Главная Случайная страница


Полезное:

Как сделать разговор полезным и приятным Как сделать объемную звезду своими руками Как сделать то, что делать не хочется? Как сделать погремушку Как сделать так чтобы женщины сами знакомились с вами Как сделать идею коммерческой Как сделать хорошую растяжку ног? Как сделать наш разум здоровым? Как сделать, чтобы люди обманывали меньше Вопрос 4. Как сделать так, чтобы вас уважали и ценили? Как сделать лучше себе и другим людям Как сделать свидание интересным?


Категории:

АрхитектураАстрономияБиологияГеографияГеологияИнформатикаИскусствоИсторияКулинарияКультураМаркетингМатематикаМедицинаМенеджментОхрана трудаПравоПроизводствоПсихологияРелигияСоциологияСпортТехникаФизикаФилософияХимияЭкологияЭкономикаЭлектроника






синглы П(s041, 15 шт)





1. [Уд1] (О) На рисунке приведена зависимость модуля моментов приложенных к телу сил от модуля углового ускорения тел. Наибольший момент инерции имеет тело под номером …

:1

2. [Уд1] (ВО1) Векторная форма основного закона динамики вращательного движения абсолютно твердого тела в импульсном виде –

1)

2)

3)

4)

:2

2. [Уд1] (ВО1) Формула, отражающая связь момента сил, действующих на тело, с моментом импульса этого тела –

1)

2)

3)

4)

:2

3. [Уд1] (ВО1) На рисунке приведен график зависимости модуля результирующего момента сил, действующих на вращающееся твердое тело, от времени. Тело вращалось равномерно на интервале времени

1) от 0 до t1

2) от t1 до t2

3) от t2 до t3

4) от t3 до t4

:4

 

 

4. [Уд1] (ВО1) На рисунке приведен график зависимости модуля результирующего момента сил, действующих на вращающееся твердое тело, от времени. Тело вращалось с постоянным угловым ускорением на интервале времени

1) от 0 до t1

2) от t1 до t2

3) от t2 до t3

4) от t3 до t4

:2

5. [Уд3] (ВО) На рисунках стрелками показаны направления вращения дисков и указано, как изменяется угловая скорость со временем. Вращающий момент сил, направленный вниз, приложен к дискам, приведенным под номерами: …

1) 1 и 2

2) 1 и 3

3) 1 и 4

4) 2 и 3

5) 2 и 4

6) 3 и 4

:4

6. [Уд1] (О) На рисунке приведен график зависимости от времени проекции угловой скорости вращающегося тела на ось вращения.

Момент действующих на тело сил был постоянным и не равным нулю на участке …

:2

 

7. [Уд1] (О) На рисунке приведен график зависимости от времени проекции угловой скорости вращающегося тела на ось вращения.

Момент импульса тела убывал на участках: …

:4,5

 

8. [Уд1] (О) На рисунке приведен график зависимости от времени проекции угловой скорости вращающегося тела на ось вращения. Максимальное по модулю угловое ускорение соответствует участку …

:4

 

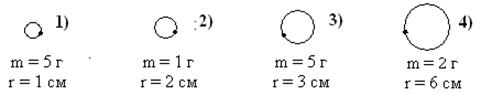
9. [Уд1] (ВО1) Четыре шарика, размеры которых пренебрежимо малы, движутся по окружностям с одинаковой угловой скоростью. Массы шариков и радиусы окружностей указаны на рисунках. Момент импульса относительно оси, проходящей через центр окружности, максимален у шарика …

 

 

:4

10. [Уд1] (ВО1) На тело действует постоянный вращающий момент. Из ниже перечисленных характеристик вращательного движения в этом случае изменяется с течением времени пропорциональна квадрату времени следующая величина –

1) угол поворота

2) угловая скорость

3) угловое ускорение

4) момент импульса

:1

11. [Уд1] (ВО1) На тело действует постоянный вращающий момент.

Из перечисленных ниже величин изменяется со временем по линейному закону величина –

1) момент инерции

2) угловое ускорение

3) угловая скорость

4) кинетическая энергия вращения

:3

12. [Уд1] (ВО1) Основное уравнение динамики вращательного движения –

1)

2)

3)

4)

:1

13. [Уд1] (ВО1) Формула, выражающая второй закон Ньютона для вращательного движения –

1)

2)

3)

4)

:3

14. [Уд1] (О) На рисунке приведены различные виды графиков. Основному закону вращательного движения соответствует график….

 

:1

15. [Уд1] (О) Верно указано направление момента силы для тела, совершающего равнозамедленное вращение, на рисунке …

 

 

:1







Date: 2015-09-03; view: 2392; Нарушение авторских прав



mydocx.ru - 2015-2026 year. (0.719 sec.) Все материалы представленные на сайте исключительно с целью ознакомления читателями и не преследуют коммерческих целей или нарушение авторских прав - Пожаловаться на публикацию