Тема: Дифференциалы и теоремы о дифференцируемых функциях
Приближенное значение функции при , вычисленное с использованием дифференциала первого порядка, равно …
Тема: Дифференциальное исчисление ФНП Значение частной производной функции в точке равно …
Решение: При вычислении частной производной по переменной переменную рассматриваем как постоянную величину. Тогда . Следовательно, 
Тема: Приложения определенного интеграла Площадь фигуры, изображенной на рисунке равна …
Решение: Площадь данной фигуры можно вычислить по формуле , где . Тогда 
Тема: Непрерывность функции, точки разрыва Для функции точка является точкой …
|
|
| разрыва второго рода
| |
|
|
| разрыва первого рода
| |
|
|
| непрерывности
| |
|
|
| устранимого разрыва
| Решение: Вычислим односторонние пределы функции в точке : , . Так как один из односторонних пределов в точке , а именно , то точка является точкой разрыва второго рода.
Тема: Дифференциалы и теоремы о дифференцируемых функциях Дифференциал второго порядка функции равен …
Тема: Дифференциальное исчисление ФНП Частная производная второго порядка функции имеет вид …
Решение: При вычислении частной производной функции по одной из переменных другую переменную рассматриваем как постоянную величину. Тогда .
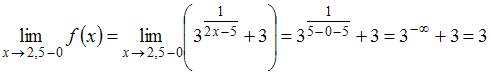
Тема: Непрерывность функции, точки разрыва Для функции точка является точкой …
|
|
| разрыва второго рода
| |
|
|
| разрыва первого рода
| |
|
|
| непрерывности
| |
|
|
| устранимого разрыва
| Решение: Вычислим односторонние пределы функции в точке : , . Так как один из односторонних пределов в точке , а именно , то точка является точкой разрыва второго рода.
Тема: Приложения определенного интеграла Площадь фигуры, изображенной на рисунке равна …
Решение: Площадь данной фигуры можно вычислить по формуле , где , , а . Тогда 
Тема: Дифференциалы и теоремы о дифференцируемых функциях Дана функция . Тогда больший действительный корень производной этой функции принадлежит промежутку …
Решение: Эта функция представляет собой полином пятого порядка и дифференцируема на всей числовой оси. Согласно теореме Ролля между двумя корнями (нулями) этой функции находится по крайней мере один корень ее производной. Поскольку представляет собой полином (4-го порядка), то между двумя корнями функции находится ровно один корень ее производной . Найдем корни функции : . Тогда больший действительный корень функции принадлежит интервалу 
Тема: Дифференциальное исчисление ФНП Частная производная функции имеет вид …
Тема: Дифференциалы и теоремы о дифференцируемых функциях Дана функция . Тогда меньший действительный корень производной этой функции принадлежит промежутку …
Решение: Эта функция представляет собой полином 6-го порядка и дифференцируема на всей числовой оси. Согласно теореме Ролля между двумя корнями (нулями) этой функции находится по крайней мере один корень ее производной. Поскольку представляет собой полином (5-го порядка), то между двумя корнями функции находится ровно один корень ее производной . Найдем корни функции : . Тогда меньший действительный корень функции принадлежит интервалу .
Тема: Непрерывность функции, точки разрыва Точка разрыва функции равна …2
Тема: Приложения определенного интеграла Площадь фигуры, ограниченной параболой и осью , равна …
Решение: Площадь данной фигуры можно вычислить по формуле , где и – это точки пересечения параболы и оси , а . Определим точки пересечения параболы и оси , решив уравнение . Получаем: и . Тогда 
Тема: Дифференциальное исчисление ФНП Полный дифференциал функции имеет вид …
Решение: Полный дифференциал функции нескольких переменных равен сумме произведений частных производных этой функции на дифференциалы соответствующих независимых переменных, то есть . Тогда 
Тема: Дифференциалы и теоремы о дифференцируемых функциях Предел равен …
Решение: Для вычисления данного предела применим правило Лопиталя. Так как , то при помощи алгебраических преобразований получим неопределенность вида , или , например: . Тогда можно воспользоваться формулой вида , то есть .
Тема: Непрерывность функции, точки разрыва Точка разрыва функции равна …
|
|
|
| |
|
|
| – 1
| |
|
|
|
| |
|
|
|
| Решение: Данная функция определена и непрерывна на каждом из интервалов и меняет свое аналитическое выражение в точках и Поэтому функция может иметь разрыв только в этих точках. Исследуем их на непрерывность. Для точки вычислим односторонние пределы и значение функции в этой точке: , , и . Так как , то точка является точкой непрерывности данной функции. Для точки вычислим односторонние пределы и значение функции в этой точке: , , и . Так как , то точка является точкой разрыва первого рода.
Тема: Непрерывность функции, точки разрыва Для функции точка является точкой …
|
|
| разрыва второго рода
| |
|
|
| разрыва первого рода
| |
|
|
| непрерывности
| |
|
|
| устранимого разрыва
| Решение: Вычислим односторонние пределы функции в точке : , . Так как один из односторонних пределов в точке , а именно , то точка является точкой разрыва второго рода.
Тема: Приложения определенного интеграла Длина дуги кривой от точки до точки равна …
Решение: Длина дуги плоской кривой , ограниченной прямыми , , определяется по формуле . В нашем случае , , а . Тогда 
Тема: Дифференциалы и теоремы о дифференцируемых функциях Приближенное значение функции при , вычисленное с использованием дифференциала первого порядка, равно …
Решение: Воспользуемся приближенной формулой: . Полагая , , приходим к равенству . Вычислив последовательно , и , получаем: .
Тема: Дифференциальное исчисление ФНП Смешанная частная производная второго порядка функции имеет вид … 
Тема: Дифференциальное исчисление ФНП Полный дифференциал функции имеет вид …
Решение: Полный дифференциал функции нескольких переменных равен сумме произведений частных производных этой функции на дифференциалы соответствующих независимых переменных, то есть . Тогда 
Тема: Непрерывность функции, точки разрыва Точка разрыва функции равна …
Решение: Данная функция определена и непрерывна на каждом из интервалов и меняет свое аналитическое выражение в точках и . Поэтому функция может иметь разрыв только в этих точках. Исследуем их на непрерывность. Для точки вычислим односторонние пределы и значение функции в этой точке: , , и . Так как , то точка является точкой непрерывности данной функции. Для точки вычислим односторонние пределы и значение функции в этой точке: , , и . Так как , то точка является точкой разрыва первого рода.
Тема: Приложения определенного интеграла Площадь фигуры, изображенной на рисунке равна …
Решение: Площадь данной фигуры можно вычислить по формуле , где , , . Тогда .
Тема: Дифференциалы и теоремы о дифференцируемых функциях Дифференциал второго порядка функции равен …
Решение: Дифференциал второго порядка функции выражается формулой . Тогда, вычислив и , получаем, что 
Date: 2015-09-02; view: 1712; Нарушение авторских прав | Понравилась страница? Лайкни для друзей: |
|
|