Главная Случайная страница


Полезное:

Как сделать разговор полезным и приятным Как сделать объемную звезду своими руками Как сделать то, что делать не хочется? Как сделать погремушку Как сделать так чтобы женщины сами знакомились с вами Как сделать идею коммерческой Как сделать хорошую растяжку ног? Как сделать наш разум здоровым? Как сделать, чтобы люди обманывали меньше Вопрос 4. Как сделать так, чтобы вас уважали и ценили? Как сделать лучше себе и другим людям Как сделать свидание интересным?


Категории:

АрхитектураАстрономияБиологияГеографияГеологияИнформатикаИскусствоИсторияКулинарияКультураМаркетингМатематикаМедицинаМенеджментОхрана трудаПравоПроизводствоПсихологияРелигияСоциологияСпортТехникаФизикаФилософияХимияЭкологияЭкономикаЭлектроника






Кафедра электронных приборов

МИНИСТЕРСТВО ОБРАЗОВАНИЯ И НАУКИ РОССИЙСКОЙ ФЕДЕРАЦИИ

НОВОСИБИРСКИЙ ГОСУДАРСТВЕННЫЙ ТЕХНИЧЕСКИЙ УНИВЕРСИТЕТ

КАФЕДРА ЭЛЕКТРОННЫХ ПРИБОРОВ

 

Расчетно-графическое задание.

4 вариант

 

 

 

Факультет РЭФ

Группа РЭ3-91

Студенты Ведерников М. Е.

Преподаватель Востряков Ю. В.

Дата 21.05.2012

 

Задача 1.

Какие типы волн могут распространяться в заполненном воздухом прямоугольном волноводе сечением 10х4 см2 при частоте 5 ГГц.

Решение:

a = 0.1 [м]; b =0.04 [м]; f = 5 * 109 [Гц]

Условие распространения волны в волноводе:

λкр, где

λ0 – длина волны генератора

ε – диэлектрическая проницаемость (у воздуха ε=1)

λкр – критическая длина волны которая может распространяться в волноводе

λкр = λ0 =

 

λ0 = 0.06 [м].

Т.к. E01 и Е10 не могут распространятся в прямоугольном волноводе начнем проверку с Е11.

Е11:

 

λкр = = 0.074 [м] может распространяться

Е12:

λкр = = 0.039 [м] не может

E21:

λкр = = 0.062 [м] может

E31:

λкр = = 0.051 [м] не может

Е22:

λкр = = 0.037 [м] не может

 

 

Проверяем волны типа Hmn, т.к. возможность распространения волн волноводе не зависит от типа волны, а зависит только от коэффициентов m и n, а это значит,что волны H11 и H21 как и волны Е11, Е21 могут распространятся в волноводе, а волны H12, H22 и H31, как и Е12, Е22 и Е31 не могут.

H10:

λкр = = 0.2 [м] может

H20:

λкр = = 0.1 [м] может

H30:

λкр = = 0.067 [м] может

H40:

λкр = = 0.05 [м] не может

H01:

λкр = = 0.08 [м] может

H02:

λкр = = 0.04 [м] не может

Ответ: Е01, Е02, Е1121, Н01, Н11, Н12, Н21, Н31, Н41

 

 

 

 

 

Задача 2.

Определить резонансную частоту и добротность цилиндрического объемного резонатора, работающего на колебании H011. Диаметр и длина резонатора – 4[см], проводимость стенок – 6.1 х 107 [см/м]. Покажите структуру поля в резонаторе.

 

Решение:

a = 0.04 [м]; l = 0.04[м]; σ = 6.1*10-7[см/м] μ0 = 4π*10-7 [ Гн/м ]; ε0 = 8.85*10-12[ Ф / м]

μ = 1; ε =1;

μa = μμ0 = 4π*10-7 [ Гн/м ];; εa = εε0 = 8.85*10-12[ Ф / м].

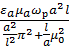
Для H011 μmn = 3.832

ωр = ;

Rs = ;

Q= * ;

ωр = = 3*1010 [рад/с]; f = = = 4.7Ггц

 

Rs = = 0.02 [Ом/м]

 

Q= * = 9.5*1011

Структура поля H011:

 

 

 

Задача 3.

Мощность бегущей волны на входе согласованной линии передачи длиной 0,5 м составляет 1 Вт. За счет потерь в лини мощность на выходе составляет 0.9 Вт.

Чему равен коэффициент затухания в линии передач.

 

 

Потери в линии передач в согласованной линии определяются выражением:

L = 10lg = 10lge2α l , где α - коэффициент затухания; l – длина лини между генератором и нагрузкой. Из этого соотношения находим α.

α = = = 0.105 Нп/м

 

 

Задача 4.

Необходимо согласовать линию передачи Т-волной и волновым сопротивлением

Zв = 50 Ом на частоте f = 15 ГГц с нагрузкой Zн, которая представлена эквивалентной схемой с сосредоточенными, параллельно – включенными индуктивностью L, емкостью С и активным сопротивлением R. Фазовая скорость в линии Vф = 3 * 108 м/с, затуханием можно пренебречь. Схему согласования построить с использованием одиночного параллельно включенного шлейфа с тем же значением ZВ.

Необходимо следующее:

- определить расстояние от нагрузки до места подключения шлейфа и его длинуж

-рассчитать рассогласование, возникающее в спроектированной согласующей схеме при изменении частоты f на от заданного значения, полагая, что величины L, C, R не зависят от частоты.

Решение:

Zв = 50 Ом; f = 2 ГГц; Vф = 3 * 108 м/с; L = 2.1*10-9 Гн; С = 4*10-9 Ф; R = 200 Ом.

Определяем длину волны в линии

Найдем эквивалентное значение нагрузки.


ω = 2π f


Eравнения, позволяющие нам вычислить сопротивления линии и шлейфа:

(1) для линии,

(2) для шлейфа.

 

 

Условия согласования:

1. Yвх нагр+Yвх шунта=1,

2. Yвх нагрузки=1+j·Im вх нагрузки

Учитывая 2-ое условие согласования выразим из уравнения (1) реальную часть приравняем ее к единице и найдем l – расстояние от нагрузки до места включения шлейфа. Представим, что Zнагр=Re+j·Im, а tan(2·π·l/λ)=X:


Перед нами квадратное уравнение, подставим значения Re=0.412, Im=0.905 и найдем значения X:

X1=-2.717, X2=-0.3609, выбираем для дальнейших расчетов X2:

(π + atan(x2))* = 110.204

l = = 0.046

Теперь учитывая 2-ое условие согласования и уравнение (2), предварительно нормировав его и перейдя от сопротивления к проводимости, выразим lш:

Соответственно (π + atan(tg))* = 149.227, а lш =0,062 м.

Рассчитаем рассогласование линии при изменении частоты на ±10%. Найдем КСВ и |Г| при рассогласовании.

 

Ниже приведены расчеты искомых величин, слева для f+10%, справа для f-10%:

 

 

 

 

 

 

Ответ: l=0.046м, lш=0.062м, КСВ+10 = 3.14, |Г|+10 = 0.975, КСВ-10 = 1.861, |Г|-10 = 0.862.

 



<== предыдущая | следующая ==>
 | 





Date: 2015-09-03; view: 4216; Нарушение авторских прав



mydocx.ru - 2015-2026 year. (0.072 sec.) Все материалы представленные на сайте исключительно с целью ознакомления читателями и не преследуют коммерческих целей или нарушение авторских прав - Пожаловаться на публикацию