f =20 МГц при Рвых =20Вт:

Gном1,2 =2

Статический коэффициент передачи тока в схеме с ОЭ при Uкэ =5В, Iэ =5,5мА (типовое значение):

b =40

Граничная частота коэффициента передачи тока в схеме с ОЭ при Uкэ =12В, Iк =55мА:

f Т=20МГц

Подставив в формулу (23) справочные значения коэффициента усиления и верхней частоты транзистора, найдём максимальную частоту:

,

где fвТР – граничная частота транзистора.

Таким образом fмах = 20×106=28,2 МГц


Подставив в формулу (23) найденное значение максимальной частоты и верхнюю частоту заданной полосы, найдём усиление:

Найдём выходное сопротивление транзистора (Rвых):

U кб=55 В, I к=400 мА

Ом.

6* Расчёт входного каскада

6.1. Расчёт рабочей точки

Рабочая точка для этого транзистора имеет такое же напряжение, но ток меньше, чем у предоконечного каскада в ‘коэффициент усиления предоконечного каскада’ раз.

Uкэ0 =12 В,

мА.

Таким образом рабочая точка: I к0=0,1 А

U кэ0=12 В

, Ом

.

6.2. Эмиттерная термостабилизация

Возьмём напряжение на эмиттере равным U э=2 В.

В соответствии с формулой (11), мощность, рассеиваемая на Rэ равна

P Rэ=1× ×2=2 мВт.

 

По формулам (13)-(17) рассчитаем Rэ, Rб1, Rб2:

Ом,

мА,

ток базового делителя: Iд= 10× Iб= 0,028мА,

Ом,

Ом.

Аналогично, как и для предыдущего каскада найдём Lк:

мкГн.

раз=9,23дБ.

 

7. Расчёт блокировочных конденсаторов

Найдём искажения, вносимые разделительными и блокировочными конденсаторами [4]:

дБ=1,1 раз.

Искажения, вносимые каждым конденсатором:

По заданным искажениям найдём блокировочные конденсаторы (в нашем случае Сэi), исходя из формулы:

, (24)

где S – крутизна соответствующего транзистора,

Rэi – сопротивление эмиттера (схема термостабилизации) для соответствующего транзистора.

Подставляя численные значения в (2.45), получим:

мкФ,

нФ,

нФ.

Коэффициент усиления всего усилителя:

раз = 37,5дБ.

 

Рис. 17 Усилитель мощности, электрическая схема

 

 







Date: 2015-09-18; view: 655; Нарушение авторских прав



mydocx.ru - 2015-2026 year. (2.842 sec.) Все материалы представленные на сайте исключительно с целью ознакомления читателями и не преследуют коммерческих целей или нарушение авторских прав - Пожаловаться на публикацию