Главная Случайная страница


Полезное:

Как сделать разговор полезным и приятным Как сделать объемную звезду своими руками Как сделать то, что делать не хочется? Как сделать погремушку Как сделать так чтобы женщины сами знакомились с вами Как сделать идею коммерческой Как сделать хорошую растяжку ног? Как сделать наш разум здоровым? Как сделать, чтобы люди обманывали меньше Вопрос 4. Как сделать так, чтобы вас уважали и ценили? Как сделать лучше себе и другим людям Как сделать свидание интересным?


Категории:

АрхитектураАстрономияБиологияГеографияГеологияИнформатикаИскусствоИсторияКулинарияКультураМаркетингМатематикаМедицинаМенеджментОхрана трудаПравоПроизводствоПсихологияРелигияСоциологияСпортТехникаФизикаФилософияХимияЭкологияЭкономикаЭлектроника






Работа характеризует действие силы на некотором перемещении

Элементарная работа силы определяется соотношениями:

 

 

Работа силы на конечном перемещении

Работа постоянной силы на прямолинейном перемещении

Вычисление работы силы в некоторых частных случаях.

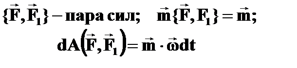
Работа силы, приложенной к вращающемуся твёрдому телу.

Запишем выражение для элементарной работы (5)

(*) – выражение элементарной работы силы, приложенной к твёрдому телу, вращаемуся вокруг неподвижной оси.

Работа силы положительна, если момент силы действует в сторону вращения (вращательный момент)

В случае плоской задачи

Работа момента силы (пары сил) положительна, если сила (пара сил) действует в сторону вращения. В противном случае работа отрицательна.

Работа силы тяжести.

h – разность высот между начальной и конечной точками.

h – разность высот между начальной и конечной точками.

 

Две теоремы о работе.







Date: 2015-09-03; view: 333; Нарушение авторских прав



mydocx.ru - 2015-2026 year. (0.963 sec.) Все материалы представленные на сайте исключительно с целью ознакомления читателями и не преследуют коммерческих целей или нарушение авторских прав - Пожаловаться на публикацию