Главная Случайная страница


Полезное:

Как сделать разговор полезным и приятным Как сделать объемную звезду своими руками Как сделать то, что делать не хочется? Как сделать погремушку Как сделать так чтобы женщины сами знакомились с вами Как сделать идею коммерческой Как сделать хорошую растяжку ног? Как сделать наш разум здоровым? Как сделать, чтобы люди обманывали меньше Вопрос 4. Как сделать так, чтобы вас уважали и ценили? Как сделать лучше себе и другим людям Как сделать свидание интересным?


Категории:

АрхитектураАстрономияБиологияГеографияГеологияИнформатикаИскусствоИсторияКулинарияКультураМаркетингМатематикаМедицинаМенеджментОхрана трудаПравоПроизводствоПсихологияРелигияСоциологияСпортТехникаФизикаФилософияХимияЭкологияЭкономикаЭлектроника






Задание к лабораторной работе





 

Задание 1. Используя инструмент подбора параметра, определить штатное расписание фирмы. Произведите подбор зарплат сотрудников фирмы, если общий месячный фонд зарплаты составляет 350000 руб.

Исходные данные приведены на рисунке 12. В ячейку D3 временно введите произвольное число (например, 5000 р.), соответствующее заработной плате курьера.

Известно, что в штате фирмы состоят:

• 6 курьеров;

• 8 младших менеджеров;

• 10 менеджеров;

• 3 заведующих отделами;

• 1 главный бухгалтер;

• 1 программист;

• 1 системный аналитик;

• 1 генеральный директор фирмы.

Необходимо определить, какими должны быть оклады сотрудников фирмы. Каждый оклад является линейной функцией от оклада курьера, а именно: Зарплата сотрудника= , где х – оклад курьера; А1 и В1 – коэффициенты, показывающие: А1 во сколько раз превышается значение х; В1 на сколько превышается значение х.

 

Рис.12. Исходные данные для задания 1

 

Результаты первого шага вычислений для задания 1 показаны на рисунке 13, после подбора параметра - на рисунке 14.

 

Рис.13. Результат вычислений для задания 1

 

Рис.14. Результат вычислений для задания 1 после подбора параметра

 

Задание 2. Используя режим подбора параметра и таблицу расчета штатного расписания (см. задание 1), определить заработные платы сотрудников фирмы для ряда заданных значений фонда заработной платы.

Порядок работы:

1. Выберите коэффициенты уравнений для расчета согласно рисунку 15 (один из десяти вариантов расчетов по согласованию с преподавателем) и внесите эти данные в имеющуюся таблицу расчета (последнюю, выполненную вами).

 

Должность Вариант 1 Вариант 2 Вариант 3 Вариант 4 Вариант 5
A B A B A B A B A B
Курьер                    
Младший менеджер 1,2   1,3   1,3   1,4   1,45  
Менеджер 2,5   2,6   2,7   2,6   2,5  
Зав. отделом     3,1   3,2   3,3   3,1  
Главный бухгалтер     4,1   4,2   4,3   4,2  
Программист 1,5   1,6   1,7   1,6   1,5  
Системный аналитик 3,5   3,6   3,7   3,6   3,5  
Ген. директор     5,2   5,3   5,5   5,4  

 

Должность Вариант 6 Вариант 7 Вариант 8 Вариант 9 Вариант 10
A B A B A B A B A B
Курьер                    
Младший менеджер 1,25   1,3   1,3   1,4   1,45  
Менеджер 2,5   2,6   2,7   2,6   2,5  
Зав. отделом     3,1   3,2   3,3   3,1  
Главный бухгалтер     4,1   4,2   4,3   4,2  
Программист 1,5   1,6   1,7   1,6   1,5  
Системный аналитик 3,5   3,6   3,7   3,6   3,5  
Ген. директор     5,2   5,3   5,5   5,5  

 

Рис.15. Варианты заданий

 

2. Методом подбора параметров последовательно определите зарплаты сотрудников фирмы для различных значений фонда заработной платы: 350000, 400000, 450000, 500000, 550000, 600000 руб. Результаты подбора значений зарплат вставьте в таблицу (рис.16) путем копирования полученных результатов расчета с задействованием функции Вставить значения из появившегося меню Параметры вставки (Ctrl) (рис.17).

 

  Фонд заработной платы
Должность            
Курьер            
Младший менеджер            
Менеджер            
Зав. отделом            
Главный бухгалтер            
Программист            
Системный аналитик            
Ген. директор            

 


Рис.16. Таблица для результатов вычислений

 

Рис.17. Выбор функции Вставить значения из меню Параметры вставки (Ctrl)

 

3. Полученную таблицу с результатами вычислений предъявите преподавателю для проверки.

 

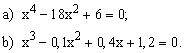
Задание 3. Решите уравнение методом поиска решения

 

Вариант Уравнение
 
 
 
 
 
 
 
 
 
 

 

 

Контрольные вопросы

1. С какой целью используется инструмент подбора параметра?

2. Где находится команда Подбор параметра?

3. Сформулируйте алгоритм решения уравнения методом поиска решения.

 







Date: 2015-09-18; view: 935; Нарушение авторских прав



mydocx.ru - 2015-2026 year. (0.702 sec.) Все материалы представленные на сайте исключительно с целью ознакомления читателями и не преследуют коммерческих целей или нарушение авторских прав - Пожаловаться на публикацию