Главная Случайная страница


Полезное:

Как сделать разговор полезным и приятным Как сделать объемную звезду своими руками Как сделать то, что делать не хочется? Как сделать погремушку Как сделать так чтобы женщины сами знакомились с вами Как сделать идею коммерческой Как сделать хорошую растяжку ног? Как сделать наш разум здоровым? Как сделать, чтобы люди обманывали меньше Вопрос 4. Как сделать так, чтобы вас уважали и ценили? Как сделать лучше себе и другим людям Как сделать свидание интересным?


Категории:

АрхитектураАстрономияБиологияГеографияГеологияИнформатикаИскусствоИсторияКулинарияКультураМаркетингМатематикаМедицинаМенеджментОхрана трудаПравоПроизводствоПсихологияРелигияСоциологияСпортТехникаФизикаФилософияХимияЭкологияЭкономикаЭлектроника






Определение коэффициентов амплитудных уравнений свободных колебаний





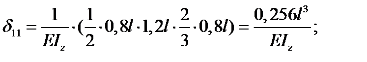
Вычислим коэффициенты амплитудных уравнений:

Запись амплитудных уравнений с коэффициентами в безразмерной форме.

 

6. Определение собственных значений и собственных векторов матрицы коэффициентов амплитудных уравнений.**

,

Умножим определитель на величину .

Получаем:

 

Вычисления в пакете MathCad:

 

Определение собственных частот свободных колебаний согласно вычисленным в п.6 собственным значениям.

, .

Найдём следующие значения собственных частот свободных колебаний нашей системы:

 

 

Построение спектра собственных частот (рис. 6, а).

 

Построение собственных форм свободных колебаний согласно вычисленным в п.6 собственным векторам (рис. 6, б).

1 форма

2 форма







Date: 2015-09-03; view: 420; Нарушение авторских прав



mydocx.ru - 2015-2026 year. (0.513 sec.) Все материалы представленные на сайте исключительно с целью ознакомления читателями и не преследуют коммерческих целей или нарушение авторских прав - Пожаловаться на публикацию