Главная Случайная страница


Полезное:

Как сделать разговор полезным и приятным Как сделать объемную звезду своими руками Как сделать то, что делать не хочется? Как сделать погремушку Как сделать так чтобы женщины сами знакомились с вами Как сделать идею коммерческой Как сделать хорошую растяжку ног? Как сделать наш разум здоровым? Как сделать, чтобы люди обманывали меньше Вопрос 4. Как сделать так, чтобы вас уважали и ценили? Как сделать лучше себе и другим людям Как сделать свидание интересным?


Категории:

АрхитектураАстрономияБиологияГеографияГеологияИнформатикаИскусствоИсторияКулинарияКультураМаркетингМатематикаМедицинаМенеджментОхрана трудаПравоПроизводствоПсихологияРелигияСоциологияСпортТехникаФизикаФилософияХимияЭкологияЭкономикаЭлектроника






Самокомпенсация за счет угловых поворотов





Температурные деформации при самокомпенсации компенсируются естественными поворотами трубопроводов. Естественные повороты возникают как на основных участках трассы (горизонтальные), так и в местах ввода в здания (вертикальные). Трасса разбивается неподвижными опорами на участки самокомпенсации в соответствие с принятыми схемами. Наибольшие напряжения возникают в местах защемления трубопровода в неподвижных опорах и на углах поворота трубопровода.

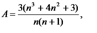
Напряжения изгиба σ и реакции в опорах Рх и Ру для участков самокомпенсации могут быть вычислены по формулам [4]:

 

, Па

 

 

i = a, b, c

Для «Г» – образной схемы:


 

С (разность температур теплоносителя и окружающей среды);

– Е=2*105МПа (модуль упругости стали).

Расчет будет сделан для мазутопровода и паропровода-спутника, т.к. они имеют разные диаметры и разности температур.

Результаты вносим в таблицу 9.1 и 9.2.

 

Таблица 9.1 «Самокомпенсация мазутопроводов»

№п/п Параметр УП1 УП2 УП3 УП4 УП5 УП6
  dн, м 0,03 0,012 0,03 0,03 0,03 0,273
  Длина Lб,м 5,3 8,2 27,1 20,8 18,5 6,6
  Длина Lм,м     13,9 13,9 8,9  
  Температура теплоносителя, 0С            
  Темп-ра окр. среды, 0С -32 -32 -32 -32 -32 -32
  ΔT, 0С            
  n 1,06 1,64 1,95 1,50 2,08 2,20
  A 11,93 12,59 13,36 12,29 13,72 14,07
  B 11,09 6,44 5,28 7,18 4,91 4,61
  Ca 3,05 3,74 4,18 3,55 4,37 4,54
  Cb 2,88 2,28 2,14 2,37 2,10 2,07
  Cc 2,92 2,56 2,50 2,60 2,49 2,49
  σиа, МПа 6,32 3,10 3,12 2,64 5,09 93,29
  σиб, МПа 5,96 1,89 1,60 1,77 2,45 42,41
  σиc, МПа 6,05 2,12 1,87 1,94 2,91 51,09
  Px, кH 1699,0 2297,3 979,9 763,0 1640,0 5185,2
  Py, кH 1578,6 1174,8 386,8 445,4 586, 1697,62

 

Расчеты показывают, что естественная компенсация удовлетворяет необходимым требованиям предельных значений возникающих напряжений.

 


Таблица 9.2 «Самокомпенсация паропроводов»

№п/п Параметр УП1 УП2 УП3 УП4 УП5 УП6
  dн, м 0,016 0,016 0,016 0,016 0,016 0,016
  Длина Lб,м 5,3 8,2 27,1 20,8 18,5 6,6
  Длина Lм,м     13,9 13,9 8,9  
  Температура теплоносителя, 0С            
  Темп-ра окр. среды, 0С -34 -34 -34 -34 -34 -34
  ΔT, 0С            
  n 1,06 1,64 1,95 1,50 2,08 2,20
  A 11,93 12,59 13,36 12,29 13,72 14,07
  B 11,09 6,44 5,28 7,18 4,91 4,61
  Ca 3,05 3,74 4,18 3,55 4,37 4,54
  Cb 2,88 2,28 2,14 2,37 2,10 2,07
  Cc 2,92 2,56 2,50 2,60 2,49 2,49
  σиа, МПа 4,50 5,51 2,22 1,88 3,62 11,17
  σиб, МПа 4,24 3,36 1,14 1,26 1,74 5,08
  σиc, МПа 4,30 3,77 1,33 1,38 2,07 6,12
  Px, кH 2265,4 3063,0 1306,6 1017,3 2186,7 6913,6
  Py, кH 2104,9 1566,4 515,8 593,8 782,1 2263,4

 

Расчеты показывают, что естественная компенсация удовлетворяет необходимым требованиям предельных значений возникающих напряжений.







Date: 2015-09-02; view: 1005; Нарушение авторских прав



mydocx.ru - 2015-2026 year. (0.435 sec.) Все материалы представленные на сайте исключительно с целью ознакомления читателями и не преследуют коммерческих целей или нарушение авторских прав - Пожаловаться на публикацию